chevron_left
chevron_right
Todo
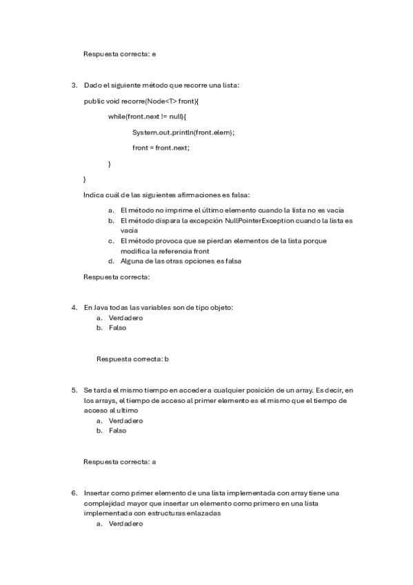
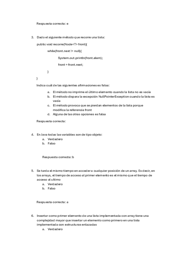
Apuntes
Ejercicios
Exámenes
Prácticas
chevron_left
chevron_right

examenes

-

EXÁMENES

He publicado nuevos examenes de 1º Estructuras de Datos: EXÁMENES

EXAMEN1 2018.pdf
EXAMEN1-CONV2-2022.pdf
EXAMEN1-CONV2-2013.pdf
EXAMEN2-2022.pdf
EXAMEN2-2016.pdf
EXAMEN2-2018.pdf

apuntes

-

Teoria importante primer y segundo parcial

He publicado nuevos apuntes de 1º Estructuras de Datos: Teoria importante primer y segundo parcial

Resumen-Teoria-Primer-Parcial-Pilas-Colas-y-breve-explicacion-general.pdf

practicas

-

Practicas Resueltas 2025

Practicas curso 2024/2025 puede que cambie algún que otro nombre de alguna cosa pero lo que son los metodos a hacer serán parecidos o prácticamente iguales ir probando en el vpl. Todas las practicas tienen un 10 y el coverage de tests al 100%.

Practica-1.pdf
Practica-2.pdf
Practica-3.pdf
Practica-4.pdf
Practica-5.pdf
Anónimo

@Anónimo

He publicado nuevos practicas de 1º Estructuras de Datos: Repaso-express-ensamblador.pdf

4 páginas

apuntes

-

Teoría y ejercicios Datos Clase primer parcial

Ire actualizando según avance temario en clase

Tema-1-Ultima-actualizado-24/2.pdf

ejercicios

-

EJERCICIOS EXAMENES REPASO

He publicado nuevos ejercicios de 1º Estructuras de Datos: EJERCICIOS EXAMENES REPASO

3EjerciciosListasEnlazadasInsertarPenultimoEliminarPenultimo.pdf
4RecopilatorioEjerPilasEnunciados.pdf
EjerciciosRepaso1Parcial.pdf

apuntes

-

Teoria1

He publicado nuevos apuntes de 1º Estructuras de Datos: Teoria1

2ExplicacionIteradores.pdf
EDTema1DOO.pdf
EDTema3EstructurasEnlazadas.pdf
EDTema4Pilas.pdf
EDTema5Colas.pdf

apuntes

-

Teoria2

He publicado nuevos apuntes de 1º Estructuras de Datos: Teoria2

Tema8Arboles.pdf
Tema10OrdenBusqueda.pdf
Tema11Grafos.pdf

He publicado nuevos practicas de 1º Estructuras de Datos: EDPract52024.zip

Miniatura no disponible
zip

He publicado nuevos practicas de 1º Estructuras de Datos: EDPract42024.zip

Miniatura no disponible
zip

He publicado nuevos practicas de 1º Estructuras de Datos: EDPract32024.zip

Miniatura no disponible
zip

He publicado nuevos apuntes de 1º Estructuras de Datos: EDPract22024.zip

Miniatura no disponible
zip

He publicado nuevos examenes de 1º Estructuras de Datos: EXAMEN-TEORIA-2o-PARCIAL.pdf

7 páginas

He publicado nuevos examenes de 1º Estructuras de Datos: EXAMEN-TEORIA-1o-PARCIAL.pdf

9 páginas

He publicado nuevos ejercicios de 1º Estructuras de Datos: Ejercicios1erParcial.pdf

12 páginas

He publicado nuevos ejercicios de 1º Estructuras de Datos: Ejercicios2oParcial.pdf

28 páginas

practicas

-

PRÁCTICA 5

He publicado nuevos practicas de 1º Estructuras de Datos: PRÁCTICA 5

Practicaa0052022.pdf
Miniatura no disponible
AbstractBinaryTreeADT.java
Miniatura no disponible
BinarySearchTreeImpl.java
Miniatura no disponible
TreeADT.java
ExplicacionEDPractica52022.pdf
Miniatura no disponible
BinarySearchTreeTests.java

practicas

-

PRÁCTICA 4

He publicado nuevos practicas de 1º Estructuras de Datos: PRÁCTICA 4

Miniatura no disponible
LinkedEDListTest.java
Miniatura no disponible
EDList.java
Miniatura no disponible
LinkedEDList.java
EDPract42022.pdf
Miniatura no disponible
EmptyCollectionException-1.java

practicas

-

PRÁCTICA 3

He publicado nuevos practicas de 1º Estructuras de Datos: PRÁCTICA 3

Miniatura no disponible
EmptyCollectionException.java
EDPractica32022.pdf
Miniatura no disponible
DoubleLinkedListImpl.java
Miniatura no disponible
DoubleList.java
Miniatura no disponible
DoubleLinkedImplTest.java

practicas

-

PRÁCTICA 2

He publicado nuevos practicas de 1º Estructuras de Datos: PRÁCTICA 2

Miniatura no disponible
AbstractListWithRefTests.java
Miniatura no disponible
EmptyCollectionException.java
Miniatura no disponible
LinkedListWithRepImpl.java
Miniatura no disponible
ArrayListWithRepRefTests.java
Miniatura no disponible
ArrayListWithRepImpl.java
EDPractica22022.pdf

practicas

-

PRÁCTICA 1

He publicado nuevos practicas de 1º Estructuras de Datos: PRÁCTICA 1

Miniatura no disponible
Passenger.java
Miniatura no disponible
IAirplane.java
Miniatura no disponible
AirplaneArrayImplTests.java
Miniatura no disponible
NoneChildrenInAvionException.java
Miniatura no disponible
AirplaneArrayImpl.java
EDPractica12022-1.pdf

He publicado nuevos practicas de 1º Estructuras de Datos: EDp52022.zip

Miniatura no disponible
zip

He publicado nuevos practicas de 1º Estructuras de Datos: EDp42022.zip

Miniatura no disponible
zip

He publicado nuevos practicas de 1º Estructuras de Datos: EDp32022.zip

Miniatura no disponible
zip

He publicado nuevos practicas de 1º Estructuras de Datos: EDp22022.zip

Miniatura no disponible
zip

He publicado nuevos practicas de 1º Estructuras de Datos: EDp12022.zip

Miniatura no disponible
zip

examenes

-

EXAMENES RESUELTOS

He publicado nuevos examenes de 1º Estructuras de Datos: EXAMENES RESUELTOS

ExamenRec1parcial2018Soluciones.pdf
ExamenRecupJunio1parcial2016AlgunasSoluciones.pdf
Ejercicios1ParcialRepaso.pdf
EjerciciosRepaso1Parcial.pdf
RecopilatorioEjerPilasSoluciones.pdf
parcial1edi22014Soluciones.pdf

apuntes

-

TEMA 6 RESUMEN

He publicado nuevos apuntes de 1º Estructuras de Datos: TEMA 6 RESUMEN

Tema6Listas.pdf
6.pdf

apuntes

-

TEMA 7 RESUMEN

He publicado nuevos apuntes de 1º Estructuras de Datos: TEMA 7 RESUMEN

Tema7Recursividad.pdf
7.pdf

ejercicios

-

EJERCICIOS RESUELTOS REPASO

He publicado nuevos ejercicios de 1º Estructuras de Datos: EJERCICIOS RESUELTOS REPASO

EjerciciosArbolesBinarios.pdf
EjerciciosAVL.pdf
EJERCICIOS2ParcialTablasHash.pdf
Recursividad-Registrosdeacrivacion.pdf
Ejerciciosarbolesvarios.pdf
EjercicioArbolPasoParametroComoArray.pdf

apuntes

-

TEMA 12 RESUMEN

He publicado nuevos apuntes de 1º Estructuras de Datos: TEMA 12 RESUMEN

TABLAS-HASH.pdf
Tema12TablasHash.pdf

apuntes

-

TEMA 10 RESUMEN

He publicado nuevos apuntes de 1º Estructuras de Datos: TEMA 10 RESUMEN

EDTema10OrdenBusqueda.pdf
ORDENACION-Y-BUSQUEDA.pdf

apuntes

-

TEMA 9 RESUMEN

He publicado nuevos apuntes de 1º Estructuras de Datos: TEMA 9 RESUMEN

ARBOLES-AVL-Y-HEAPS.pdf
Tema9OtrosArboles.pdf

apuntes

-

TEMA 8 RESUMEN

He publicado nuevos apuntes de 1º Estructuras de Datos: TEMA 8 RESUMEN

Tema8Arboles.pdf
ARBOLES.pdf

apuntes

-

TEMA 2 RESUMEN

He publicado nuevos apuntes de 1º Estructuras de Datos: TEMA 2 RESUMEN

COLECCIONES.pdf
EDTema2Colecciones-1.pdf

apuntes

-

TEMA 1 Resumen

He publicado nuevos apuntes de 1º Estructuras de Datos: TEMA 1 Resumen

PROGRAMACION-ORIENTADA-A-OBJETOS.pdf
EDTema1DOO.pdf
Anónimo

@Anónimo

He publicado nuevos apuntes de 1º Estructuras de Datos: Monticulosheaps-Tema-9.pdf

1 página
Anónimo

@Anónimo

He publicado nuevos apuntes de 1º Estructuras de Datos: RESUMEN-TEMA-11-FACIL.pdf

5 páginas
Anónimo

@Anónimo

He publicado nuevos apuntes de 1º Estructuras de Datos: ARBOLES-AVL-EXAMEN.pdf

4 páginas

examenes

-

Exámenes Estructuras de Datos

He publicado nuevos examenes de 1º Estructuras de Datos: Exámenes Estructuras de Datos

Examen1datos2014Soluciones.pdf
Examen2parcial2015Soluciones.pdf
Examen2Parcial2016Soluciones.pdf
Examen2parcial2018ConSolucionesCodigo.pdf

ejercicios

-

Ejercicios Estructuras de Datos

He publicado nuevos ejercicios de 1º Estructuras de Datos: Ejercicios Estructuras de Datos

EjerciciosListasEnlazadas.pdf
EjerciciosRecursivosListas.pdf
EjerciciosArbolesBinarios.pdf
EjerciciosAVL.pdf
EjerciciosRepaso1Parcial.pdf
Ejerciciosarbolesbinarios2.pdf

He publicado nuevos apuntes de 1º Estructuras de Datos: SegundaConvocatoriaSegundoParcialED.pdf

3 páginas

He publicado nuevos apuntes de 1º Estructuras de Datos: ExamenRecuperacion2doParcialED.pdf

4 páginas

He publicado nuevos apuntes de 1º Estructuras de Datos: Examen2doParcialED.pdf

4 páginas

He publicado nuevos examenes de 1º Estructuras de Datos: Examen1erParcialED.pdf

2 páginas

He publicado nuevos apuntes de 1º Estructuras de Datos: PRACTICA4ED2020.zip

zip

He publicado nuevos apuntes de 1º Estructuras de Datos: PRACTICA3ED2020.zip

Miniatura no disponible
zip

He publicado nuevos apuntes de 1º Estructuras de Datos: PRACTICA2ED2020.zip

zip

He publicado nuevos practicas de 1º Estructuras de Datos: PRACTICA1ED2020.zip

zip

He publicado nuevos apuntes de 1º Estructuras de Datos: pilas.pdf

8 páginas

He publicado nuevos apuntes de 1º Estructuras de Datos: Arboles.pdf

5 páginas

He publicado nuevos apuntes de 1º Estructuras de Datos: Estructura-de-Datos-Teoria.pdf

9 páginas

He publicado nuevos examenes de 1º Estructuras de Datos: SEGUNDO-PARCIAL-ESTRUCTURA-DE-DATOS-2018.pdf

1 página

He publicado nuevos examenes de 1º Estructuras de Datos: EjerciciosExamenes1Parcial.pdf

16 páginas

He publicado nuevos apuntes de 1º Estructuras de Datos: 1ParcialED.pdf

19 páginas

He publicado nuevos apuntes de 1º Estructuras de Datos: EDARBOLESTABLASHASH.pdf

26 páginas

He publicado nuevos apuntes de 1º Estructuras de Datos: RESUMEN.pdf

31 páginas

Ejercicios Resueltos Estructuras de Datos

66 páginas

He publicado nuevos examenes de 1º Estructuras de Datos: ExamenRecupJunio1parcial2016AlgunasSoluciones.pdf

2 páginas

He publicado nuevos examenes de 1º Estructuras de Datos: ExamenRec2Parcial2016.pdf

1 página