chevron_left
chevron_right
Todo
Apuntes
Exámenes
chevron_left
chevron_right

He publicado nuevos apuntes de 3º Estructuras Aeroportuarias I: PROYECTO-DE-CURSO-TERMINAL-ALMERIA.pdf

25 páginas

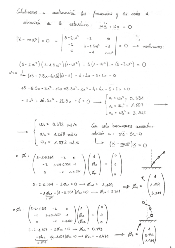
He publicado nuevos examenes de 3º Estructuras Aeroportuarias I: Problema-respuesta-estructura-a-sismo.pdf

8 páginas

apuntes

-

2º Orden

Teoría examen

2orden pag1.pdf
2orden pag2.pdf
2orden pag3.pdf
2orden pag4.pdf
2orden pag5.pdf

apuntes

-

Láminas

Teoría examen

laminas pag1.pdf
laminas pag2.pdf
laminas pag3.pdf
laminas pag4.pdf
laminas pag5.pdf

apuntes

-

Placas

Teoría de examen

placas pag1.pdf
placas pag2.pdf
placas pag3.pdf
placas pag4.pdf
¡Estás al día!

¡Estás al día!

Has visto todos los archivos