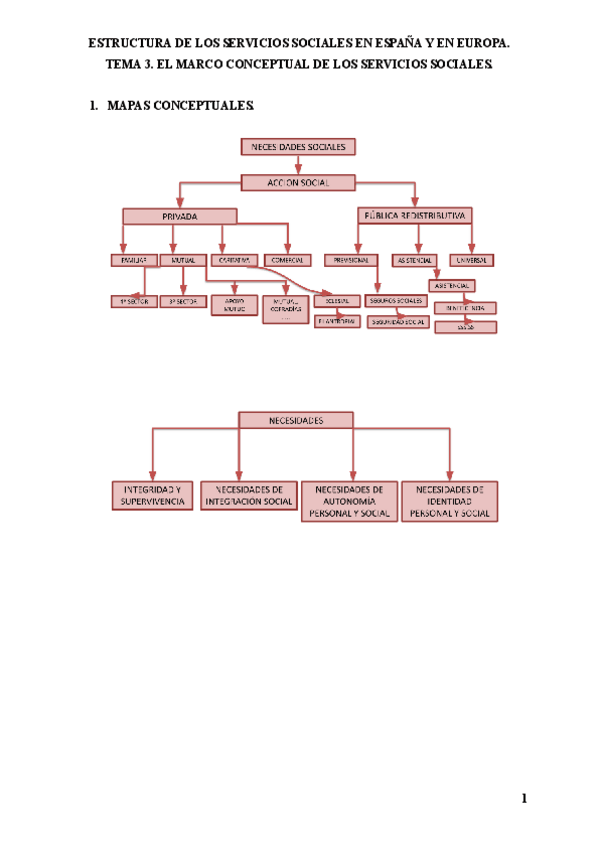
Estructura de los Servicios Sociales en España y en Europa

Todo
Apuntes
Exámenes
Otros
Prácticas
Trabajos
chevron_left
chevron_right

He publicado nuevos apuntes de 2º Estructura de los Servicios Sociales en España y en Europa: ESTRUCTURA-DE-LOS-SERVICIOS-SOCIALES.docx

word

He publicado nuevos apuntes de 2º Estructura de los Servicios Sociales en España y en Europa: Modulo-3Tema-7Formas-de-provision-de-las-prestaciones-del-SPSS.pptx

powerpoint

He publicado nuevos apuntes de 2º Estructura de los Servicios Sociales en España y en Europa: Modulo-3Tema-6-El-sector-privado-en-los-servicios-sociales.-1.pptx

powerpoint

He publicado nuevos apuntes de 2º Estructura de los Servicios Sociales en España y en Europa: Modulo-2Tema-5.2.2-Los-servicios-sociales-de-garantia-de-ingresos.pptx

powerpoint

He publicado nuevos apuntes de 2º Estructura de los Servicios Sociales en España y en Europa: Modulo-2Tema-5.2.1-ServiciosSocialesAtencion-a-la-Dependencia.pptx

powerpoint

He publicado nuevos apuntes de 2º Estructura de los Servicios Sociales en España y en Europa: Modulo-2Tema-5.-La-estructura-de-los-Servicios-Sociales-en-las-Comunidades-Autonomas.pptx

powerpoint

He publicado nuevos apuntes de 2º Estructura de los Servicios Sociales en España y en Europa: Modulo-2Tema-4Los-Servicios-Sociales-en-las-Comunidades-AutonomasLas-leyes-de-Servicios-Sociales-1-1.pptx

powerpoint

He publicado nuevos apuntes de 2º Estructura de los Servicios Sociales en España y en Europa: Modulo-2Tema-33.1-Implantacionevolucion-de-los-modelos-de-los-Servicios-Sociales-en-Espana-1.pptx

powerpoint

He publicado nuevos apuntes de 2º Estructura de los Servicios Sociales en España y en Europa: Modulo-1Tema-2-Los-sistemas-de-Servicios-de-proteccion-social-del-Estado-de-bienestar-2.pptx

powerpoint
Anónimo

@Anónimo

Preguntas tipo test de los últimos tres años del examen de diciembre y de enero

10 páginas
Anónimo

@Anónimo

trabajo grupal

2 páginas

Preguntas que han salido en exámenes los últimos años

7 páginas

He publicado nuevos apuntes de 2º Estructura de los Servicios Sociales en España y en Europa: APUNTES-COMPLETO-ESTRUCTURA.pdf

51 páginas

He publicado nuevos apuntes de 2º Estructura de los Servicios Sociales en España y en Europa: Apuntes-parte-1.pdf

36 páginas

He publicado nuevos apuntes de 2º Estructura de los Servicios Sociales en España y en Europa: Apuntes-parte-2.pdf

14 páginas

He publicado nuevos apuntes de 2º Estructura de los Servicios Sociales en España y en Europa: ESTRUCTURA-DE-LOS-SERVICIOS-SOCIALES.pdf

35 páginas

He publicado nuevos trabajos de 2º Estructura de los Servicios Sociales en España y en Europa: PRACTICA-3-DE-LA-LEY-DE-SERVICIOS-SOCIALES.pdf

2 páginas

He publicado nuevos trabajos de 2º Estructura de los Servicios Sociales en España y en Europa: Reflexion.pdf

3 páginas

He publicado nuevos practicas de 2º Estructura de los Servicios Sociales en España y en Europa: Practica-2.pdf

2 páginas

He publicado nuevos trabajos de 2º Estructura de los Servicios Sociales en España y en Europa: ENTREVISTA-CENTRO-SERVICIOS-SOCIALES-DE-ALCORCON.pdf

8 páginas

He publicado nuevos trabajos de 2º Estructura de los Servicios Sociales en España y en Europa: IMV.pdf

6 páginas

He publicado nuevos examenes de 2º Estructura de los Servicios Sociales en España y en Europa: EXAMEN-ESTRUCTURA-DE-LOS-SERVICIOS-SOCIALES-EN-ESPANA-Y-EN-EUROPA-2025.pdf

4 páginas

He publicado nuevos examenes de 2º Estructura de los Servicios Sociales en España y en Europa: examen-15-de-enero-de-2024-servicios-sociales.pdf

6 páginas

He publicado nuevos apuntes de 2º Estructura de los Servicios Sociales en España y en Europa: Modelo-de-examen-estructura-de-los-servicios-sociales.pdf

6 páginas

.

20 páginas

He publicado nuevos apuntes de 2º Estructura de los Servicios Sociales en España y en Europa: TEMA-1.pdf

7 páginas

He publicado nuevos apuntes de 2º Estructura de los Servicios Sociales en España y en Europa: Tema-3.pdf

6 páginas

He publicado nuevos apuntes de 2º Estructura de los Servicios Sociales en España y en Europa: TEMA-2.pdf

8 páginas

He publicado nuevos apuntes de 2º Estructura de los Servicios Sociales en España y en Europa: TEMA-5.pdf

5 páginas

He publicado nuevos apuntes de 2º Estructura de los Servicios Sociales en España y en Europa: TEMA-4.pdf

12 páginas

He publicado nuevos apuntes de 2º Estructura de los Servicios Sociales en España y en Europa: TEMA-10-PROVISION-DE-LAS-PRESTACIONES-DEL-SISTEMA-PUBLICO-DE-SERVICIOS-SOCIALES.pdf

5 páginas

He publicado nuevos apuntes de 2º Estructura de los Servicios Sociales en España y en Europa: TEMA-9-EL-SECTOR-PRIVADO-EN-SERVICIOS-SOCIALES.pdf

5 páginas

He publicado nuevos apuntes de 2º Estructura de los Servicios Sociales en España y en Europa: TEMA-8-SERVICIOS-SOCIALES-DE-ATENCION-ESPECIALIZADA-DE-LA-COMUNIDAD-DE-MADRID..pdf

2 páginas

He publicado nuevos apuntes de 2º Estructura de los Servicios Sociales en España y en Europa: TEMA-7-SERVICIOS-SOCIALES-DE-ATENCION-PRIMARIA-DE-LA-COMUNIDAD-DE-MADRID..pdf

7 páginas

He publicado nuevos apuntes de 2º Estructura de los Servicios Sociales en España y en Europa: TEMA-5-EL-MARCO-POLITICO-ESTATAL-DE-LOS-SERVICIOS-SOCIALES-Y-LA-NORMATIVA-DE-LAS-COMUNIDADES-AUTONOMAS..pdf

4 páginas

He publicado nuevos apuntes de 2º Estructura de los Servicios Sociales en España y en Europa: TEMA-6-LEY-DE-CONDICIONES-BASICAS-PARA-LA-IGUALDAD-EN-EL-ACCESO-A-LOS-SERVICIOS-SOCIALES..pdf

5 páginas

He publicado nuevos apuntes de 2º Estructura de los Servicios Sociales en España y en Europa: TEMA-3-EL-MARCO-CONCEPTUAL-DE-LOS-SERVICIOS-SOCIALES..pdf

10 páginas

He publicado nuevos apuntes de 2º Estructura de los Servicios Sociales en España y en Europa: TEMA-4-LOS-SERVICIOS-SOCIALES-EN-ESPANA-EVOLUCION-HISTORICA..pdf

5 páginas

He publicado nuevos apuntes de 2º Estructura de los Servicios Sociales en España y en Europa: TEMA-2-EL-CONTEXTO-INTERNACIONAL-DE-LOS-SERVICIOS-SOCIALES..pdf

5 páginas

He publicado nuevos apuntes de 2º Estructura de los Servicios Sociales en España y en Europa: TEMA-1-LOS-SERVICIOS-SOCIALES-EN-EL-CONTEXTO-DEL-ESTADO-DE-BIENESTAR.-LOS-PRINCIPALES-DERECHOS-SOCIALES-Y-LA-CONSTRUCCION-DE-LA-CIUDADANIA..pdf

9 páginas

Tema 5 y 6 de la asignatura Estructura de los Servicios Sociales

8 páginas

Tema 4 de la asignatura Estructura de los Servicios Sociales

3 páginas

Tema 3 de la asignatura Estructura de los Servicios Sociales en España

7 páginas

Tema 2 de la asignatura Estructura de los Servicios Sociales en España

2 páginas

Tema 1 Estructura de los Servicios Sociales En España y en Europa

7 páginas

He publicado nuevos examenes de 2º Estructura de los Servicios Sociales en España y en Europa: Examen-ssss.pdf

4 páginas

apuntes

-

APUNTES Y LECTURA

He publicado nuevos apuntes de 2º Estructura de los Servicios Sociales en España y en Europa: APUNTES Y LECTURA

RESUMEN-LECTURA-MODERNIZACION.pdf

Preguntas de desarrollo sobre el texto de OCDE

9 páginas

He publicado nuevos apuntes de 2º Estructura de los Servicios Sociales en España y en Europa: ESTRUCTURA-DE-LOS-SERVICIOS-SOCIALES-EN-EUROPA-Y-ESPANA.pdf

30 páginas

He publicado nuevos apuntes de 2º Estructura de los Servicios Sociales en España y en Europa: TODOS-LOS-TEMAS-JUNTOS.pdf

46 páginas

He publicado nuevos apuntes de 2º Estructura de los Servicios Sociales en España y en Europa: RESUMEN-CAPITULOS-MODERNIZACION.pdf

17 páginas

He publicado nuevos apuntes de 2º Estructura de los Servicios Sociales en España y en Europa: Apuntes-SSSS-pdf..pdf

26 páginas

He publicado nuevos apuntes de 2º Estructura de los Servicios Sociales en España y en Europa: resumen-analisis-servicios-sociales-1.pdf

20 páginas

He publicado nuevos apuntes de 2º Estructura de los Servicios Sociales en España y en Europa: Preguntas-Madurez.pdf

16 páginas
Anónimo

@Anónimo

apuntes

-

ESTRUCTURA DE LOS SS

He publicado nuevos apuntes de 2º Estructura de los Servicios Sociales en España y en Europa: ESTRUCTURA DE LOS SS

TEMA-2.pdf
TEMA-1-.pdf
15-preguntas-tipo-test-.docx
RESUMEN-INFORME.pdf
Anónimo

@Anónimo

He publicado nuevos apuntes de 2º Estructura de los Servicios Sociales en España y en Europa: Apuntes-estructura-de-los-Servicios-Sociales-1.pdf

13 páginas
Anónimo

@Anónimo

He publicado nuevos apuntes de 2º Estructura de los Servicios Sociales en España y en Europa: Modulo-IVTema-7Los-Servicios-sociales-frente-a-la-pobreza-y-la-exclusion-social.pptx

Miniatura no disponible
powerpoint
Anónimo

@Anónimo

He publicado nuevos apuntes de 2º Estructura de los Servicios Sociales en España y en Europa: Modulo-IVTema-6Servicios-sociales-de-atencion-especializada.pptx

Miniatura no disponible
powerpoint
Anónimo

@Anónimo

He publicado nuevos apuntes de 2º Estructura de los Servicios Sociales en España y en Europa: Modulo-IVTema-5Servicios-sociales-de-atencion-primaria.pptx

Miniatura no disponible
powerpoint
Anónimo

@Anónimo

He publicado nuevos apuntes de 2º Estructura de los Servicios Sociales en España y en Europa: Seleccion-de-articulos-relacionados-con-el-Sistema-de-Servicios-Sociales.docx

word