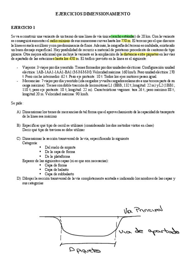
Todo
Apuntes
Ejercicios
Exámenes
Otros
Prácticas
chevron_left
chevron_right

practicas

-

Prácticas Ferrocarriles

He publicado nuevos practicas de 4º Ferrocarriles: Prácticas Ferrocarriles

Entregas de Clase.pdf
Formularios de las Prácticas de Ferrocarriles.pdf

apuntes

-

Teoría Ferrocarriles

He publicado nuevos apuntes de 4º Ferrocarriles: Teoría Ferrocarriles

1. Introducción.pdf
2. La Vía Ferroviaria.pdf
3. Material Movil.pdf
4. Tracción Ferroviaria.pdf
5. Traviesas.pdf
6. El Carril.pdf

Ejercicio de perfil longitudinal

2 páginas

He publicado nuevos examenes de 4º Ferrocarriles: Ejercicios-barra-larga-soldada.pdf

12 páginas

He publicado nuevos examenes de 4º Ferrocarriles: ejercicios-traccion.pdf

8 páginas

He publicado nuevos examenes de 4º Ferrocarriles: ejercicio-examen-perfil-longitudinal.pdf

4 páginas

He publicado nuevos examenes de 4º Ferrocarriles: Ejercicios-dimensionamiento.pdf

15 páginas

He publicado nuevos apuntes de 4º Ferrocarriles: Recopilacion-preguntas-tipo-test.pdf

13 páginas

He publicado nuevos apuntes de 4º Ferrocarriles: PROBLEMAS-VBLS-COMPLETOS.pdf

24 páginas

He publicado nuevos apuntes de 4º Ferrocarriles: PROBLEMAS-TRACCION-All.pdf

40 páginas

He publicado nuevos apuntes de 4º Ferrocarriles: Problemas-Dimensionamiento.pdf

26 páginas

He publicado nuevos apuntes de 4º Ferrocarriles: 123-Preguntas-EXAMEN.pdf

8 páginas

He publicado nuevos examenes de 4º Ferrocarriles: TEST-FERROCARRILESexamenes.pdf

6 páginas

He publicado nuevos apuntes de 4º Ferrocarriles: Preguntas-Test-con-Respuestas.pdf

4 páginas

He publicado nuevos apuntes de 4º Ferrocarriles: Resumen-tema-6-control-de-trafico.pdf

6 páginas

He publicado nuevos apuntes de 4º Ferrocarriles: T5-resumen-Continuidad-de-la-Via.pdf

6 páginas

He publicado nuevos apuntes de 4º Ferrocarriles: Tema-4-ResumenApuntes.pdf

2 páginas

He publicado nuevos apuntes de 4º Ferrocarriles: Tema-3-Resumen--Apuntes.pdf

8 páginas

He publicado nuevos apuntes de 4º Ferrocarriles: Tema-2-resumen-y-aclaraciones.pdf

4 páginas

apuntes

-

Problemas Resueltos- Continuidad de Vias VBLS

He publicado nuevos apuntes de 4º Ferrocarriles: Problemas Resueltos- Continuidad de Vias VBLS

2practica-VBLS-ad-2020-21.pdf
VBLS-gatos.pdf

apuntes

-

Problemas Dimensionamientos- RESUELTOS

He publicado nuevos apuntes de 4º Ferrocarriles: Problemas Dimensionamientos- RESUELTOS

EJERCICIO-1-DIMENSIONAMIENTO.pdf
P2-Dimensionamiento.pdf
Ejercicio-3-Dimensionamiento.pdf
Ejercicio-4-Dimensionamiento.pdf

Tambien con Apuntes de clases que preguntará en el examen

8 páginas

apuntes

-

BLS

He publicado nuevos apuntes de 4º Ferrocarriles: BLS

VBLS-Resumen.pdf
Ferro-BLS-Resumen.pdf
Anónimo

@Anónimo

He publicado nuevos apuntes de 4º Ferrocarriles: Prueba-traccion-2023.pdf

2 páginas

apuntes

-

Problemas Tracción RESUELTOS

He publicado nuevos apuntes de 4º Ferrocarriles: Problemas Tracción RESUELTOS

practica-traccion-2.pdf
practica-traccion-3.pdf
practica-traccion-1.pdf

He publicado nuevos otros de 4º Ferrocarriles: TAREA-N-02-Organizador-Visual-Indicadores-economicos-y-sociales.pdf

2 páginas

He publicado nuevos otros de 4º Ferrocarriles: TAREA-N-01-Organizador-Visual-Antecedentes-Historicos.pdf

2 páginas

He publicado nuevos otros de 4º Ferrocarriles: Antecedentes-Historicos-Peru.pdf

1 página
Anónimo

@Anónimo

apuntes

-

Ejercicios Examen

He publicado nuevos apuntes de 4º Ferrocarriles: Ejercicios Examen

Problema-VBLS-.pdf
problemaBLS.pdf
05practicatraccioni.pdf
practicatraccionn.pdf
Formulas-.pdf
042practicatraccionv.pdf
Anónimo

@Anónimo

He publicado nuevos apuntes de 4º Ferrocarriles: EJERCICIOS-DIMENSIONAMIENTO.pdf

12 páginas
Anónimo

@Anónimo

ejercicios

-

Ejercicios resueltos

He publicado nuevos ejercicios de 4º Ferrocarriles: Ejercicios resueltos

Ejercicio-dimensionamiento-resuelto.pdf
Ejercicio-carril-resuelto.pdf

He publicado nuevos apuntes de 4º Ferrocarriles: RECOPILACION-TEST-FFC.pdf

22 páginas

He publicado nuevos examenes de 4º Ferrocarriles: Parcial-Teoria-Tipo-Test.pdf

6 páginas

examenes

-

Exámen_Junio_2020

He publicado nuevos examenes de 4º Ferrocarriles: Exámen_Junio_2020

Ejerciciorestotemariojun2020.pdf
final-junio-2020.pdf

apuntes

-

Exámenes_2020

He publicado nuevos apuntes de 4º Ferrocarriles: Exámenes_2020

ejerciciorestotemario.pdf
final-julio-2020.pdf

apuntes

-

FERROCARRILES COMPLETO

He publicado nuevos apuntes de 4º Ferrocarriles: FERROCARRILES COMPLETO

RESUMEN-COMPLETO-TEMARIO.pdf
APUNTES-PARA-TRAZADO.pdf
Ejercicios-CARRIL-Y-DIMENSIONAMIENTO-.pdf
EJERCICIO-BARRA-LRGA-SOLDADA.pdf
Ejercicios-TRAZADO-.pdf
EJERCICIOS-TRACCION-.pdf

He publicado nuevos apuntes de 4º Ferrocarriles: Notas-sobre-Video-Caminos-del-Hierro.pdf

8 páginas

apuntes

-

Apuntes Ferrocarriles Granada

He publicado nuevos apuntes de 4º Ferrocarriles: Apuntes Ferrocarriles Granada

Resumen-FFCC-por-tema-y-carilla.pdf
Preguntas-Kahoot-FFCC-Patxi.pdf
Notas-sobre-Video-Caminos-del-Hierro.pdf

He publicado nuevos apuntes de 4º Ferrocarriles: Preguntas-Kahoot-FFCC-Patxi.pdf

5 páginas

ejercicios

-

Prácticas

He publicado nuevos ejercicios de 4º Ferrocarriles: Prácticas

Ejercicio-alzado.pdf
Ejercicio-curvas-de-transicion.pdf
Practica-dimensionamiento-.pdf
Traccion-2.pdf
VBLScurva.pdf
Traccion-3.pdf

He publicado nuevos apuntes de 4º Ferrocarriles: Resumen-Historia-del-ferrocarril-en-Espana.pdf

10 páginas

apuntes

-

Resúmenes Libro

He publicado nuevos apuntes de 4º Ferrocarriles: Resúmenes Libro

Tema-11.pdf
Tema-9.pdf
Tema-0.pdf
Tema-4.pdf
Tema-3.pdf
Tema-1.pdf

He publicado nuevos apuntes de 4º Ferrocarriles: Resumen-ferrocarriles.pdf

10 páginas

apuntes

-

Resumenes BLS, traccion y trazado

He publicado nuevos apuntes de 4º Ferrocarriles: Resumenes BLS, traccion y trazado

resumen-BLS.pdf
resumen-Trazado.pdf
resumen-traccion.pdf
trazado-2019.pdf

apuntes

-

RESUMEN POR TEMAS LIBRO TEORIA

He publicado nuevos apuntes de 4º Ferrocarriles: RESUMEN POR TEMAS LIBRO TEORIA

TEMA-X.-CONTROL-DEL-TRAuFICO-FERROVIARIO.pdf
TEMA-XIII.SERVICIOS-DE-TRANSPORTE-FERROV.-EN-ESPANaA.pdf
TEMA-V.-LAS-TRAVIESAS.pdf
TEMA-III.-LA-VIuA-FERROVIARIA.pdf
TEMA-I.-INTRODUCCIOuN-and-DOCUMENTAL.pdf
TEMA-XI.-MATERIAL-MOuVIL.pdf

examenes

-

EXAMENES RESUELTOS TRACCIÓN

He publicado nuevos examenes de 4º Ferrocarriles: EXAMENES RESUELTOS TRACCIÓN

RESUELTO2018junio.traccion.pdf
FORMULARIO-TRACCION.pdf
Desgaste.2012traccionRESUELTO.pdf
RESUELTOTraccv80nsept-2015Y-FEB2016.pdf
RESUELTOSept-06-TraccautomotovAlternativo.pdf
RESUELTOsept-2006.pdf

ejercicios

-

DIMENSIONAMIENTO

He publicado nuevos ejercicios de 4º Ferrocarriles: DIMENSIONAMIENTO

RELACION-RESUELTA-DIMENSIONAMIENTO.pdf
RESUMEN-DIM.pdf

examenes

-

Exámenes BLS resueltos

He publicado nuevos examenes de 4º Ferrocarriles: Exámenes BLS resueltos

BLS2017junioResuelto.pdf
Resueltojunio2015.pdf
Resueltofebrero2012.pdf
2018junioResuelto.pdf
Resuelto31.02.2011.pdf
RESUMEN-BLS.pdf

examenes

-

Exámenes Trazado Resueltos

He publicado nuevos examenes de 4º Ferrocarriles: Exámenes Trazado Resueltos

RESUELTOexaamentrazado2005.pdf
Resumen-trazado-.pdf
examen-resuelto.pdf
Acuerdostrazado2018-RESUELTO.pdf
RESUELTO2012trazado.pdf
resuelto2015trazado.pdf

He publicado nuevos apuntes de 4º Ferrocarriles: tipo-test-2018.pdf

3 páginas

apuntes

-

APUNTES DE CLASE POR TEMAS (CON KAHOOTS)

He publicado nuevos apuntes de 4º Ferrocarriles: APUNTES DE CLASE POR TEMAS (CON KAHOOTS)

CAP-IV.-EL-CARRIL.pdf
IX.-APARATOS-DE-VIA.pdf
CAP-X.TRAFICO.pdf
CAP-XII.TRACCION.pdf
CAPITULO-III..pdf
CAP-XI.-MATERIAL-MOVIL.pdf

He publicado nuevos examenes de 4º Ferrocarriles: Escaneado_ 20190516-1443.pdf

1 página

examenes

-

Tipo Test y Exámenes

He publicado nuevos examenes de 4º Ferrocarriles: Tipo Test y Exámenes

Examenes.pdf
tipo test.pdf

ejercicios

-

Problemas

He publicado nuevos ejercicios de 4º Ferrocarriles: Problemas

dimensionamiento_2.pdf
comportamiento_mecanico_2.pdf
tracción_1.pdf
dimensionamiento_4.pdf
tracción_3.pdf
comportamiento_mecanico_1.pdf

examenes

-

Exámenes teóricos y prácticos

He publicado nuevos examenes de 4º Ferrocarriles: Exámenes teóricos y prácticos

examenes tipo test_ ferro.pdf
examenes_ problemas_ferro.pdf
examenes_lorente_ferro.pdf

He publicado nuevos apuntes de 4º Ferrocarriles: teoria ferrocarriles.pdf

18 páginas

ejercicios

-

Ejercicios_ferrocarriles

He publicado nuevos ejercicios de 4º Ferrocarriles: Ejercicios_ferrocarriles

ejercicios ferrocarriles.pdf
problemas_ferro_lorente.pdf

examenes

-

Examenes de Trazado (Extraordinaria)

He publicado nuevos examenes de 4º Ferrocarriles: Examenes de Trazado (Extraordinaria)

Sep2011.pdf
sept2003.pdf
sept2004.pdf
sept2005.pdf
sept2007.pdf
sept2008.pdf

apuntes

-

EJERCICIOS DE CLASE

He publicado nuevos apuntes de 4º Ferrocarriles: EJERCICIOS DE CLASE

ACUERDOS VERTICALES.pdf
Ejercicio de comportamiento mecanico de la via .pdf
EJERCICIO VÍA EN BARRA LARGA SOLDADA.pdf
ENTREGA DIMENSIONAMIENTO 1.pdf
ENTREGA EJERCICIO ACUERDOS VERTICALES.pdf
ENTREGA MAPAS1.pdf

He publicado nuevos examenes de 4º Ferrocarriles: tracción_092015.pdf

3 páginas