Fisica Aplicada e Fisico-Quimica I
He subido tests específicos de Matemáticas a proxus.es. Son geniales para practicar lo que más os cueste, y con IA se adaptan perfecto. Probadlos!
Resumen de los temas de 1er, 2º y 3er principios de la termodinámica, útil para teoría y sobre todo para problemas. Curso 2024-25 (grupo A - Bujan).
Boletín 3, FQ I. Primer ppio de la termodinámica. Grupo B
Boletín 2. Tema 2. Físico química I. Grupo A
Boletín 1. Tema 1 Fisco Química I. Están hechos y corregidos los boletines de los grupos A, B y C
He publicado nuevos examenes de 1º Fisica Aplicada e Fisico-Quimica I: Ultimo-parcial-tipo-test.pdf
He publicado nuevos ejercicios de 1º Fisica Aplicada e Fisico-Quimica I: boletin-9-grupo-b-2425.pdf
He publicado nuevos ejercicios de 1º Fisica Aplicada e Fisico-Quimica I: boletin-3-grupo-b-2425.pdf
He publicado nuevos ejercicios de 1º Fisica Aplicada e Fisico-Quimica I: boletin-5-grupo-b-2425.pdf
He publicado nuevos ejercicios de 1º Fisica Aplicada e Fisico-Quimica I: boletin-2-grupo-b-2425.pdf
He publicado nuevos ejercicios de 1º Fisica Aplicada e Fisico-Quimica I: boletin-4-grupo-b-2425.pdf
He publicado nuevos ejercicios de 1º Fisica Aplicada e Fisico-Quimica I: boletin-7-grupo-b-2425.pdf
He publicado nuevos ejercicios de 1º Fisica Aplicada e Fisico-Quimica I: boletin-8-grupo-b-2425.pdf
He publicado nuevos ejercicios de 1º Fisica Aplicada e Fisico-Quimica I: boletin-6-grupo-b-2425.pdf
Apuntes con ejercicios resueltos y explicados ( y de años anteriores) para el examen
He publicado nuevos examenes de 1º Fisica Aplicada e Fisico-Quimica I: Parciales-problemas-T2-T3.pdf
He publicado nuevos examenes de 1º Fisica Aplicada e Fisico-Quimica I: Parciales-teoria-T1-T2.pdf
He publicado nuevos examenes de 1º Fisica Aplicada e Fisico-Quimica I: ExamenResuelto.pdf
He publicado nuevos examenes de 1º Fisica Aplicada e Fisico-Quimica I: Exámenes-FQ-I-resueltos.pdf
apuntes
-
Apuntes completos FQ I
He publicado nuevos apuntes de 1º Fisica Aplicada e Fisico-Quimica I: Apuntes completos FQ I
He publicado nuevos examenes de 1º Fisica Aplicada e Fisico-Quimica I: Examen-Extraordinaria23-24-RESUELTO IPAD.pdf
He publicado nuevos examenes de 1º Fisica Aplicada e Fisico-Quimica I: Examen-Ordinaria-23-24-RESUELTO IPAD.pdf
He publicado nuevos apuntes de 1º Fisica Aplicada e Fisico-Quimica I: Cinetica-esquema.pdf
He publicado nuevos apuntes de 1º Fisica Aplicada e Fisico-Quimica I: Espontaneidad.pdf
He publicado nuevos apuntes de 1º Fisica Aplicada e Fisico-Quimica I: Resumen-termodinamica.pdf
He publicado nuevos apuntes de 1º Fisica Aplicada e Fisico-Quimica I: F.-Intermoleculares.pdf
He publicado nuevos apuntes de 1º Fisica Aplicada e Fisico-Quimica I: examen-enero.pdf
He publicado nuevos apuntes de 1º Fisica Aplicada e Fisico-Quimica I: examen-julio.pdf
He publicado nuevos examenes de 1º Fisica Aplicada e Fisico-Quimica I: Examen enero resuelto.pdf
He publicado nuevos apuntes de 1º Fisica Aplicada e Fisico-Quimica I: Apuntes-fisicoquimica-I.pdf
ejercicios
-
Boletines resueltos Juan
He publicado nuevos ejercicios de 1º Fisica Aplicada e Fisico-Quimica I: Boletines resueltos Juan
He publicado nuevos examenes de 1º Fisica Aplicada e Fisico-Quimica I: Modelos de examenes.pdf
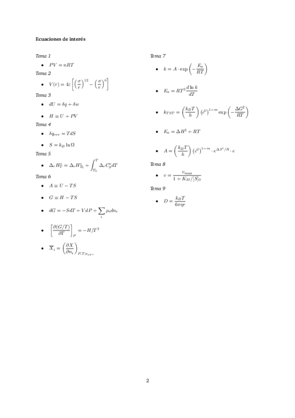
He publicado nuevos apuntes de 1º Fisica Aplicada e Fisico-Quimica I: Resumen y fórmulas físico-química I.pdf
apuntes
-
Apuntes Juan
He publicado nuevos apuntes de 1º Fisica Aplicada e Fisico-Quimica I: Apuntes Juan
apuntes
-
Fisicoquímica I (David Ferro)
He publicado nuevos apuntes de 1º Fisica Aplicada e Fisico-Quimica I: Fisicoquímica I (David Ferro)
He publicado nuevos examenes de 1º Fisica Aplicada e Fisico-Quimica I: Examen-Fisicoquimica-I-202324.pdf
apuntes
-
Resúmenes Fisicoquímica I
He publicado nuevos apuntes de 1º Fisica Aplicada e Fisico-Quimica I: Resúmenes Fisicoquímica I
He publicado nuevos apuntes de 1º Fisica Aplicada e Fisico-Quimica I: boletinT1-2.pdf
He publicado nuevos apuntes de 1º Fisica Aplicada e Fisico-Quimica I: ctesyfactoresconversion.pdf
He publicado nuevos apuntes de 1º Fisica Aplicada e Fisico-Quimica I: boletinT2-p.pdf
He publicado nuevos apuntes de 1º Fisica Aplicada e Fisico-Quimica I: boletinT2-c.pdf
He publicado nuevos apuntes de 1º Fisica Aplicada e Fisico-Quimica I: boletinT3-c.pdf
He publicado nuevos apuntes de 1º Fisica Aplicada e Fisico-Quimica I: boletinT6-p-2.pdf
He publicado nuevos apuntes de 1º Fisica Aplicada e Fisico-Quimica I: boletinT3-p.pdf
He publicado nuevos apuntes de 1º Fisica Aplicada e Fisico-Quimica I: boletinT5-p-4.pdf
He publicado nuevos apuntes de 1º Fisica Aplicada e Fisico-Quimica I: boletinT5-c.pdf
He publicado nuevos apuntes de 1º Fisica Aplicada e Fisico-Quimica I: boletinT4-c.pdf
He publicado nuevos apuntes de 1º Fisica Aplicada e Fisico-Quimica I: diaposT9.pdf
He publicado nuevos apuntes de 1º Fisica Aplicada e Fisico-Quimica I: diaposT8.pdf
He publicado nuevos apuntes de 1º Fisica Aplicada e Fisico-Quimica I: boletinT6-c.pdf
He publicado nuevos apuntes de 1º Fisica Aplicada e Fisico-Quimica I: diaposT6.pdf
He publicado nuevos apuntes de 1º Fisica Aplicada e Fisico-Quimica I: diaposT7.pdf
He publicado nuevos apuntes de 1º Fisica Aplicada e Fisico-Quimica I: diaposT3.pdf
He publicado nuevos apuntes de 1º Fisica Aplicada e Fisico-Quimica I: diaposT5.pdf
