Expresión Gráfica y Diseño Asistido

chevron_left
chevron_right
Todo
Apuntes
Ejercicios
Exámenes
Prácticas
Test
chevron_left
chevron_right

Ejercicios de clase de problemas resueltos .

2 páginas

Ejercicios de clase de problemas resueltos .

1 página

Ejercicios de clase de problemas resueltos .

2 páginas

apuntes

-

Soluciones cuadernillo Expresión Gráfica

He publicado nuevos apuntes de 1º Expresión Gráfica y Diseño Asistido: Soluciones cuadernillo Expresión Gráfica

11-Axonometrico-resuelto.pdf
8.2-Soluciones-Hexaedros.pdf
0Soluciones.pdf
5Soluciones.pdf
8.1SolucionesTetraedros.pdf
solucion-8.3-poliedros.pdf

He publicado nuevos apuntes de 1º Expresión Gráfica y Diseño Asistido: Ejercicios-diedrico.pdf

93 páginas

apuntes

-

Dibujo Tecnico

He publicado nuevos apuntes de 1º Expresión Gráfica y Diseño Asistido: Dibujo Tecnico

interseccion-de-dos-primas-oblicuos-.pdf
Interseccion-dos-piramides.pdf

He publicado nuevos examenes de 1º Expresión Gráfica y Diseño Asistido: EXAMEN-20-21-RESUELTO.pdf

6 páginas

He publicado nuevos apuntes de 1º Expresión Gráfica y Diseño Asistido: Apuntes-normalizacion.pdf

25 páginas

He publicado nuevos apuntes de 1º Expresión Gráfica y Diseño Asistido: Diedrico001.pdf

64 páginas

He publicado nuevos examenes de 1º Expresión Gráfica y Diseño Asistido: EXAMEN-RESUELTO-2021.pdf

6 páginas

ejercicios

-

Ejercicios entregables

He publicado nuevos ejercicios de 1º Expresión Gráfica y Diseño Asistido: Ejercicios entregables

entregable-3.pdf
entregable-2.pdf
entregable-4.pdf

practicas

-

Práctica 1 Expresión Gráfica

He publicado nuevos practicas de 1º Expresión Gráfica y Diseño Asistido: Práctica 1 Expresión Gráfica

Enunciado-P1GIM.pdf
SolucionP1.pdf

practicas

-

Práctica 5 Expresión Gráfica

He publicado nuevos practicas de 1º Expresión Gráfica y Diseño Asistido: Práctica 5 Expresión Gráfica

P5-enunciado.pdf
SolucionP5.pdf

practicas

-

Práctica 4 Expresión Gráfica

He publicado nuevos practicas de 1º Expresión Gráfica y Diseño Asistido: Práctica 4 Expresión Gráfica

P4Enunciado.pdf
solucionP4.pdf

practicas

-

Práctica 3 Expresión Gráfica

He publicado nuevos practicas de 1º Expresión Gráfica y Diseño Asistido: Práctica 3 Expresión Gráfica

Enunciado-P3GIM.pdf
P3Enunciadografico.pdf
SolucionP3.pdf

practicas

-

Práctica 2 Expresión Gráfica

He publicado nuevos practicas de 1º Expresión Gráfica y Diseño Asistido: Práctica 2 Expresión Gráfica

EnunciadograficoP2.pdf
Enunciado-P2GIM.pdf
SolucionP2.pdf
Anónimo

@Anónimo

examenes

-

Colección de exámenes resueltos

He publicado nuevos examenes de 1º Expresión Gráfica y Diseño Asistido: Colección de exámenes resueltos

Solucion-Poliedro.pdf
Enunciado-poliedro-2.pdf
Solucion-topografico.pdf
Solucion-camino.pdf
Enunciado-camino.pdf
Enunciado-Poliedro.pdf
Anónimo

@Anónimo

apuntes

-

Prácticas de clase resueltas

He publicado nuevos apuntes de 1º Expresión Gráfica y Diseño Asistido: Prácticas de clase resueltas

P2-Solucion.pdf
P9-Solucion1.pdf
P8a-Solucion.pdf
P6-Solucion.pdf
P1-Solucion.pdf
P5-Solucion.pdf

ejercicios

-

Ejercicios diédrico

He publicado nuevos ejercicios de 1º Expresión Gráfica y Diseño Asistido: Ejercicios diédrico

representacion-de-cuerpos.pdf
cambio-de-plano.pdf
abatimiento.pdf
giros.pdf
seccion.pdf
distancia.pdf

apuntes

-

Teoría y láminas resueltas

He publicado nuevos apuntes de 1º Expresión Gráfica y Diseño Asistido: Teoría y láminas resueltas

resumen-expresion-.pdf
laminas-resueltoas.pdf

apuntes

-

Diédrico Sola TODOS NUEVOS 2019

He publicado nuevos apuntes de 1º Expresión Gráfica y Diseño Asistido: Diédrico Sola TODOS NUEVOS 2019

img070.pdf
img073.pdf
img071.pdf
img074.pdf
img072.pdf
img075.pdf

apuntes

-

APUNTES Y FORMATOS BIEN

He publicado nuevos apuntes de 1º Expresión Gráfica y Diseño Asistido: APUNTES Y FORMATOS BIEN

practica1.pdf
Acotacion.zip
FORMATO-A4.pdf
FORMATO-A3.pdf

He publicado nuevos examenes de 1º Expresión Gráfica y Diseño Asistido: 20190519(1).pdf

18 páginas

He publicado nuevos apuntes de 1º Expresión Gráfica y Diseño Asistido: 20190519(1).pdf

18 páginas

He publicado nuevos apuntes de 1º Expresión Gráfica y Diseño Asistido

https://www.10endibujo.com/tag/sistema-diedrico-2/

apuntes

-

TEORÍA EXPRESIÓN GRAFICA

He publicado nuevos apuntes de 1º Expresión Gráfica y Diseño Asistido: TEORÍA EXPRESIÓN GRAFICA

TEMA 1-REPRESENTACIÓN DE VISTAS.pdf
TEMA 2-FUNDAMENTOS DE LA NORMALIZACIÓN.pdf
TEMA 3-ESCALAS.pdf
TEMA 4-CORTES-SECCIONES Y ROTURA.pdf
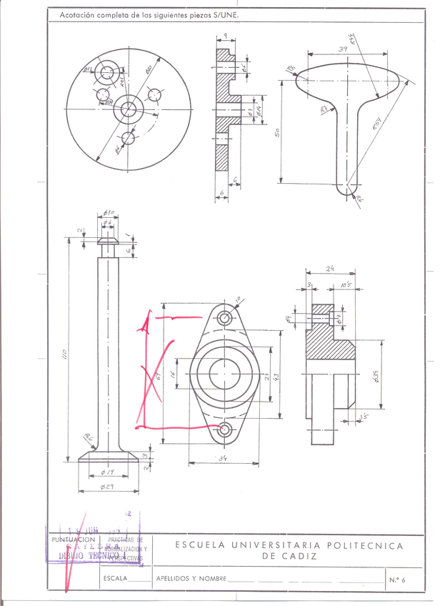
TEMA 5-ACOTACIÓN.pdf
TEMA 6-ROSCAS.pdf
Anónimo

@Anónimo

Control tema 2

1 página

He publicado nuevos apuntes de 1º Expresión Gráfica y Diseño Asistido: Explorar0003.jpg

Imagen

He publicado nuevos apuntes de 1º Expresión Gráfica y Diseño Asistido: Explorar0002.jpg

Imagen

He publicado nuevos apuntes de 1º Expresión Gráfica y Diseño Asistido: Explorar0009.jpg

Imagen

He publicado nuevos apuntes de 1º Expresión Gráfica y Diseño Asistido: Lámina 2.jpg

Imagen

He publicado nuevos apuntes de 1º Expresión Gráfica y Diseño Asistido: Lámina 4.jpg

Imagen

He publicado nuevos apuntes de 1º Expresión Gráfica y Diseño Asistido: Explorar0007.jpg

Imagen

He publicado nuevos apuntes de 1º Expresión Gráfica y Diseño Asistido: Explorar0009.jpg

Imagen

He publicado nuevos apuntes de 1º Expresión Gráfica y Diseño Asistido: Explorar0006.jpg

Imagen

He publicado nuevos apuntes de 1º Expresión Gráfica y Diseño Asistido: Explorar0007.jpg

Imagen

He publicado nuevos apuntes de 1º Expresión Gráfica y Diseño Asistido: Explorar0008.jpg

Imagen

He publicado nuevos apuntes de 1º Expresión Gráfica y Diseño Asistido: Explorar0004.jpg

Imagen

He publicado nuevos apuntes de 1º Expresión Gráfica y Diseño Asistido: Lámina 5.jpg

Imagen

He publicado nuevos apuntes de 1º Expresión Gráfica y Diseño Asistido: Lámina 06.jpg

Imagen

He publicado nuevos apuntes de 1º Expresión Gráfica y Diseño Asistido: Explorar0008.jpg

Imagen

He publicado nuevos apuntes de 1º Expresión Gráfica y Diseño Asistido: Explorar0010.jpg

Imagen

He publicado nuevos apuntes de 1º Expresión Gráfica y Diseño Asistido: Lámina 1.jpg

Imagen

He publicado nuevos apuntes de 1º Expresión Gráfica y Diseño Asistido: Lámina 3.jpg

Imagen

He publicado nuevos apuntes de 1º Expresión Gráfica y Diseño Asistido: Explorar0010.jpg

Imagen

He publicado nuevos apuntes de 1º Expresión Gráfica y Diseño Asistido: Explorar0001.jpg

Imagen

He publicado nuevos apuntes de 1º Expresión Gráfica y Diseño Asistido: Explorar0005.jpg

Imagen

He publicado nuevos apuntes de 1º Expresión Gráfica y Diseño Asistido: Ejercicios resueltos.pdf

24 páginas
¡Estás al día!

¡Estás al día!

Has visto todos los archivos