Farmacognosia y Fitoterapia

Todo
Apuntes
Ejercicios
Exámenes
Prácticas
publication
Test
Trabajos
chevron_left
chevron_right

apuntes

-

RESÚMENES COMPLETOS FARMACOGNOSIA Y FITOTERAPIA 2025-2026

He publicado nuevos apuntes de 4º Farmacognosia y Fitoterapia: RESÚMENES COMPLETOS FARMACOGNOSIA Y FITOTERAPIA 2025-2026

TEMA-1-CONCEPTOS-GENERALES-E-HISTORIA-DE-LA-FARMACOGNOSIA.pdf
TEMA-2-OBTENCION-Y-CONSERVACION-DE-DROGAS.pdf
TEMA-3-BASES-ANALITICAS-PARA-CONTROL-DE-IDENTIDAD-Y-CALIDAD.pdf
TEMA-4-EXTRACCION-DE-PRINCIPIOS-ACTIVOS.pdf
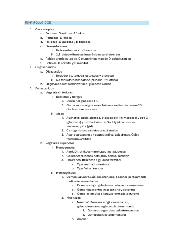
TEMA-5-GLUCIDOS.pdf
TEMA-6-LIPIDOS-Y-COMPUESTOS-NITROGENADOS.pdf

apuntes

-

APUNTES GNOSIA PRIMER CUATRI

Iré subiendo los temas según los den en clase.

TEMA-1.pdf
TEMA-2.pdf
TEMA-3.pdf
TEMA-4.pdf
TEMA-6.pdf
TEMA-7.pdf

apuntes

-

APUNTES GNOSIA PATRICIA Y KARLA (LOS IRÉ SUBIENDO)

He publicado nuevos apuntes de 4º Farmacognosia y Fitoterapia: APUNTES GNOSIA PATRICIA Y KARLA (LOS IRÉ SUBIENDO)

GNOSIATEMA1.pdf
GNOSIATEMA2.pdf
GNOSIATEMA3.pdf
GNOSIATEMA4.pdf
GNOSIATEMA5.pdf
GNOSIATEMA6.pdf

apuntes

-

Farmacognosia B1 (25/26)

He publicado nuevos apuntes de 4º Farmacognosia y Fitoterapia: Farmacognosia B1 (25/26)

T1.-Introduccion-a-la-Farmacognosia-y-Fitoterapia.pdf
T2.-Obtencion-y-Conservacion-de-Drogas.pdf
T3.-Bases-para-los-Controles-de-Calidad.pdf
T4.-Extraccion-de-Principios-Activos.pdf
T5.-Glucidos.pdf
T6.-Otros-Compuestos-del-Metabolismo-Primario.pdf

apuntes

-

Apuntes 1º cuatri

He publicado nuevos apuntes de 4º Farmacognosia y Fitoterapia: Apuntes 1º cuatri

TEMA-1.-Conceptos-generales-e-historia-de-la-farmacognosia-copia.pdf
TEMA-2.-Obtencion-y-conservacion-de-drogas-copia.pdf
TEMA-3.-Bases-analiticas-para-el-control-de-identidad-y-calidad-de-las-drogas-copia-copia.pdf
TEMA-4.-Metodos-de-extraccion-de-principios-activos-copia.pdf
TEMA-5.-Glucidos.pdf
TEMA-6.-Lipidos-y-compuestos-nitrogenados.pdf

apuntes

-

Apuntes completos Farmacognosia

Pertenecen a Turbocuranina pero están editados y mejorados.

Tema-1.-Conceptos-generales-Alba.pdf
Tema-2.-Obtencion-y-conservacion-de-drogas-Alba.pdf
Tema-3.-Bases-analiticas-para-el-control-de-identidad-y-calidad-Alba.pdf
Tema-4.-Extraccion-de-PA-ALBA.pdf
Tema-5.-Glucidos-Alba.pdf
Tema-6.-Otros-compuestos-del-metabolismo-primario-Alba.pdf

apuntes

-

Farmacognosia

He publicado nuevos apuntes de 4º Farmacognosia y Fitoterapia: Farmacognosia

TEMA-1-GNOSIA.pdf
TEMA-2-GNOSIA.pdf
TEMA-3-GNOSIA.pdf
TEMA-4-GNOSIA.pdf
TEMA-5-GNOSIA.pdf
TEMA-6-GNOSIA.pdf

apuntes

-

Apuntes completos B

He publicado nuevos apuntes de 4º Farmacognosia y Fitoterapia: Apuntes completos B

T4.pdf
T6.pdf
T1.pdf
T5.pdf
T3.pdf
T2.pdf

He publicado nuevos apuntes de 4º Farmacognosia y Fitoterapia: Bateria-preguntas-test.pdf

36 páginas

apuntes

-

APUNTES FARMACOGNOSIA Y FITOTERAPIA A1

He publicado nuevos apuntes de 4º Farmacognosia y Fitoterapia: APUNTES FARMACOGNOSIA Y FITOTERAPIA A1

TEMA-1.-CONCEPTOS-BASICOS.pdf
TEMA-2.-OBTENCION-Y-CONSERVACION-DE-DROGAS.pdf
TEMA-3.-BASES-ANALITICAS-Y-CALIDAD-DE-DROGAS.pdf
TEMA-4.-EXTRACCION-DE-PRINCIPIOS-ACTIVOS.pdf
TEMA-6.-GLUCIDOS.pdf
TEMA-6.-LIPIDOS-COMPUESTOS-NITROGENADOS-Y-AZUFRADOS.pdf

alguien sabe apuntes para pilar gómez serranillos y victoria naval?

ejercicios

-

SEMINARIOS RESUELTOS

He publicado nuevos ejercicios de 4º Farmacognosia y Fitoterapia: SEMINARIOS RESUELTOS

SEMINARIO-1-RESUELTO.pdf

apuntes

-

Gnosia Marta y Jose Antonio

Están todos los temas de metabolitos secundarios y todas las plantas (desde el 16 al 41) tanto de Marta como de Jose. El resto de temas no los hice porque no eran importantes

Tema-7-y-8.-Terpenos.pdf
Tema-9.-Compuestos-fenolicos.pdf
Tema-10.-Quinonas-naftoquinonas-antraquinonas.pdf
Tema-11-12-13.-Alcaloides.pdf
Tema-16.-Drogas-que-actuan-en-el-parasimpatico.pdf
Tema-17.-Drogas-que-actuan-en-el-simpatico.pdf

He publicado nuevos apuntes de 4º Farmacognosia y Fitoterapia: TABLAS-GNOSIA-2o-CUATRI.pdf

7 páginas

He publicado nuevos apuntes de 4º Farmacognosia y Fitoterapia: TABLAS-2o-PARCIAL.pdf

34 páginas

He publicado nuevos apuntes de 4º Farmacognosia y Fitoterapia: TABLAS-1er-PARCIAL.pdf

24 páginas

apuntes

-

2o PARCIAL GNOSIA

muy completos

TEMA-19-GNOSIA.pdf
TEMA-20-GNOSIA.pdf
TEMA-21-GNOSIA.pdf
TEMA-22-GNOSIA.pdf
TEMA-24-GNOSIA.pdf
TEMA-25-GNOSIA.pdf

apuntes

-

1er PARCIAL GNOSIA

Muy completos

TEMA-1-GNOSIA.pdf
TEMA-2-GNOSIA.pdf
TEMA-3-GNOSIA.pdf
TEMA-4-GNOSIA.pdf
TEMA-5-GNOSIA.pdf
TEMA-6-GNOSIA.pdf

Recopilación de preguntas test por temas. Incluye autoevaluación del segundo parcial.

9 páginas

He publicado nuevos examenes de 4º Farmacognosia y Fitoterapia: AUTOEVALUACION PRIMER PARCIAL.pdf

3 páginas

He publicado nuevos apuntes de 4º Farmacognosia y Fitoterapia: resumen-por-temas-1er-parcial.pdf

10 páginas

He publicado nuevos apuntes de 4º Farmacognosia y Fitoterapia: resumen--por-tema-2ndo-parcial.pdf

12 páginas

He publicado nuevos apuntes de 4º Farmacognosia y Fitoterapia: TABLAS-SISTEMA-NERVIOSO-TEMAS-19-22.pdf

13 páginas

apuntes

-

Apuntes y tablas 2º cuatrimestre

He publicado nuevos apuntes de 4º Farmacognosia y Fitoterapia: Apuntes y tablas 2º cuatrimestre

Tema-20-Estimulantes-de-predominio-cortical.pdf
Tema-19-Sedantes-y-ansioliticas.-Antidepresivas.pdf
Tema-22-Con-principios-alucinogenos.pdf
Tema-23-Drogas-hipoanalgesicas.pdf
Tema-24-Actividad-analgesica-antipiretica.pdf
Tema-25-Drogas-con-actividad-antiinflamatoria.pdf