Estructura Económica Mundial y de España

chevron_left
chevron_right
Todo
Apuntes
Preguntas
Ejercicios
Exámenes
Prácticas
publication
Test
Trabajos
chevron_left
chevron_right

He publicado nuevos apuntes de 2º Estructura Económica Mundial y de España: TEMA-2.-ESTRUCTURA.pdf

9 páginas

He publicado nuevos apuntes de 2º Estructura Económica Mundial y de España: TEMA-1-Estructura.pdf

9 páginas

He publicado nuevos apuntes de 2º Estructura Económica Mundial y de España: TAREA-2estructura.pdf

3 páginas

He publicado nuevos apuntes de 2º Estructura Económica Mundial y de España: Tema-4-Comercio-internacional.pdf

7 páginas

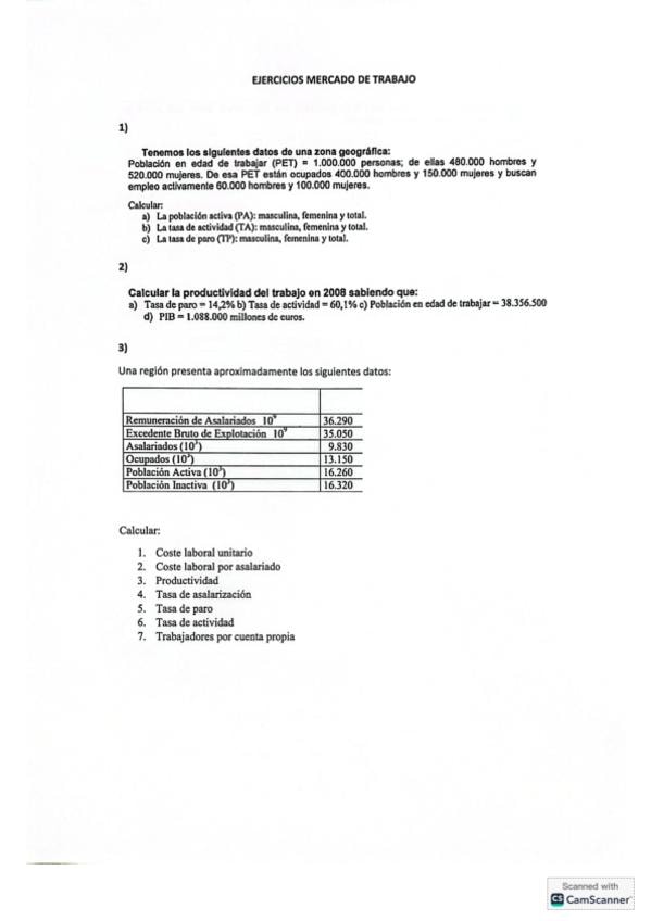
He publicado nuevos ejercicios de 2º Estructura Económica Mundial y de España: Ejercicios-Tema-10.pdf

6 páginas

He publicado nuevos examenes de 2º Estructura Económica Mundial y de España: Ejercicios-Examenes-24-y-25.pdf

2 páginas

He publicado nuevos ejercicios de 2º Estructura Económica Mundial y de España: Ejercicios-Tema-2.pdf

4 páginas

He publicado nuevos examenes de 2º Estructura Económica Mundial y de España: Examen-resuelto-Enero-26.pdf

2 páginas

He publicado nuevos ejercicios de 2º Estructura Económica Mundial y de España: Ejercicios-temas-6y7.pdf

5 páginas

He publicado nuevos ejercicios de 2º Estructura Económica Mundial y de España: Ejercicios-Tema-1.pdf

4 páginas

He publicado nuevos apuntes de 2º Estructura Económica Mundial y de España: Tema-3-EEME.pdf

11 páginas

He publicado nuevos apuntes de 2º Estructura Económica Mundial y de España: El-precio-del-crecimiento-economico-pregunta-larga-tema-1.docx

word

He publicado nuevos apuntes de 2º Estructura Económica Mundial y de España: Preguntas-cortas-estructura-tema-12-y-4.docx

word

apuntes

-

Resumenes Estructura

He publicado nuevos apuntes de 2º Estructura Económica Mundial y de España: Resumenes Estructura

TEMA2ResumenEEME.pdf
TEMA1ResumenEEME.pdf
ResumenTema3EEME.pdf

He publicado nuevos apuntes de 2º Estructura Económica Mundial y de España: Preguntas-Examen-Parcial-Estructura-Economica-Mundial-y-de-Espana.pdf

5 páginas

apuntes

-

TODOS LOS TEMAS BIEN

He publicado nuevos apuntes de 2º Estructura Económica Mundial y de España: TODOS LOS TEMAS BIEN

TEMA-8.docx
TEMA-9.docx
tema-10.docx
tema-11.docx
Tema-1.docx
Tema-2.docx

ejercicios

-

Ejercicios resueltos

He publicado nuevos ejercicios de 2º Estructura Económica Mundial y de España: Ejercicios resueltos

EJ-T1.pdf
EJ-T2.pdf
EJ-T4.pdf
EJ-T6.pdf
EJ-T7.pdf

He publicado nuevos examenes de 2º Estructura Económica Mundial y de España: PREGUNTAS-CORTAS-RESUELTAS.pdf

5 páginas

He publicado nuevos apuntes de 2º Estructura Económica Mundial y de España: TEMA-8-Globalizacion-financiera-y-sistema-financiero-internacional.docx

word

He publicado nuevos apuntes de 2º Estructura Económica Mundial y de España: TEMA-6-Crecimiento-y-desarrollo-en-la-economia-mundial.docx

word

He publicado nuevos apuntes de 2º Estructura Económica Mundial y de España: TEMA-5-Globalizacion-financiera-y-sistema-financiero-internacional.docx

word

He publicado nuevos apuntes de 2º Estructura Económica Mundial y de España: TEMA-4-Inversiones-extranjeras-directas-y-multinacionales.docx

word

He publicado nuevos apuntes de 2º Estructura Económica Mundial y de España: TEMA-3-El-Comercio-Internacional.docx

word

He publicado nuevos apuntes de 2º Estructura Económica Mundial y de España: TEMA-2-La-economia-mundial-y-el-proceso-de-globalizacion.docx

word

He publicado nuevos apuntes de 2º Estructura Económica Mundial y de España: TEMA-1-Analisis-estructuras-e-indicadores-copia.docx

word

He publicado nuevos apuntes de 2º Estructura Económica Mundial y de España: Tema-2-Balanza-de-pagos.pdf

7 páginas

apuntes

-

preguntas largas

Resumen pregunta larga de las limitaciones del pib

limitaciones-del-pib.docx

He publicado nuevos apuntes de 2º Estructura Económica Mundial y de España: Tema-1-Medicion-de-la-actividad-economica.pdf

11 páginas

He publicado nuevos apuntes de 2º Estructura Económica Mundial y de España: Estructura-Economica-formulario-parcial-t.-1-5.pdf

3 páginas

apuntes

-

Preguntas examen

He publicado nuevos apuntes de 2º Estructura Económica Mundial y de España: Preguntas examen

Preguntas-cortas.pdf
Preguntas-de-desarrollo.pdf

apuntes

-

Temas

He publicado nuevos apuntes de 2º Estructura Económica Mundial y de España: Temas

Tema-1.pdf
Tema-2.pdf
Tema-3.pdf
Tema-4.pdf
Tema-6.pdf
Tema-7.pdf
Anónimo

@Anónimo

examenes

-

Tests Estructura

He publicado nuevos examenes de 2º Estructura Económica Mundial y de España: Tests Estructura

EXAMEN-ESTRUCTURA-2.pdf
Examen-Final-EEMyE-Version-B-soluciones-Enero22-23.pdf
Examen-FinalEEMyEMayo2021ASOLUCIONES.pdf
Examen-FinalEEMyEmayo2023DADETIPO-B-soluciones.pdf
Preguntas-test-estructura.pdf
Recopilacion-tests-aleatorios.pdf

apuntes

-

ESTRUCTURA ECONÓMICA Y MUNDIAL DE ESPAÑA

He publicado nuevos apuntes de 2º Estructura Económica Mundial y de España: ESTRUCTURA ECONÓMICA Y MUNDIAL DE ESPAÑA

EEME-PT.1.pdf
EEME-PT.2.pdf

He publicado nuevos apuntes de 2º Estructura Económica Mundial y de España: Resumen-Temas-Parcial-EE.pdf

13 páginas

He publicado nuevos apuntes de 2º Estructura Económica Mundial y de España: Formulas-EE.pdf

4 páginas

Examen 27 enero 2026

9 páginas

que nos pillen confesaos

11 páginas

He publicado nuevos practicas de 2º Estructura Económica Mundial y de España: Tarea-1-Campus-Virtual.pdf

3 páginas

practicas

-

E.Económica Mundial - Tarea 1

He publicado nuevos practicas de 2º Estructura Económica Mundial y de España: E.Económica Mundial - Tarea 1

E.Economica-Mundial-Tarea-1.pdf

He publicado nuevos ejercicios de 2º Estructura Económica Mundial y de España: E.E-Mundial-Tarea-1-TABLA.pdf

2 páginas

apuntes

-

Temario completo EE

He publicado nuevos apuntes de 3º Estructura Económica Mundial y de España: Temario completo EE

Bateria-tipo-test-Estructura.pdf
T1-Preguntas-Estructura.pdf
T2-Preguntas-Estructura.pdf
T3-Preguntas-Estructura.pdf
T4-Preguntas-Estructura.pdf
T5-Preguntas-Estructura.pdf

He publicado nuevos apuntes de 2º Estructura Económica Mundial y de España: PREGUNTAS-TEORICAS-LARGAS.pdf

17 páginas

He publicado nuevos apuntes de 2º Estructura Económica Mundial y de España: Resumen-ez-to-los-temas.pdf

6 páginas

apuntes

-

Todos los temas de Estructura

He publicado nuevos apuntes de 2º Estructura Económica Mundial y de España: Todos los temas de Estructura

TEMA-10-Estructura.pdf
TEMA-9-Estructura.pdf
TEMA-8-Estructura.pdf
TEMA-7-Estructura.pdf
TEMA-6-Estructura.pdf
TEMA-5-Estructura.pdf

He publicado nuevos apuntes de 2º Estructura Económica Mundial y de España: Solucion-Test-y-Ejercicios.pdf

5 páginas

para sacar un 5, el tema importante

4 páginas

Examen final

Sabéis que pregunta larga suelen preguntar?

Alguien sabe si siempre cae de teoría una pregunta larga del bloque 1 y otra del bloque 2 y elijo una?

O puede caer del mismo bloque?

He publicado nuevos practicas de 2º Estructura Económica Mundial y de España: TAREA-4-ESTRUCTURA-ECONOMICA.pdf

1 página

Preguntas largas Estructura Económica

24 páginas

He publicado nuevos apuntes de 2º Estructura Económica Mundial y de España: Preguntas-cortas-todos-los-temas.pdf

18 páginas

He publicado nuevos apuntes de 2º Estructura Económica Mundial y de España: Preguntas-largas.pdf

21 páginas

Preguntas cortas Estructura Económica

22 páginas

He publicado nuevos apuntes de 2º Estructura Económica Mundial y de España: Preguntas-cortas-parcial.pdf

10 páginas

He publicado nuevos examenes de 2º Estructura Económica Mundial y de España: Test-parcial.pdf

6 páginas

He publicado nuevos examenes de 2º Estructura Económica Mundial y de España: Test-parcial.pdf

1 página

He publicado nuevos examenes de 2º Estructura Económica Mundial y de España: Test-parcial.pdf

1 página

He publicado nuevos examenes de 2º Estructura Económica Mundial y de España: Test-parcial.pdf

1 página

He publicado nuevos examenes de 2º Estructura Económica Mundial y de España: Ejercicio-parcial-solucion.pdf

2 páginas

He publicado nuevos examenes de 2º Estructura Económica Mundial y de España: Ejercicio-parcial-solucion.pdf

2 páginas