chevron_left
chevron_right
Todo
Apuntes
Ejercicios
Exámenes
Trabajos
chevron_left
chevron_right

He publicado nuevos apuntes de 2º Estadística: TRABAJO-TEORICO.pdf

22 páginas

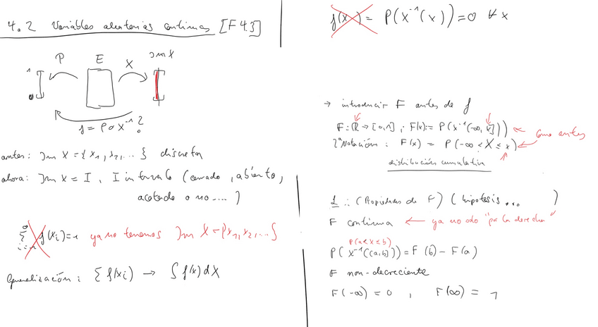
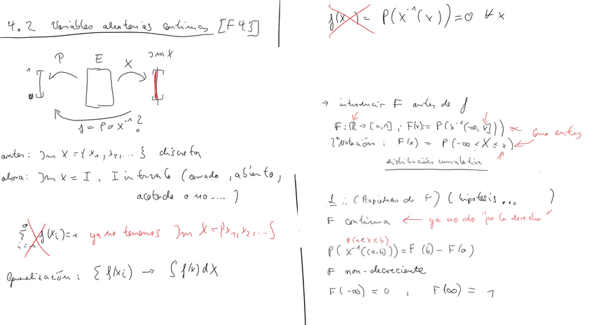
He publicado nuevos apuntes de 2º Estadística: 4.2-Variables-Aleatorias-Continuas.pdf

29 páginas

He publicado nuevos apuntes de 2º Estadística: estudio.pdf

17 páginas

He publicado nuevos apuntes de 2º Estadística: 5.2-Contraste-de-hipotesis.pdf

9 páginas

He publicado nuevos apuntes de 2º Estadística: 5.1-Estimacion.pdf

25 páginas

He publicado nuevos apuntes de 2º Estadística: 4.1-VARIABLES-ALEATORIAS-DISCRETAS.pdf

21 páginas

Este Script puede ser usado en el examen final como guia

10 páginas

He publicado nuevos trabajos de 2º Estadística: Trabajo-Teorico.pdf

54 páginas

He publicado nuevos apuntes de 2º Estadística: Descriptive-statistics-Univariate-distribution-Problems.pdf

4 páginas

He publicado nuevos apuntes de 2º Estadística: Descriptive-statistics-Bivariate-distribution-Problems.pdf

5 páginas

He publicado nuevos apuntes de 2º Estadística: 5-3-Inferential-Statistics-Part-III-Problems.pdf

2 páginas

He publicado nuevos apuntes de 2º Estadística: 5-2-Inferential-Statistics-Part-II-Problems.pdf

2 páginas

He publicado nuevos apuntes de 2º Estadística: 5-1-Inferential-Statistics-Part-I-Problems.pdf

2 páginas

He publicado nuevos apuntes de 2º Estadística: 4-Random-variable-Problems.pdf

3 páginas

He publicado nuevos apuntes de 2º Estadística: 3-Probability-of-events-Problems.pdf

2 páginas

He publicado nuevos trabajos de 2º Estadística: Trabajo-R.pdf

18 páginas

He publicado nuevos examenes de 2º Estadística: ExamenEstadistica2324.pdf

4 páginas

apuntes

-

Examenes Estadistica

He publicado nuevos apuntes de 2º Estadística: Examenes Estadistica

Examenes-Estadistica.pdf
ExamenORD24.pdf

He publicado nuevos apuntes de 2º Estadística: Probabilidad.pdf

1 página

He publicado nuevos apuntes de 2º Estadística: Distribucion-de-Poisson.pdf

3 páginas

He publicado nuevos apuntes de 2º Estadística: Distribucion-Binomial.pdf

3 páginas

He publicado nuevos apuntes de 2º Estadística: Distribucion-Normal.pdf

3 páginas

He publicado nuevos apuntes de 2º Estadística: ESTADISTICA-T4-Variables-Aleatorias-DiscretasTA.pdf

8 páginas

He publicado nuevos apuntes de 2º Estadística: ESTADISTICA-T4-Variables-Aleatorias-ContinuasTA.pdf

4 páginas

He publicado nuevos apuntes de 2º Estadística: ESTADISTICA-T3-Probabilidad-TA.pdf

9 páginas

Algunos ejercicios propuestos del tema. Enunciados y SOLUCIONES AL FINAL

5 páginas

Algunos ejercicios propuestos del tema. Enunciados y SOLUCIONES AL FINAL

11 páginas

He publicado nuevos apuntes de 2º Estadística: Apuntes-T2-Estadistica-Descriptiva-Bivariable.pdf

8 páginas

Algunos ejercicios propuestos del tema. Enunciados y SOLUCIONES AL FINAL

12 páginas

He publicado nuevos apuntes de 2º Estadística: Apuntes-T1-Estadistica-Descriptiva-Univariable.pdf

20 páginas

He publicado nuevos apuntes de 2º Estadística: EXAMEN-ORDINARIA-23.pdf

2 páginas

He publicado nuevos apuntes de 2º Estadística: TEMA-5-ESTADISTICA.pdf

19 páginas

He publicado nuevos apuntes de 2º Estadística: TEMA-4-ESTADISTICA.pdf

31 páginas

He publicado nuevos apuntes de 2º Estadística: TEMA-3-ESTADISTICA.pdf

10 páginas

He publicado nuevos apuntes de 2º Estadística: TEMA-2-ESTADISTICA.pdf

11 páginas

He publicado nuevos apuntes de 2º Estadística: TEMA-1-ESTADISTICA.pdf

22 páginas

He publicado nuevos apuntes de 2º Estadística: T1_EstadisticaDescriptiva2022_23.pdf

14 páginas
¡Estás al día!

¡Estás al día!

Has visto todos los archivos