Todo
Apuntes
Trabajos
chevron_left
chevron_right

He publicado nuevos trabajos de 1º Física aplicada a la Ingeniería Aeroespacial: Fuerza-Centrifuga.pdf

8 páginas

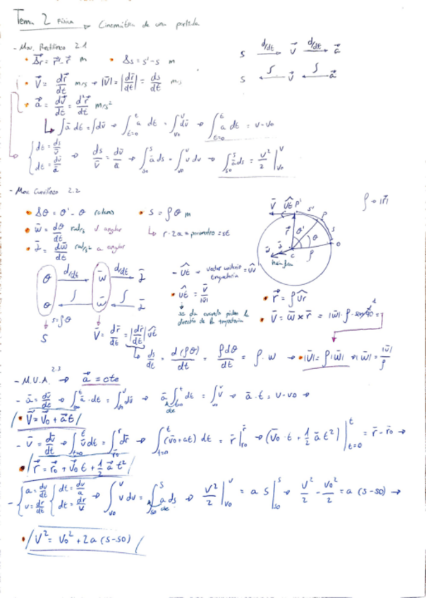
He publicado nuevos apuntes de 1º Física aplicada a la Ingeniería Aeroespacial: Resumen-Tema-2.pdf

2 páginas

He publicado nuevos apuntes de 1º Física aplicada a la Ingeniería Aeroespacial: SolucionTema3-1.pdf

9 páginas

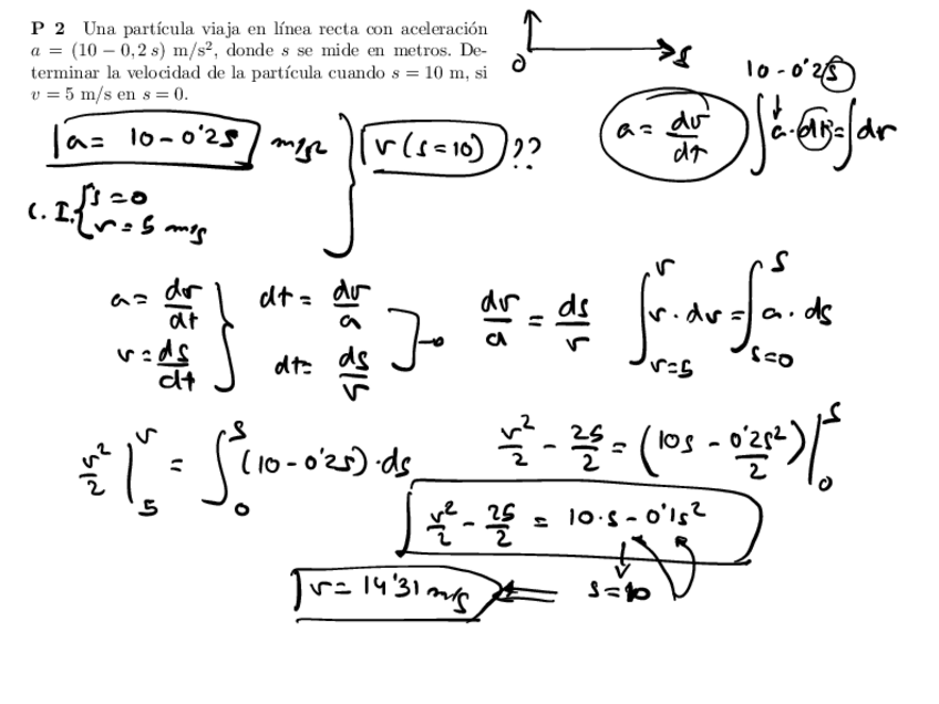
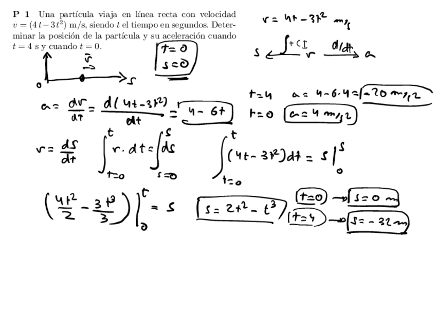
He publicado nuevos apuntes de 1º Física aplicada a la Ingeniería Aeroespacial: SolucionTema2-1.pdf

13 páginas

He publicado nuevos apuntes de 1º Física aplicada a la Ingeniería Aeroespacial: Practica-Fisica.pdf

26 páginas
¡Estás al día!

¡Estás al día!

Has visto todos los archivos