Estructuras de Edificación I

chevron_left
chevron_right
Todo
Apuntes
Ejercicios
Exámenes
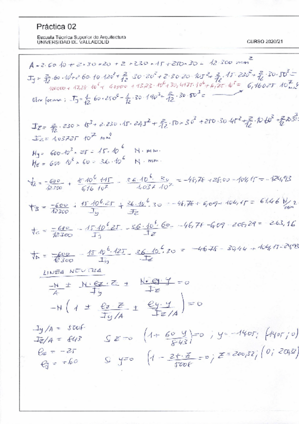
Prácticas
Trabajos
chevron_left
chevron_right

Apuntes y ejercicios de todas las clases BLOQUES 1 Y 2

13 páginas

Apuntes todas las clases y ejercicios 1ª parte

8 páginas

Apuntes, Prácticas y Exámenes resueltos

12 páginas

He publicado nuevos trabajos de 3º Estructuras de Edificación I: TRABAJO-ESCRUCTURAS-1.pdf

15 páginas
Anónimo

@Anónimo

prácticas resueltas

Miniatura no disponible
3 páginas

He publicado nuevos apuntes de 2º Estructuras de Edificación I: estructuras-I.pdf

53 páginas
Anónimo

@Anónimo

He publicado nuevos examenes de 2º Estructuras de Edificación I: EXAMEN-RESOLUCIONESTATICA.pdf

2 páginas
Anónimo

@Anónimo

He publicado nuevos examenes de 2º Estructuras de Edificación I: EXAMEN-RESOLUCIONSECCION.pdf

4 páginas

He publicado nuevos ejercicios de 2º Estructuras de Edificación I: E1-EJERCICIOSSECCIONES.pdf

51 páginas

He publicado nuevos ejercicios de 2º Estructuras de Edificación I: E1-Ejercicios-estructurasISOSTATICAS.pdf

99 páginas

ejercicios

-

Ejercicios resueltos

He publicado nuevos ejercicios de 2º Estructuras de Edificación I: Ejercicios resueltos

PRACTICA-SECCIONES-resuelta.pdf
practica-3.pdf
ESecciones.pdf
EIsostaticasPortico-16.pdf
Estructuras-IEjercicios-resueltos.pdf
Solucion-Examen-Ordinario.pdf

apuntes

-

Estructuras I

He publicado nuevos apuntes de 1º Estructuras de Edificación I: Estructuras I

Formulario Estructuras I.pdf
FORMULARIO Y TEORIA ESTRUCTURAS I.pdf
¡Estás al día!

¡Estás al día!

Has visto todos los archivos