Fisica Aplicada e Fisico-Quimica I

Todo
Apuntes
Ejercicios
Exámenes
chevron_left
chevron_right

Resumen de los temas de 1er, 2º y 3er principios de la termodinámica, útil para teoría y sobre todo para problemas. Curso 2024-25 (grupo A - Bujan).

2 páginas

Boletín Tema 4. Grupo A

10 páginas

Boletín Tema 5. FQ I. Grupo A

24 páginas

Boletín Tema 4. FQ I. Grupo C corregido

7 páginas

Boletín 3. Tema 3. FQ I. Grupo A

10 páginas

Boletín 3. Primer ppio de la termodinámica. Grupo C

7 páginas

Boletín 3, FQ I. Primer ppio de la termodinámica. Grupo B

8 páginas

Boletín 2. Tema 2. Físico química I. Grupo A

15 páginas

Boletín 1. Tema 1 Fisco Química I. Están hechos y corregidos los boletines de los grupos A, B y C

22 páginas

He publicado nuevos examenes de 1º Fisica Aplicada e Fisico-Quimica I: Ultimo-parcial-tipo-test.pdf

4 páginas

He publicado nuevos ejercicios de 1º Fisica Aplicada e Fisico-Quimica I: boletin-9-grupo-b-2425.pdf

7 páginas

He publicado nuevos ejercicios de 1º Fisica Aplicada e Fisico-Quimica I: boletin-3-grupo-b-2425.pdf

16 páginas

He publicado nuevos ejercicios de 1º Fisica Aplicada e Fisico-Quimica I: boletin-5-grupo-b-2425.pdf

8 páginas

He publicado nuevos ejercicios de 1º Fisica Aplicada e Fisico-Quimica I: boletin-2-grupo-b-2425.pdf

5 páginas

He publicado nuevos ejercicios de 1º Fisica Aplicada e Fisico-Quimica I: boletin-4-grupo-b-2425.pdf

7 páginas

He publicado nuevos ejercicios de 1º Fisica Aplicada e Fisico-Quimica I: boletin-7-grupo-b-2425.pdf

13 páginas

He publicado nuevos ejercicios de 1º Fisica Aplicada e Fisico-Quimica I: boletin-6-grupo-b-2425.pdf

9 páginas

He publicado nuevos ejercicios de 1º Fisica Aplicada e Fisico-Quimica I: boletin-8-grupo-b-2425.pdf

7 páginas

Apuntes con ejercicios resueltos y explicados ( y de años anteriores) para el examen

17 páginas

He publicado nuevos examenes de 1º Fisica Aplicada e Fisico-Quimica I: Parciales-problemas-T2-T3.pdf

2 páginas

He publicado nuevos examenes de 1º Fisica Aplicada e Fisico-Quimica I: Parciales-teoria-T1-T2.pdf

4 páginas

Resumen

5 páginas
Anónimo

@Anónimo

He publicado nuevos examenes de 1º Fisica Aplicada e Fisico-Quimica I: ExamenResuelto.pdf

6 páginas

He publicado nuevos examenes de 1º Fisica Aplicada e Fisico-Quimica I: Exámenes-FQ-I-resueltos.pdf

14 páginas

apuntes

-

Apuntes completos FQ I

He publicado nuevos apuntes de 1º Fisica Aplicada e Fisico-Quimica I: Apuntes completos FQ I

T1.pdf
T2.pdf
T2y3.pdf
T3.pdf
T4.pdf
T5.pdf

He publicado nuevos examenes de 1º Fisica Aplicada e Fisico-Quimica I: Examen-Extraordinaria23-24-RESUELTO IPAD.pdf

5 páginas

He publicado nuevos examenes de 1º Fisica Aplicada e Fisico-Quimica I: Examen-Ordinaria-23-24-RESUELTO IPAD.pdf

5 páginas

He publicado nuevos apuntes de 1º Fisica Aplicada e Fisico-Quimica I: Cinetica-esquema.pdf

1 página

He publicado nuevos apuntes de 1º Fisica Aplicada e Fisico-Quimica I: Espontaneidad.pdf

1 página

He publicado nuevos apuntes de 1º Fisica Aplicada e Fisico-Quimica I: Resumen-termodinamica.pdf

1 página

He publicado nuevos apuntes de 1º Fisica Aplicada e Fisico-Quimica I: F.-Intermoleculares.pdf

1 página

He publicado nuevos apuntes de 1º Fisica Aplicada e Fisico-Quimica I: examen-julio.pdf

4 páginas

He publicado nuevos apuntes de 1º Fisica Aplicada e Fisico-Quimica I: examen-enero.pdf

4 páginas

He publicado nuevos examenes de 1º Fisica Aplicada e Fisico-Quimica I: Examen enero resuelto.pdf

6 páginas

He publicado nuevos apuntes de 1º Fisica Aplicada e Fisico-Quimica I: Apuntes-fisicoquimica-I.pdf

43 páginas

ejercicios

-

Boletines resueltos Juan

He publicado nuevos ejercicios de 1º Fisica Aplicada e Fisico-Quimica I: Boletines resueltos Juan

BOLETIN-DE-PROBLEMAS-TEMA-3.-Parte-problemas.pdf
BOLETIN-DE-PROBLEMAS-TEMA-3.-Parte-teorica.pdf
BOLETIN-DE-PROBLEMAS-TEMA-4.pdf
BOLETIN-DE-PROBLEMAS-TEMA-5.pdf
BOLETIN-DE-PROBLEMAS-TEMA-6.pdf
Anónimo

@Anónimo

He publicado nuevos examenes de 1º Fisica Aplicada e Fisico-Quimica I: Modelos de examenes.pdf

33 páginas

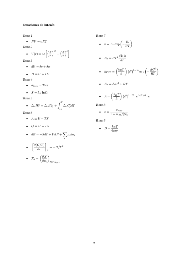
He publicado nuevos apuntes de 1º Fisica Aplicada e Fisico-Quimica I: Resumen y fórmulas físico-química I.pdf

6 páginas

apuntes

-

Apuntes Juan

He publicado nuevos apuntes de 1º Fisica Aplicada e Fisico-Quimica I: Apuntes Juan

Apuntes-Tema-3.pdf
Apuntes-tema-4.pdf
Apuntes-TEMA-5.pdf
TEMA-6.pdf

apuntes

-

Fisicoquímica I (David Ferro)

He publicado nuevos apuntes de 1º Fisica Aplicada e Fisico-Quimica I: Fisicoquímica I (David Ferro)

Tema-5.pdf
Tema-3.pdf
Tema-2.pdf
Tema-4.pdf
Tema-6.pdf

He publicado nuevos examenes de 1º Fisica Aplicada e Fisico-Quimica I: Examen-Fisicoquimica-I-202324.pdf

2 páginas
Anónimo

@Anónimo

apuntes

-

Resúmenes Fisicoquímica I

He publicado nuevos apuntes de 1º Fisica Aplicada e Fisico-Quimica I: Resúmenes Fisicoquímica I

TEMA-2.-Fuerzas-intermoleculares.pdf
TEMA-3.-Introduccion-a-la-termodinamica.pdf
TEMA-4.-Segundo-y-tercer-principio-de-la-termodinamica.pdf
TEMA-5.-Termoquimica.pdf
TEMA-6.-Espontaneidad-y-equilibrio.-Magnitudes-molares-parciales.pdf
TEMA-7.-Cinetica-quimica-formal.pdf
Anónimo

@Anónimo

He publicado nuevos apuntes de 1º Fisica Aplicada e Fisico-Quimica I: boletinT1-2.pdf

2 páginas
Anónimo

@Anónimo

He publicado nuevos apuntes de 1º Fisica Aplicada e Fisico-Quimica I: boletinT2-p.pdf

1 página
Anónimo

@Anónimo

He publicado nuevos apuntes de 1º Fisica Aplicada e Fisico-Quimica I: boletinT3-c.pdf

1 página
Anónimo

@Anónimo

He publicado nuevos apuntes de 1º Fisica Aplicada e Fisico-Quimica I: boletinT2-c.pdf

2 páginas
Anónimo

@Anónimo

He publicado nuevos apuntes de 1º Fisica Aplicada e Fisico-Quimica I: ctesyfactoresconversion.pdf

2 páginas
Anónimo

@Anónimo

He publicado nuevos apuntes de 1º Fisica Aplicada e Fisico-Quimica I: boletinT6-p-2.pdf

2 páginas
Anónimo

@Anónimo

He publicado nuevos apuntes de 1º Fisica Aplicada e Fisico-Quimica I: boletinT4-c.pdf

1 página
Anónimo

@Anónimo

He publicado nuevos apuntes de 1º Fisica Aplicada e Fisico-Quimica I: boletinT5-p-4.pdf

3 páginas
Anónimo

@Anónimo

He publicado nuevos apuntes de 1º Fisica Aplicada e Fisico-Quimica I: boletinT5-c.pdf

1 página
Anónimo

@Anónimo

He publicado nuevos apuntes de 1º Fisica Aplicada e Fisico-Quimica I: boletinT3-p.pdf

3 páginas
Anónimo

@Anónimo

He publicado nuevos apuntes de 1º Fisica Aplicada e Fisico-Quimica I: boletinT6-c.pdf

3 páginas
Anónimo

@Anónimo

He publicado nuevos apuntes de 1º Fisica Aplicada e Fisico-Quimica I: diaposT9.pdf

17 páginas
Anónimo

@Anónimo

He publicado nuevos apuntes de 1º Fisica Aplicada e Fisico-Quimica I: diaposT8.pdf

40 páginas
Anónimo

@Anónimo

He publicado nuevos apuntes de 1º Fisica Aplicada e Fisico-Quimica I: diaposT3.pdf

49 páginas
Anónimo

@Anónimo

He publicado nuevos apuntes de 1º Fisica Aplicada e Fisico-Quimica I: diaposT7.pdf

53 páginas
Anónimo

@Anónimo

He publicado nuevos apuntes de 1º Fisica Aplicada e Fisico-Quimica I: diaposT6.pdf

38 páginas
Anónimo

@Anónimo

He publicado nuevos apuntes de 1º Fisica Aplicada e Fisico-Quimica I: diaposT5.pdf

15 páginas
Anónimo

@Anónimo

He publicado nuevos apuntes de 1º Fisica Aplicada e Fisico-Quimica I: diaposT1.pdf

28 páginas