Experimentación en Química Física II

chevron_left
chevron_right
Todo
Apuntes
chevron_left
chevron_right

He publicado nuevos apuntes de 4º Experimentación en Química Física II: Experimento-4.-Adsorcion.pdf

8 páginas

He publicado nuevos apuntes de 4º Experimentación en Química Física II: Experimento-3.-Cinetica.pdf

15 páginas

He publicado nuevos apuntes de 4º Experimentación en Química Física II: Experimento-2.-Espectroscopia.pdf

15 páginas

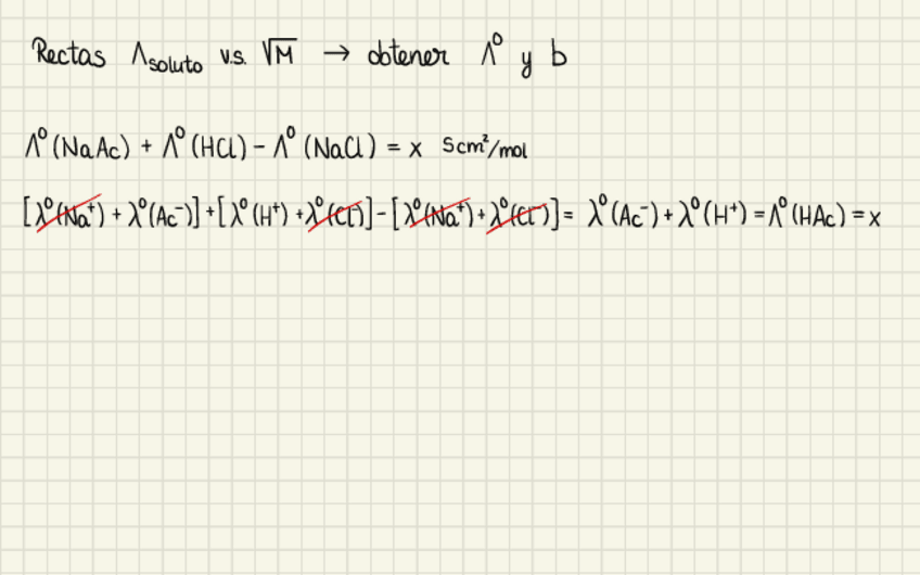
He publicado nuevos apuntes de 4º Experimentación en Química Física II: Experimento-1.-Conductividad.pdf

11 páginas

He publicado nuevos apuntes de 4º Experimentación en Química Física II: Demostraciones-EQFII.pdf

6 páginas
¡Estás al día!

¡Estás al día!

Has visto todos los archivos