Física Atómica y Molecular

chevron_left
chevron_right
Todo
Apuntes
Ejercicios
Exámenes
chevron_left
chevron_right

Resumen de los temas 3 a 6 de la parte de atómica

2 páginas

He publicado nuevos examenes de 4º Física Atómica y Molecular: Control-Atomica-2017-resuelto.pdf

11 páginas

He publicado nuevos examenes de 4º Física Atómica y Molecular: Examen-2021-resuelto.pdf

6 páginas

He publicado nuevos examenes de 4º Física Atómica y Molecular: Exámenes Física Molecular Resueltos.pdf

39 páginas

He publicado nuevos examenes de 4º Física Atómica y Molecular: Exámenes Física Atómica Resueltos.pdf

43 páginas

He publicado nuevos examenes de 4º Física Atómica y Molecular: Exámenes FAM finales Resueltos.pdf

24 páginas

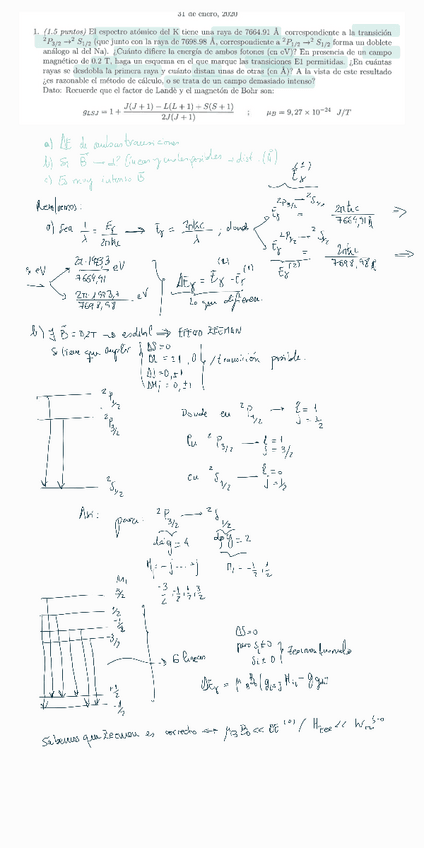
He publicado nuevos apuntes de 4º Física Atómica y Molecular: Repaso-de-todos-los-examenes230111120416.pdf

3 páginas

He publicado nuevos apuntes de 4º Física Atómica y Molecular: Examen-conv-Enero-2022230110163918.pdf

4 páginas

He publicado nuevos apuntes de 4º Física Atómica y Molecular: Examen-2-parcial-2017230106194747.pdf

2 páginas

He publicado nuevos apuntes de 4º Física Atómica y Molecular: Segundo-parcial-2020230108142418.pdf

2 páginas

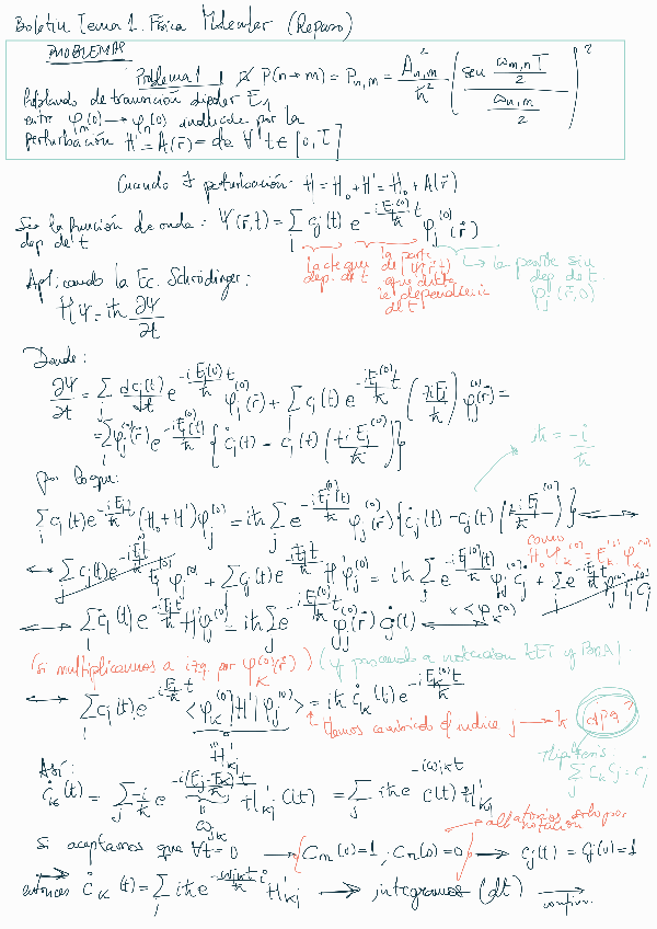
He publicado nuevos apuntes de 4º Física Atómica y Molecular: Ejers-boletin-tema-1230106184640.pdf

2 páginas

He publicado nuevos apuntes de 4º Física Atómica y Molecular: Recopilacion-teoria-examenes-resuelta230111112516.pdf

4 páginas

He publicado nuevos apuntes de 4º Física Atómica y Molecular: Segunda-convocatoria-2019230107203842.pdf

1 página

He publicado nuevos apuntes de 4º Física Atómica y Molecular: Examen-20172018230106205657.pdf

4 páginas

He publicado nuevos apuntes de 4º Física Atómica y Molecular: Examen-final-2021230109195736.pdf

3 páginas

He publicado nuevos apuntes de 4º Física Atómica y Molecular: FORMULARIO-RESUMEN-MOLECULAR230110183229.pdf

7 páginas

He publicado nuevos apuntes de 4º Física Atómica y Molecular: Examen-enero-2018230107124806.pdf

5 páginas

He publicado nuevos apuntes de 4º Física Atómica y Molecular: Examen-segunda-convocatoria-20182019230110172911.pdf

3 páginas

He publicado nuevos apuntes de 4º Física Atómica y Molecular: Examen-2020230108120202.pdf

3 páginas

He publicado nuevos apuntes de 4º Física Atómica y Molecular: Examen-evaluacion-continua.pdf

2 páginas

He publicado nuevos apuntes de 4º Física Atómica y Molecular: Examen-2022.pdf

3 páginas

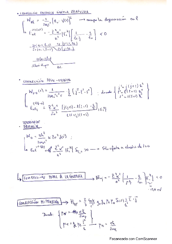
He publicado nuevos apuntes de 4º Física Atómica y Molecular: Boletin-2-resuelto.pdf

3 páginas

He publicado nuevos apuntes de 4º Física Atómica y Molecular: TEORIA-EXAMENESatomica.pdf

6 páginas

He publicado nuevos apuntes de 4º Física Atómica y Molecular: Resumen-fisica-atomica.pdf

5 páginas

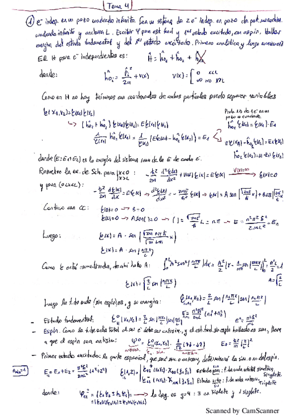
He publicado nuevos ejercicios de 4º Física Atómica y Molecular: Boletin-tema-4-resueltoatomica.pdf

4 páginas

He publicado nuevos examenes de 4º Física Atómica y Molecular: Repaso-de-todos-los-examenes-molecular.pdf

3 páginas

He publicado nuevos apuntes de 4º Física Atómica y Molecular: Boletin-6-resueltoatomica.pdf

4 páginas

He publicado nuevos ejercicios de 4º Física Atómica y Molecular: Boletin-2-resuelto-atomica.pdf

3 páginas

He publicado nuevos apuntes de 4º Física Atómica y Molecular: Ejer-teoria-exams-molecular-resuelta.pdf

4 páginas

He publicado nuevos apuntes de 4º Física Atómica y Molecular: FORMULARIORESUMEN-MOLECULAR.pdf

7 páginas

He publicado nuevos apuntes de 4º Física Atómica y Molecular: resumen-tema-9-molecular.pdf

4 páginas

He publicado nuevos apuntes de 4º Física Atómica y Molecular: recopilacion teoria examenes atomica.pdf

5 páginas

He publicado nuevos apuntes de 4º Física Atómica y Molecular: apuntes clase atomica.pdf

5 páginas

He publicado nuevos apuntes de 4º Física Atómica y Molecular: Problemas-Atomica-y-Molecular-.pdf

82 páginas

He publicado nuevos apuntes de 4º Física Atómica y Molecular: resumen atomica.pdf

3 páginas

ejercicios

-

Boletines resueltos claramente (atómica)

He publicado nuevos ejercicios de 4º Física Atómica y Molecular: Boletines resueltos claramente (atómica)

Boletin-3.pdf
Boletin6.pdf
Boletin-4.pdf
Boletin-2.pdf
Boletin-5.pdf

ejercicios

-

Boletines resueltos(explicados)(ATÓMICA)

He publicado nuevos ejercicios de 4º Física Atómica y Molecular: Boletines resueltos(explicados)(ATÓMICA)

Tema-2-problemas-resueltos.pdf
Tema-4-problemas-resueltos.pdf
Tema-3-problemas-resueltos.pdf
Tema-5-ejercicios-resueltos.pdf

He publicado nuevos apuntes de 4º Física Atómica y Molecular: Tema 10.pdf

9 páginas

He publicado nuevos apuntes de 4º Física Atómica y Molecular: Tema 9.pdf

9 páginas

He publicado nuevos apuntes de 4º Física Atómica y Molecular: Tema 8.pdf

9 páginas

He publicado nuevos apuntes de 4º Física Atómica y Molecular: Tema 7.pdf

11 páginas

He publicado nuevos apuntes de 4º Física Atómica y Molecular: Tema 5.pdf

7 páginas

He publicado nuevos apuntes de 4º Física Atómica y Molecular: Tema 6.pdf

4 páginas

He publicado nuevos apuntes de 4º Física Atómica y Molecular: Tema 4.pdf

7 páginas

He publicado nuevos apuntes de 4º Física Atómica y Molecular: Tema 3.pdf

10 páginas

He publicado nuevos apuntes de 4º Física Atómica y Molecular: Tema 2.pdf

8 páginas

He publicado nuevos apuntes de 4º Física Atómica y Molecular: Tema 1.pdf

7 páginas
¡Estás al día!

¡Estás al día!

Has visto todos los archivos