chevron_left
chevron_right
Todo
Apuntes
Ejercicios
Exámenes
chevron_left
chevron_right

He publicado nuevos apuntes de 1º Estructuras Discretas: Tema-1.-Logica.pdf

3 páginas

He publicado nuevos apuntes de 1º Estructuras Discretas: Tema-6.-Redes.pdf

7 páginas

He publicado nuevos ejercicios de 1º Estructuras Discretas: Ejercicios-Repaso.pdf

2 páginas

He publicado nuevos ejercicios de 1º Estructuras Discretas: Tema-1-y-5-Examen-Lab.pdf

2 páginas

He publicado nuevos ejercicios de 1º Estructuras Discretas: Parte-2-Laboratorio.pdf

5 páginas

He publicado nuevos apuntes de 1º Estructuras Discretas: Tema-5.-Grafos.pdf

5 páginas

He publicado nuevos ejercicios de 1º Estructuras Discretas: Tema-1-y-5-Laboratorio.pdf

19 páginas

He publicado nuevos apuntes de 1º Estructuras Discretas: Tema-2-y-3.pdf

3 páginas

Apuntes breves del tema 4 (recurrencia)

4 páginas

Apuntes breves del tema 3 (series de potencias y sus propiedades algebraicas)

3 páginas

Apuntes breves Tema 2: Combinatoria

6 páginas

Fórmulas varias necesarias para el PEC1 y PL1

3 páginas

Ejercicios PEI 1 2021 EEDD con soluciones

23 páginas

Apuntes breves del tema 6 (grafos planos, coloración y redes de transporte)

4 páginas

Apuntes resumidos con ejemplos y fórmulas del tema 5 de Estructuras Discretas

4 páginas

He publicado nuevos examenes de 1º Estructuras Discretas: Examen-Laboratorio-Tema-5-2021-2022.pdf

4 páginas

He publicado nuevos examenes de 1º Estructuras Discretas: Examen-Laboratorio-Tema-1-2021-2022.pdf

4 páginas

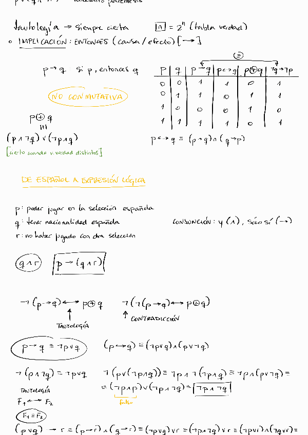
Apuntes con ejemplos del tema 1

6 páginas

He publicado nuevos apuntes de 1º Estructuras Discretas: EEDDTema6-1.pptx

Miniatura no disponible
powerpoint

He publicado nuevos apuntes de 1º Estructuras Discretas: EEDDTema5.pdf

138 páginas

He publicado nuevos apuntes de 1º Estructuras Discretas: EEDDTema2.pdf

107 páginas

He publicado nuevos ejercicios de 1º Estructuras Discretas: VariosPEI2.pdf

1 página

examenes

-

ESTRUCTURAS DISCRET 2020

He publicado nuevos examenes de 1º Estructuras Discretas: ESTRUCTURAS DISCRET 2020

T3-examen-3.jpg
T2-examen-1.jpg
T2-cuadrocombinatoria.pdf
T1-examen-4.jpg
T1-EJ244Tema1.pdf
T1-conectivosbinarios3.pdf

He publicado nuevos apuntes de 1º Estructuras Discretas: Apuntes-Temas-4-5-y-6.pdf

37 páginas

He publicado nuevos apuntes de 1º Estructuras Discretas: Apuntes-Temas-1-2-y-3.pdf

18 páginas

examenes

-

Estructuras Discretas

He publicado nuevos examenes de 1º Estructuras Discretas: Estructuras Discretas

GICEstructurasDiscretas2015Mayo19.pdf
Estructuras-Discretas-junio-2013.pdf
Estructuras-Discretas-12-13-Bloque-1.pdf
GICEstructurasDiscretas2018Junio28.pdf
Mayo-2014-GIC-Discretas.pdf
Mayo-2013-GIC-Bloque-2.pdf

examenes

-

EXAMENES UAH

He publicado nuevos examenes de 1º Estructuras Discretas: EXAMENES UAH

EDiscretas Junio 14.pdf
Estructuras Discretas (Informática) 12-13 Bloque 1 Mañana.pdf
B1_19_marzo_2018.pdf
B1_19_marzo_2018_solucion.pdf
B2_15_mayo.pdf
Estructuras Discretas 12-13 Bloque 1.pdf

apuntes

-

Estructuras Discretas - Teoría

He publicado nuevos apuntes de 1º Estructuras Discretas: Estructuras Discretas - Teoría

Arboles.pdf
arbol binario (1).pdf
arbol binario.pdf
Dijkstra(1).pdf
Combinatoria.pdf
Algoritmo de Prim.pdf
¡Estás al día!

¡Estás al día!

Has visto todos los archivos