Todo
Apuntes
Ejercicios
Exámenes
Otros
Test
chevron_left
chevron_right

Las dos primeras páginas (primer libro) están numeradas por hojas en vez de caras.

4 páginas

apuntes

-

TEMAS RESUMIDOS PROTOCOLOS (2022)

He publicado nuevos apuntes de 2º Estructura y Protocolos de Redes Públicas: TEMAS RESUMIDOS PROTOCOLOS (2022)

T6-REDES-MOVILES.pdf
T5-TELEFONIA-IP.pdf
T4-SENALIZACION-No7.pdf
T3-SENALIZACION-DE-ABONADO-RDSI.pdf
T2-RED-TELEFONICA-CONMUTADA.pdf
T1-INTRODUCCION.pdf

He publicado nuevos examenes de 2º Estructura y Protocolos de Redes Públicas: 1o-CONVOCATORIA-21-22-RESUELTA.pdf

6 páginas

examenes

-

COLECCION EJERCICIOS DE EXAMEN

He publicado nuevos examenes de 2º Estructura y Protocolos de Redes Públicas: COLECCION EJERCICIOS DE EXAMEN

COLECCION-1-DE-EJERCICIOS.pdf
COLECCION-2-DE-EJERCICIOS.pdf
COLECCION-3-DE-EJERCICIOS.pdf

He publicado nuevos otros de 2º Estructura y Protocolos de Redes Públicas: ESTADISTICAS 2Convo 24-25.pdf

1 página

He publicado nuevos examenes de 2º Estructura y Protocolos de Redes Públicas: 24-25 2Parcial RESUELTO profesor.pdf

1 página

Apuntes Libro 1, 1ª parte (ACTUALIZADO)

14 páginas

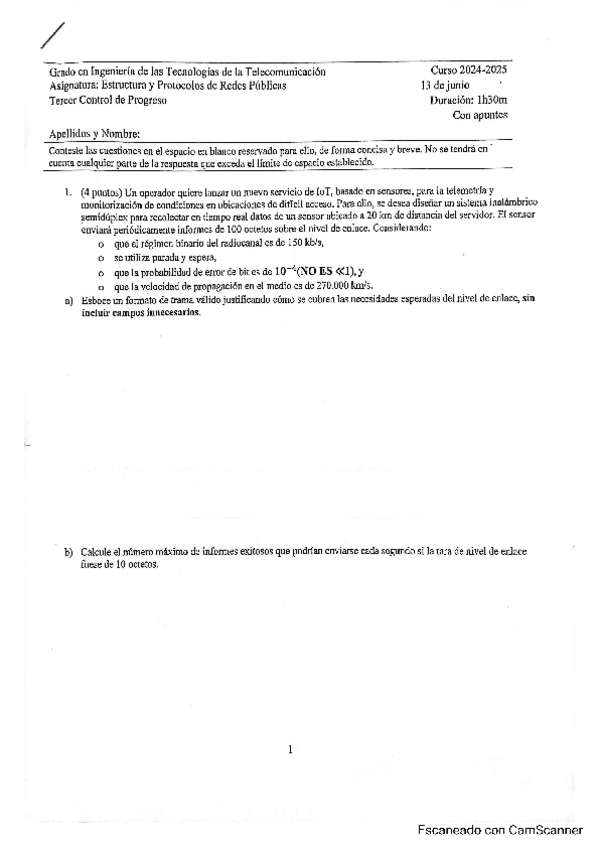
En el 1a sobran el campo de control de flujo, tipo de protocolo y campo de dirección. 1d sobran 15 y 18 el ack lo genera el protocolo a nivel enlace y no usuario. 2a solo esta bien considerando rtp/udp

7 páginas

He publicado nuevos examenes de 2º Estructura y Protocolos de Redes Públicas: 3-PARCIAL-2024-2025.pdf

3 páginas

He publicado nuevos examenes de 2º Estructura y Protocolos de Redes Públicas: SEGUNDO-PARCIAL-2425.pdf

2 páginas

He publicado nuevos examenes de 2º Estructura y Protocolos de Redes Públicas: EJERCICIOS-PRIMER-PARCIAL.pdf

8 páginas

He publicado nuevos examenes de 2º Estructura y Protocolos de Redes Públicas: EJERCICIOS-SEGUNDO-PARCIAL.pdf

3 páginas

He publicado nuevos examenes de 2º Estructura y Protocolos de Redes Públicas: 1-CONVO-23-24.pdf

3 páginas

He publicado nuevos otros de 2º Estructura y Protocolos de Redes Públicas: ESTADISTICAS Evaluación continua 24-25.pdf

1 página

He publicado nuevos otros de 2º Estructura y Protocolos de Redes Públicas: ESTADISTICAS 3Parcial 24-25.pdf

1 página

He publicado nuevos ejercicios de 2º Estructura y Protocolos de Redes Públicas: Fibras Ópticas.pdf

5 páginas

test

-

Libro 3 (V/F)

He publicado nuevos test de 2º Estructura y Protocolos de Redes Públicas: Libro 3 (V/F)

Libro 3 pt1.pdf
Libro 3 pt2.pdf
Libro 3 pt1 RESUELTO.pdf
Libro 3 pt2 RESUELTO.pdf

Se responde con verdadera o falsa, si fallas te da la explicacion

Miniatura no disponible

test

-

Libro 2 (V/F)

He publicado nuevos test de 2º Estructura y Protocolos de Redes Públicas: Libro 2 (V/F)

Libro 2.pdf
Libro 2 RESUELTO.pdf

He publicado nuevos apuntes de 2º Estructura y Protocolos de Redes Públicas: Clave 3Parcial.pdf

7 páginas

test

-

Libro 1 (V/F)

He publicado nuevos test de 2º Estructura y Protocolos de Redes Públicas: Libro 1 (V/F)

Libro 1.pdf
Libro 1 RESUELTO.pdf

He publicado nuevos apuntes de 2º Estructura y Protocolos de Redes Públicas: Clave 1Parcial.pdf

3 páginas

(ACTUALIZADO)

10 páginas

He publicado nuevos ejercicios de 2º Estructura y Protocolos de Redes Públicas: Primitivas.pdf

9 páginas

He publicado nuevos examenes de 2º Estructura y Protocolos de Redes Públicas: Ejercicio-Bien-Resuelto-Primitivas-Parcial-2025.pdf

1 página

He publicado nuevos apuntes de 2º Estructura y Protocolos de Redes Públicas: Apuntes-segundo-libro-2025.pdf

17 páginas

He publicado nuevos apuntes de 2º Estructura y Protocolos de Redes Públicas: RESUMEN-LIBRO-3-2025.pdf

7 páginas

He publicado nuevos ejercicios de 2º Estructura y Protocolos de Redes Públicas: EJERCICIOS-PROTOCOLOS-2024.pdf

16 páginas

He publicado nuevos examenes de 2º Estructura y Protocolos de Redes Públicas: 2C-2324-RESUELTA.pdf

13 páginas

He publicado nuevos examenes de 2º Estructura y Protocolos de Redes Públicas: 2O-PARCIAL-2324-RESUELTO.pdf

5 páginas

He publicado nuevos examenes de 2º Estructura y Protocolos de Redes Públicas: 1ER-PARCIAL-2324-RESUELTO.pdf

10 páginas

He publicado nuevos examenes de 2º Estructura y Protocolos de Redes Públicas: 1C-2024-RESUELTA.pdf

8 páginas

Libro 1, 2ªParte (ACTUALIZADO)

13 páginas

He publicado nuevos otros de 2º Estructura y Protocolos de Redes Públicas: ESTADISTICAS 2Parcial 24-25.pdf

1 página

He publicado nuevos apuntes de 2º Estructura y Protocolos de Redes Públicas: Apuntes-2o-parcial.pdf

10 páginas

He publicado nuevos apuntes de 2º Estructura y Protocolos de Redes Públicas: Clave 2Parcial.pdf

3 páginas

He publicado nuevos otros de 2º Estructura y Protocolos de Redes Públicas: ESTADISTICAS 1Parcial 24-25.pdf

1 página

He publicado nuevos ejercicios de 2º Estructura y Protocolos de Redes Públicas: Estrategias ARQ.pdf

4 páginas

He publicado nuevos examenes de 2º Estructura y Protocolos de Redes Públicas: 2do parcial 23/24 y ej clase.pdf

5 páginas

He publicado nuevos examenes de 2º Estructura y Protocolos de Redes Públicas: 1er parcial 23/24 y ej clase.pdf

4 páginas

Los huecos en blanco son dibujos que están en las diapositivas

16 páginas

He publicado nuevos otros de 2º Estructura y Protocolos de Redes Públicas: ESTADISTICAS 3Convo 24-25.pdf

1 página

He publicado nuevos otros de 2º Estructura y Protocolos de Redes Públicas: ESTADISTICAS 2Convo 23-24.pdf

1 página

He publicado nuevos otros de 2º Estructura y Protocolos de Redes Públicas: ESTADISTICAS 1Convo 23-24.pdf

1 página

He publicado nuevos otros de 2º Estructura y Protocolos de Redes Públicas: ESTADISTICAS 3Parcial 23-24.pdf

1 página

He publicado nuevos otros de 2º Estructura y Protocolos de Redes Públicas: ESTADISTICAS 2Parcial 23-24.pdf

1 página

He publicado nuevos otros de 2º Estructura y Protocolos de Redes Públicas: ESTADISTICAS 1Parcial 23-24.pdf

1 página

He publicado nuevos apuntes de 2º Estructura y Protocolos de Redes Públicas: Preguntas-protocolo-para-estudiar-primer-bloque.pdf

20 páginas

He publicado nuevos apuntes de 2º Estructura y Protocolos de Redes Públicas: BLOQUE III APUNTES MUY COMPLETOS.pdf

21 páginas

He publicado nuevos apuntes de 2º Estructura y Protocolos de Redes Públicas: BLOQUE II APUNTES MUY COMPLETOS.pdf

46 páginas

He publicado nuevos apuntes de 2º Estructura y Protocolos de Redes Públicas: BLOQUE I APUNTES MUY COMPLETOS.pdf

65 páginas
Anónimo

@Anónimo

He publicado nuevos apuntes de 2º Estructura y Protocolos de Redes Públicas: Libro1-RedactadoConNotasdeClase(Parte1/2).pdf

7 páginas

He publicado nuevos apuntes de 2º Estructura y Protocolos de Redes Públicas: Ejercicios-2-parcial.pdf

3 páginas

He publicado nuevos apuntes de 2º Estructura y Protocolos de Redes Públicas: Primer-parcial-resuelto.pdf

4 páginas

He publicado nuevos examenes de 2º Estructura y Protocolos de Redes Públicas: 1-Examen-Parcial-RESUELTO-por-profesor-2324.pdf

2 páginas

He publicado nuevos apuntes de 2º Estructura y Protocolos de Redes Públicas: Ejercicios-1-parcial.pdf

1 página

He publicado nuevos ejercicios de 2º Estructura y Protocolos de Redes Públicas: EJERCICIOS-PROTOCOLOS.pdf

15 páginas
Anónimo

@Anónimo

He publicado nuevos apuntes de 2º Estructura y Protocolos de Redes Públicas: Recopilacion-tipo-test-de-parciales.pdf

29 páginas

ejercicios

-

Escenarios de clase y convocatorias

He publicado nuevos ejercicios de 2º Estructura y Protocolos de Redes Públicas: Escenarios de clase y convocatorias

Ejercicios-para-convocatoria.pdf
Escenarios-de-clase.pdf

apuntes

-

Toda la teoría resumida y explicada

He publicado nuevos apuntes de 2º Estructura y Protocolos de Redes Públicas: Toda la teoría resumida y explicada

TEMA-6-REDES-MOVILES.pdf
TEMA-5-TELEFONIA-IP.pdf
TEMA-4-CSS7SISTEMA-DE-SENALIZACION.pdf
TEMA-2-LA-RED-TELEFONICA-CONMUTADA.pdf
TEMA-3-RDSI.pdf
TEMA-1-INTRODUCCION.pdf