Estructuras básicas del álgebra

Todo
Apuntes
Ejercicios
Exámenes
Otros
Test
Trabajos
chevron_left
chevron_right

He publicado nuevos apuntes de 1º Estructuras básicas del álgebra: TEMA-8-DIP-DFU-Dominios-Euclideos-Cadenas-de-Ideales..pdf

8 páginas

Resumen tema 2 (Conjuntos)

2 páginas

He publicado nuevos apuntes de 1º Estructuras básicas del álgebra: TEMA-6-Th-de-Isomorfia.-Anillos-de-Division.-Ideales-Primos-y-Maximales.pdf.pdf

18 páginas

He publicado nuevos apuntes de 1º Estructuras básicas del álgebra: Tema-1.-Algebra-I.pdf..pdf

5 páginas

He publicado nuevos apuntes de 1º Estructuras básicas del álgebra: Tema-8.-Algebra-I.pdf

5 páginas

He publicado nuevos apuntes de 1º Estructuras básicas del álgebra: Relaciones-T5-Cuerpo-De-Fracciones-De-Un-Dom-De-Integridad.pdf

12 páginas

He publicado nuevos apuntes de 1º Estructuras básicas del álgebra: TEMA-7-Anillos-de-Polinomios.pdf

20 páginas

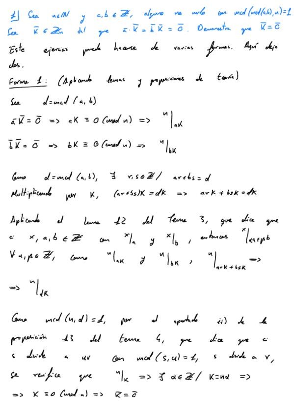
He publicado nuevos ejercicios de 1º Estructuras básicas del álgebra: Relaciones-T3-Congruencias.pdf

12 páginas

He publicado nuevos apuntes de 1º Estructuras básicas del álgebra: ALGEBRA-TEMA-5.pdf

8 páginas

He publicado nuevos apuntes de 1º Estructuras básicas del álgebra: ALGEBRA-TEMA-6.pdf

24 páginas

He publicado nuevos apuntes de 1º Estructuras básicas del álgebra: Relacion-T2-Los-Numeros-Enteros.pdf

15 páginas

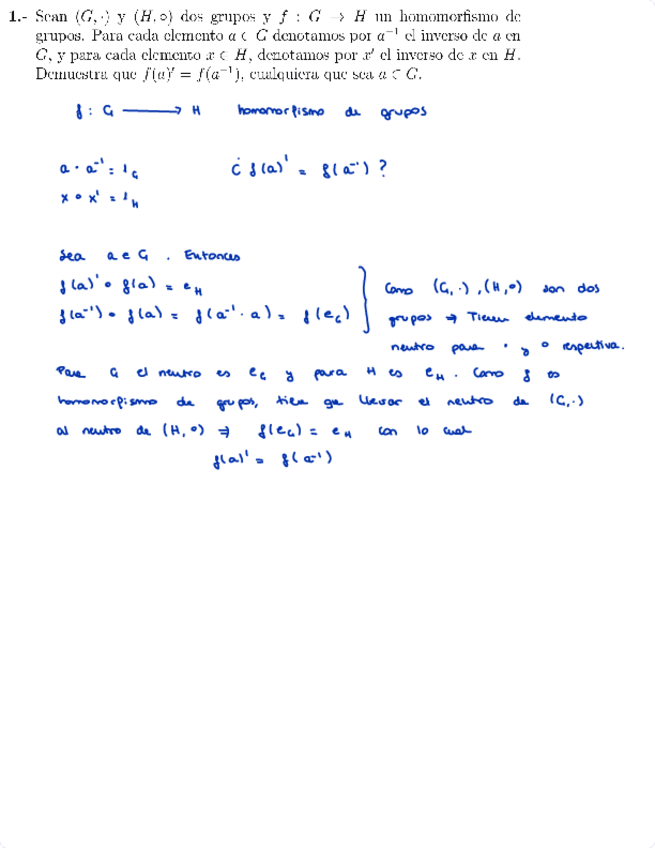
He publicado nuevos apuntes de 1º Estructuras básicas del álgebra: Relaciones-T1--Aplicaciones.pdf

15 páginas

He publicado nuevos apuntes de 1º Estructuras básicas del álgebra: tema-2.pdf

5 páginas

He publicado nuevos apuntes de 1º Estructuras básicas del álgebra: tema-1.pdf

2 páginas

He publicado nuevos apuntes de 1º Estructuras básicas del álgebra: TEMA-3-ALGEBRA-I.pdf

10 páginas

He publicado nuevos apuntes de 1º Estructuras básicas del álgebra: TEMA-2-ALGEBRA-I.pdf

14 páginas

He publicado nuevos apuntes de 1º Estructuras básicas del álgebra: TEMA-1-ALGEBRA-I.pdf

18 páginas

He publicado nuevos apuntes de 1º Estructuras básicas del álgebra: TEMA-5-Cuerpo-de-Fracciones-de-un-d.i..pdf

7 páginas

ejercicios

-

Relaciones EBA

He publicado nuevos ejercicios de 1º Estructuras básicas del álgebra: Relaciones EBA

2.Aritmetica-entera-modular-25-26.pdf
1.-Conjuntos-aplicaciones-y-relaciones-binarias.pdf

Apuntes EBA latex

57 páginas

apuntes

-

Apuntes EBA 2024/2025

Apuntes de los temas del grupo bilingüe.

Sets, maps and binary relations.pdf
Induction.pdf
Arithmetic.pdf
Groups.pdf
Rings.pdf
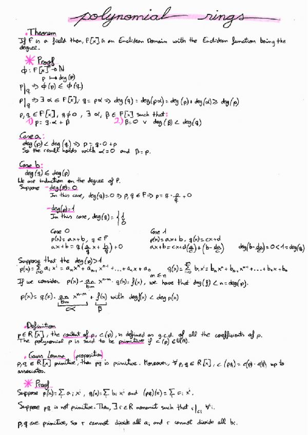
Polynomial Rings.pdf

He publicado nuevos apuntes de 1º Estructuras básicas del álgebra: Resumen.pdf

9 páginas

examenes

-

Exámenes EBA 2024/2025

Exámenes del grupo bilingüe

Final Exam January 2025.pdf
Extraordinary Exam February 2025.pdf

examenes

-

Parciales Bilingüe 2024/2025

Parciales 1 y 2 del grupo bilingüe resueltos

1º Partial Exam.pdf
2º Partial Exam.pdf

He publicado nuevos apuntes de 1º Estructuras básicas del álgebra: TEMA-3-Congruencias.pdf

12 páginas

He publicado nuevos apuntes de 1º Estructuras básicas del álgebra: TEMA-2-Numeros-Enteros.pdf

16 páginas

He publicado nuevos apuntes de 1º Estructuras básicas del álgebra: Tema-4-Factorizacion-unica.pdf

5 páginas

He publicado nuevos apuntes de 1º Estructuras básicas del álgebra: Tema-3-los-numeros-racionales-fracciones.pdf

2 páginas

He publicado nuevos apuntes de 1º Estructuras básicas del álgebra: Tema-2-Numeros-enteros-y-aritmetica-modular.pdf

12 páginas

He publicado nuevos apuntes de 1º Estructuras básicas del álgebra: Axiomas-de-Peano-y-resumen-de-estructuras-algebraicas.pdf

5 páginas
Anónimo

@Anónimo

Ejercicios completos del primer tema de álgebra I.

11 páginas

He publicado nuevos apuntes de 1º Estructuras básicas del álgebra: TEMA-1-Aplicaciones-y-Relaciones.pdf

14 páginas

He publicado nuevos examenes de 1º Estructuras básicas del álgebra: Aplicaciones-Febrero-2025.pdf

5 páginas

He publicado nuevos examenes de 1º Estructuras básicas del álgebra: Conjuntos-Febrero-2025.pdf

5 páginas

He publicado nuevos examenes de 1º Estructuras básicas del álgebra: Aplicaciones-Junio-2025.pdf

5 páginas

He publicado nuevos examenes de 1º Estructuras básicas del álgebra: Estructuras-Junio-2025.pdf

5 páginas
Anónimo

@Anónimo

toda la teoria

5 páginas

apuntes

-

Tema 1 resumen y tipo test

He publicado nuevos apuntes de 1º Estructuras básicas del álgebra: Tema 1 resumen y tipo test

Tema-1-resumen.pdf
Test-1.pdf
Test-3.pdf
Test-2.pdf

He publicado nuevos examenes de 1º Estructuras básicas del álgebra: Tercera-prueba-presencial-EBA.pdf

1 página

He publicado nuevos trabajos de 1º Estructuras básicas del álgebra: Trabajo-Induccion-Nota9.pdf

8 páginas

examenes

-

Todos Examenes EBA Resueltos (Actualizado 2024)

MH en la asignatura

ExamenesAplicaciones.pdf
ExamenesRelaciones.pdf
ExamenesEstructuras.pdf
ExamenesConjuntos.pdf

He publicado nuevos apuntes de 1º Estructuras básicas del álgebra: T8-Estructuras.pdf

3 páginas

He publicado nuevos apuntes de 1º Estructuras básicas del álgebra: Resumen-Estructuras.-EBA.pdf

6 páginas

He publicado nuevos ejercicios de 1º Estructuras básicas del álgebra: PARCIAL-1-EJERCICIOS-DE-CONJUNTOS.pdf

2 páginas

He publicado nuevos apuntes de 1º Estructuras básicas del álgebra: APUNTES-PARCIAL-1-CONJUNTOS.pdf

2 páginas

2º parcial del grupo bilingüe 2024/2025

1 página

He publicado nuevos apuntes de 1º Estructuras básicas del álgebra: Examen-relaciones-3er-parcial-2016.pdf

1 página

He publicado nuevos examenes de 1º Estructuras básicas del álgebra: Examen-relaciones-3er-parcial-23-24.pdf

1 página

He publicado nuevos examenes de 1º Estructuras básicas del álgebra: Examen-conjuntos-parcial-24-25.pdf

5 páginas

He publicado nuevos apuntes de 1º Estructuras básicas del álgebra: relacion-7.2.pdf

18 páginas

apuntes

-

APUNTES - RESUMEN DE ÁLGEBRA

He publicado nuevos apuntes de 1º Estructuras básicas del álgebra: APUNTES - RESUMEN DE ÁLGEBRA

AI-TEMA1.pdf
AI-TEMA2.pdf
AI-TEMA3.pdf
AI-TEMA4.pdf
AI-TEMA5.pdf
AI-TEMA6.pdf

He publicado nuevos examenes de 1º Estructuras básicas del álgebra: Examenes.pdf

25 páginas

He publicado nuevos ejercicios de 1º Estructuras básicas del álgebra: Relacion-7.1.pdf

19 páginas

He publicado nuevos ejercicios de 1º Estructuras básicas del álgebra: Relacion-6.2.pdf

18 páginas

He publicado nuevos ejercicios de 1º Estructuras básicas del álgebra: Relacion-6.1.pdf

17 páginas

He publicado nuevos ejercicios de 1º Estructuras básicas del álgebra: Relacion-5.2.pdf

12 páginas

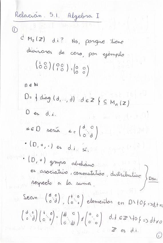
He publicado nuevos ejercicios de 1º Estructuras básicas del álgebra: Relacion-5.1-Algebra-I.pdf

10 páginas

He publicado nuevos ejercicios de 1º Estructuras básicas del álgebra: Relacion-3.2.pdf

11 páginas

He publicado nuevos ejercicios de 1º Estructuras básicas del álgebra: Relacion-3.1.pdf

17 páginas

He publicado nuevos ejercicios de 1º Estructuras básicas del álgebra: Relacion-2.2.pdf

11 páginas