Estructuras Algebraicas

chevron_left
chevron_right
Todo
Apuntes
Ejercicios
Exámenes
chevron_left
chevron_right

ejercicios

-

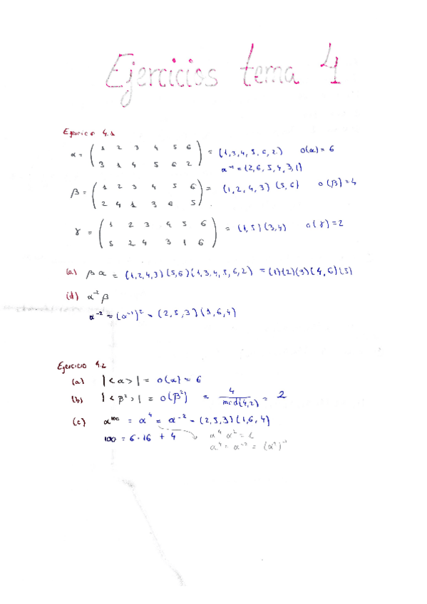
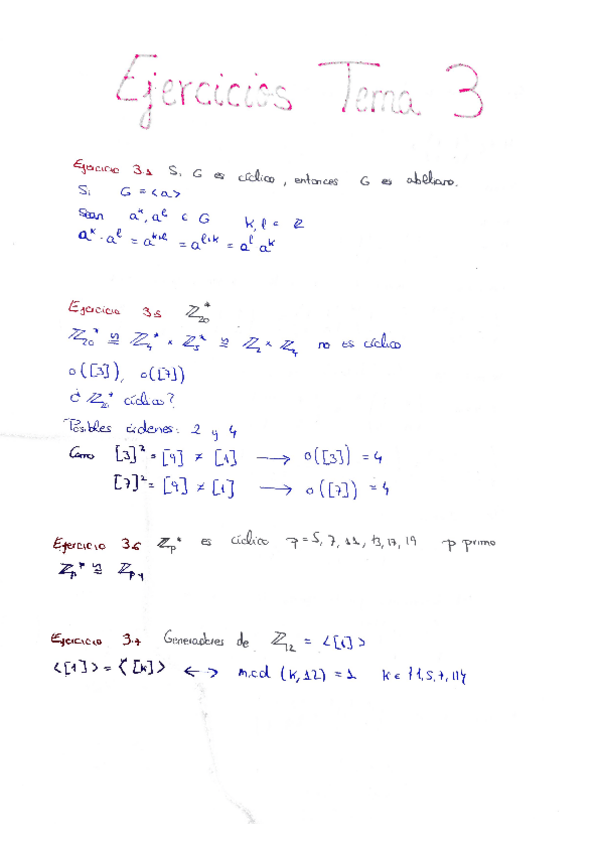
Tema 3: Ejemplos de grupos y anillos

He publicado nuevos ejercicios de 3º Estructuras Algebraicas: Tema 3: Ejemplos de grupos y anillos

Enunciados.pdf
Solucionario.pdf

ejercicios

-

Tema 2: Subestructuras, generadores y producto directo.

He publicado nuevos ejercicios de 3º Estructuras Algebraicas: Tema 2: Subestructuras, generadores y producto directo.

Enunciados.pdf
Solucionario.pdf

ejercicios

-

Tema 1: Introducción a las estructuras algebraicas

He publicado nuevos ejercicios de 3º Estructuras Algebraicas: Tema 1: Introducción a las estructuras algebraicas

Enunciados.pdf
Solucionario.pdf

Resúmenes esquemáticos de los temas 1 al 8, ambos incluidos, de la asignatura de Estructuras Algebraicas

8 páginas

Apuntes de toda la teoría de la asignatura de Estructuras Algebraicas, con ejemplos y demostraciones varias

105 páginas

apuntes

-

exámenes resueltos

exámenes resueltos del drive

estr.F01-2024.pdf
estr.F07-24.pdf
estr.P21.pdf
estr.P22.pdf
estr.P2014.pdf

apuntes

-

resúmenes por tema estructuras

esquemas con las propiedades principales

estr.resumen2.pdf
estr.resumen3.pdf
estr.resumen4.pdf
estr.resumen5.pdf
estr.resumen6.pdf
estr.resumen7.pdf

ejercicios

-

ejercicios resueltos estructuras

muchos ejercicios resueltos de los apuntes de joan josep

estr.ej1.pdf
estr.ej2.pdf
estr.ej3.pdf
estr.ej4.pdf
estr.ej5.pdf
estr.ej6.pdf

examenes

-

Examenes resueltos

Examenes resueltos de Estructuras Algebraicas

ENERO-2017.pdf
ENERO-2018.pdf
ENERO-2020.pdf
ENERO-2021.pdf
ENERO-2022.pdf
JULIO-2016.pdf
Anónimo

@Anónimo

apuntes

-

Resumenes

He publicado nuevos apuntes de 3º Estructuras Algebraicas: Resumenes

E.pdf
E.pdf
E.pdf
E.pdf
E.pdf
E.pdf
Anónimo

@Anónimo

apuntes

-

Exámenes

He publicado nuevos apuntes de 3º Estructuras Algebraicas: Exámenes

E.pdf
E.pdf
E.pdf
E.pdf
E.pdf
E.pdf
Anónimo

@Anónimo

apuntes

-

Exámenes

He publicado nuevos apuntes de 3º Estructuras Algebraicas: Exámenes

E.pdf
Anónimo

@Anónimo

apuntes

-

Ejercicios

He publicado nuevos apuntes de 3º Estructuras Algebraicas: Ejercicios

E.pdf
E.pdf
E.pdf
E.pdf
E.pdf
E.pdf
Anónimo

@Anónimo

apuntes

-

Temario

He publicado nuevos apuntes de 3º Estructuras Algebraicas: Temario

E.pdf
E.pdf
E.pdf
E.pdf
E.pdf
E.pdf
¡Estás al día!

¡Estás al día!

Has visto todos los archivos