Estructuras básicas del álgebra

chevron_left
chevron_right
Todo
Apuntes
Ejercicios
Exámenes
Test
chevron_left
chevron_right

ejercicios

-

Relaciones EBA

He publicado nuevos ejercicios de 1º Estructuras básicas del álgebra: Relaciones EBA

2.Aritmetica-entera-modular-25-26.pdf
1.-Conjuntos-aplicaciones-y-relaciones-binarias.pdf

apuntes

-

Apuntes EBA 2024/2025

Apuntes de los temas del grupo bilingüe.

Sets, maps and binary relations.pdf
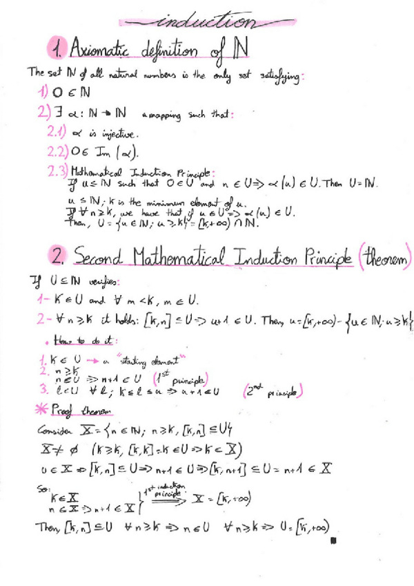
Induction.pdf
Arithmetic.pdf
Groups.pdf
Rings.pdf
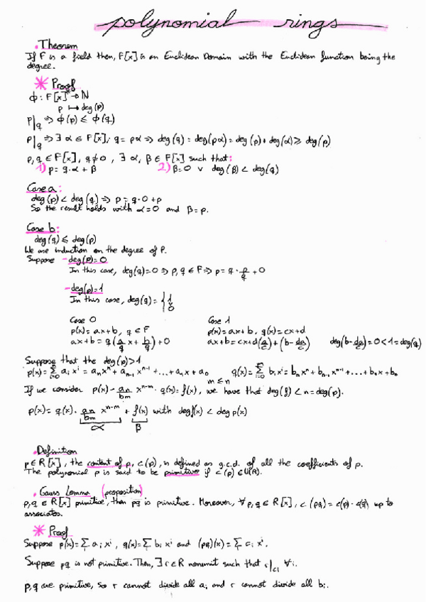
Polynomial Rings.pdf

He publicado nuevos apuntes de 1º Estructuras básicas del álgebra: Resumen.pdf

9 páginas

examenes

-

Exámenes EBA 2024/2025

Exámenes del grupo bilingüe

Final Exam January 2025.pdf
Extraordinary Exam February 2025.pdf

examenes

-

Parciales Bilingüe 2024/2025

Parciales 1 y 2 del grupo bilingüe resueltos

1º Partial Exam.pdf
2º Partial Exam.pdf

He publicado nuevos apuntes de 1º Estructuras básicas del álgebra: Tema-4-Factorizacion-unica.pdf

5 páginas

He publicado nuevos apuntes de 1º Estructuras básicas del álgebra: Tema-3-los-numeros-racionales-fracciones.pdf

2 páginas

He publicado nuevos apuntes de 1º Estructuras básicas del álgebra: Tema-2-Numeros-enteros-y-aritmetica-modular.pdf

12 páginas

He publicado nuevos apuntes de 1º Estructuras básicas del álgebra: Axiomas-de-Peano-y-resumen-de-estructuras-algebraicas.pdf

5 páginas
Anónimo

@Anónimo

toda la teoria

5 páginas

apuntes

-

Tema 1 resumen y tipo test

He publicado nuevos apuntes de 1º Estructuras básicas del álgebra: Tema 1 resumen y tipo test

Tema-1-resumen.pdf
Test-1.pdf
Test-3.pdf
Test-2.pdf

2º parcial del grupo bilingüe 2024/2025

1 página

test

-

Test

He publicado nuevos test de 1º Estructuras básicas del álgebra: Test

test.pdf

ejercicios

-

Exercises 2024/2025

Exercises

1. Sets.pdf
2. Maps.pdf
3. Binary relations.pdf
4. Induction.pdf
5. Arithmetic.pdf
6. Groups.pdf

ejercicios

-

Relaciones Tema 1

He publicado nuevos ejercicios de 1º Estructuras básicas del álgebra: Relaciones Tema 1

ejercicios-relacion-1.pdf
relacion-1-resuelta.pdf
rel2-aplicaciones.pdf
relacion-2-resuelta.pdf
relacion-3-resuelta.pdf
rel3-relaciones.pdf

Relacion 3 tema 1

10 páginas

He publicado nuevos apuntes de 1º Estructuras básicas del álgebra: rel2-aplicacionesResueltos.pdf

11 páginas

He publicado nuevos examenes de 1º Estructuras básicas del álgebra: Examen-ordinario-E.B.A-2023-2024.pdf

2 páginas

He publicado nuevos apuntes de 1º Estructuras básicas del álgebra: Apuntes-tema-3.pdf

8 páginas

He publicado nuevos apuntes de 1º Estructuras básicas del álgebra: Apuntes-tema-2.pdf

22 páginas

He publicado nuevos apuntes de 1º Estructuras básicas del álgebra: Demostraciones-tema-1.pdf

4 páginas

He publicado nuevos apuntes de 1º Estructuras básicas del álgebra: Conceptos-importantes-temas-123.pdf

9 páginas

He publicado nuevos apuntes de 1º Estructuras básicas del álgebra: Demostraciones-tema-3.pdf

8 páginas

He publicado nuevos apuntes de 1º Estructuras básicas del álgebra: Demostraciones-tema-2.pdf

7 páginas

examenes

-

Examen Ordinaria y Extraordinaria 2024 Juan Cuadra

Examen Ordinaria y Extraordinaria 2024 Juan Cuadra

Examen-Ordinaria-2024.pdf
Examen-Extraordinaria-2024.pdf

examenes

-

Examenes Parciales 2024 Juan cuadra

Exámenes parciales 2024 Juan Cuadra

Primer-Parcial-2024.pdf
Segundo-parcial-2024.pdf

He publicado nuevos apuntes de 1º Estructuras básicas del álgebra: Grupo-Cociente--Ejemplo--Corolario.pdf

2 páginas

He publicado nuevos apuntes de 1º Estructuras básicas del álgebra: 1er-Teorema-de-Isomorfia-Demostracion-REDACCION.pdf

3 páginas

Temas 1 a 8

53 páginas

He publicado nuevos apuntes de 1º Estructuras básicas del álgebra: Resumenes-EBA-ingles.pdf

14 páginas

He publicado nuevos examenes de 1º Estructuras básicas del álgebra: Examenes-EBA-ingles.pdf

2 páginas

He publicado nuevos ejercicios de 1º Estructuras básicas del álgebra: 8-Polynomial-Rings-EBA-Ingles.pdf

16 páginas

He publicado nuevos ejercicios de 1º Estructuras básicas del álgebra: 7-Rings-EBA-Ingles.pdf

8 páginas

He publicado nuevos ejercicios de 1º Estructuras básicas del álgebra: 6-Groups-EBA-Ingles.pdf

6 páginas

He publicado nuevos ejercicios de 1º Estructuras básicas del álgebra: 3-Binary-Relations-EBA-Ingles.pdf

12 páginas

He publicado nuevos ejercicios de 1º Estructuras básicas del álgebra: 2-Maps-EBA-Ingles.pdf

8 páginas

He publicado nuevos ejercicios de 1º Estructuras básicas del álgebra: 1-Sets-EBA-Ingles.pdf

9 páginas

He publicado nuevos examenes de 1º Estructuras básicas del álgebra: Parcial-EBA-Ingles.pdf

1 página

He publicado nuevos ejercicios de 1º Estructuras básicas del álgebra: Tema-8.-Polynomials-Relacion-Resuelta-EBA-Ingles.pdf

10 páginas

He publicado nuevos apuntes de 1º Estructuras básicas del álgebra: Tema-8.-Polynomial-Rings-Apuntes-EBA-Ingles.pdf

6 páginas

He publicado nuevos ejercicios de 1º Estructuras básicas del álgebra: Tema-7.-Rings-Relacion-Resuelta-EBA-Ingles.pdf

11 páginas

He publicado nuevos apuntes de 1º Estructuras básicas del álgebra: Tema-7.-Rings-Apuntes-EBA-Ingles.pdf

15 páginas

He publicado nuevos ejercicios de 1º Estructuras básicas del álgebra: Tema-6.-Groups-Relacion-Resuelta-EBA-Ingles.pdf

6 páginas

He publicado nuevos apuntes de 1º Estructuras básicas del álgebra: Tema-6.-Groups-Apuntes-EBA-Ingles.pdf

3 páginas

He publicado nuevos ejercicios de 1º Estructuras básicas del álgebra: Tema-5.-Arithmetic-Relacion-Resuelta-EBA-Ingles.pdf

17 páginas

He publicado nuevos apuntes de 1º Estructuras básicas del álgebra: Tema-1.-Set-Theory-Apuntes-y-Ejercicios-EBA-ingles.pdf

10 páginas

He publicado nuevos apuntes de 1º Estructuras básicas del álgebra: Tema-5.-Arithmetic-Apuntes-EBA-Ingles.pdf

20 páginas

He publicado nuevos ejercicios de 1º Estructuras básicas del álgebra: Tema-4.-Induction-Relacion-y-Ejercicios-EBA-ingles.pdf

5 páginas

He publicado nuevos ejercicios de 1º Estructuras básicas del álgebra: Tema-3.-Binary-relations-Relacion-y-Ejercicios-EBA-ingles.pdf

10 páginas

He publicado nuevos apuntes de 1º Estructuras básicas del álgebra: Tema-3.-Binary-Relations-Apuntes-EBA-Ingles.pdf

6 páginas

He publicado nuevos apuntes de 1º Estructuras básicas del álgebra: Tema-2.-Maps-Apuntes-y-ejercicios-EBA-ingles.pdf

7 páginas

He publicado nuevos examenes de 1º Estructuras básicas del álgebra: Final-Ordinaria-EBA-Ingles-2024-Resuelto.pdf

4 páginas

He publicado nuevos apuntes de 1º Estructuras básicas del álgebra: DefinicionesTema2-4.pdf

7 páginas

He publicado nuevos examenes de 1º Estructuras básicas del álgebra: Primer-Parcial-Algebra.pdf

1 página

He publicado nuevos examenes de 1º Estructuras básicas del álgebra: Primer-Parcial-resuelto.pdf

3 páginas

He publicado nuevos examenes de 1º Estructuras básicas del álgebra: Examen-final-Resuelto.pdf

3 páginas

He publicado nuevos examenes de 1º Estructuras básicas del álgebra: Examen-Final.pdf

1 página

He publicado nuevos examenes de 1º Estructuras básicas del álgebra: Parcial 1 resuelto curso 2022/2023.pdf

3 páginas

apuntes

-

Resumenes hechos por mí para exámenes

He publicado nuevos apuntes de 1º Estructuras básicas del álgebra: Resumenes hechos por mí para exámenes

Resumen aritmética modular.pdf
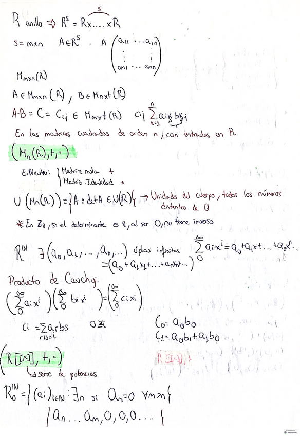
tipos-de-anillosideales-....pdf
resumen-aplicaciones.pdf
resumen-relaciones-binarias.pdf
resumen-anillos.pdf
Resumen-Aritmetica.pdf

examenes

-

Exámenes EBA curso 2022/2023

He publicado nuevos examenes de 1º Estructuras básicas del álgebra: Exámenes EBA curso 2022/2023

Examen-extraordinario-EBA.pdf
Examen-ordinario-EBA.pdf
2-parcial-anillos.pdf
Mini-prueba-conjuntos-aplicaciones-y-relaciones-binarias.pdf