Física Básica Experimental III: La Materia y sus Propiedades

chevron_left
chevron_right
Todo
Apuntes
Ejercicios
Exámenes
Prácticas
chevron_left
chevron_right

He publicado nuevos practicas de 1º Física Básica Experimental III: La Materia y sus Propiedades: ATENUACIONDERAYOSGAMMA.pdf

4 páginas

He publicado nuevos practicas de 1º Física Básica Experimental III: La Materia y sus Propiedades: EstudiodecolisionesprotonprotonenelexperimentoCMSdelCERN.pdf

4 páginas

He publicado nuevos practicas de 1º Física Básica Experimental III: La Materia y sus Propiedades: EfectofotoelectricoDeterminaciondelaconstantedePlanck.pdf

4 páginas

He publicado nuevos practicas de 1º Física Básica Experimental III: La Materia y sus Propiedades: DifraccionderayosXdeunsolidocristalino.pdf

4 páginas

He publicado nuevos practicas de 1º Física Básica Experimental III: La Materia y sus Propiedades: Densidaddelagua.pdf

5 páginas

Exámen Ordinario de Física 3 2025

4 páginas

Historía de la física de partículas

2 páginas

Resumen del Tema 5 de Física 3.

6 páginas

Resumen del Tema 4 de Física 3.

9 páginas

Resumen del Tema 3 de Física 3.

14 páginas

Resumen del Tema 2 de Física 3.

5 páginas

Resumen del Tema 1 de Física 3.

6 páginas

Resumen de los Temas 8,9,10 y 11 de Física 3.

12 páginas

6º Informe de laboratorio de Física 3, trata sobre el análisis de diferentes colisiones protón-protón.

4 páginas

3º Informe de laboratorio de Física 3, trata sobre la indexación de una estructura cúbica.

4 páginas

5º Informe de laboratorio de Física 3, trata sobre la atenuación de rayos ganmma.

4 páginas

2º Informe de laboratorio de Física 3, trata sobre determinar el calor latente de vaporización del nitrógeno líquido.

4 páginas

4º Informe de laboratorio de Física 3, trata sobre la determinación de la cosntante de planck.

4 páginas

1º Informe de Física 3, trata sobre la determinación de la densidad de un líquido.

4 páginas

He publicado nuevos examenes de 1º Física Básica Experimental III: La Materia y sus Propiedades: MODELO-EXAMEN-CON-SOLUCION-DE-PROFESOR-mayo-2020.pdf

2 páginas

Calor latente de vaporización del nitrógeno líquido

4 páginas

Búsqueda de procesos de producción de bosones W+, W-, Z y H decayendo en electrones, muones o fotones

7 páginas

Atenuación de Rayos Gamma

3 páginas

Difracción de Rayos X de un sólido cristalino

3 páginas

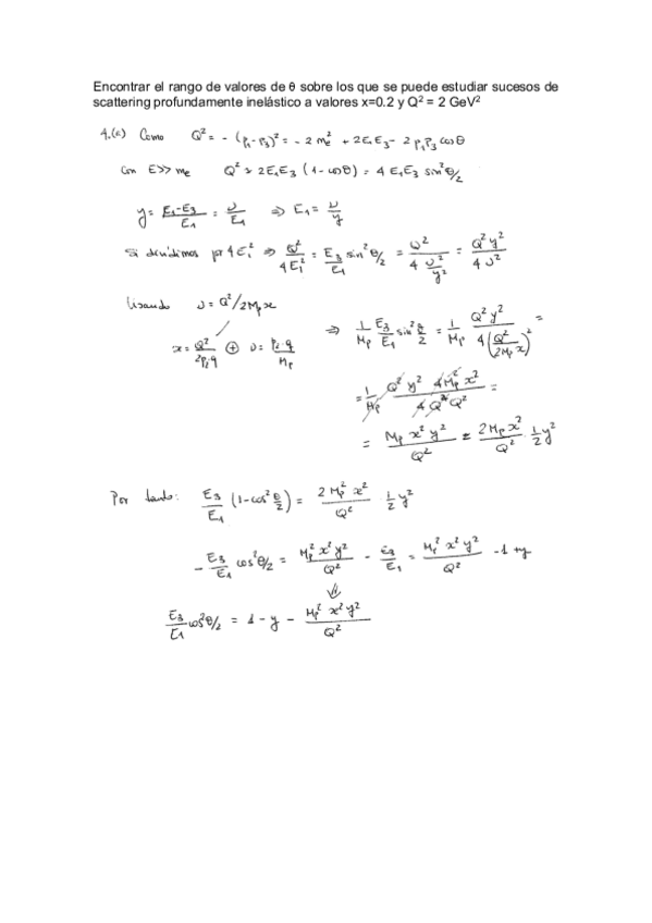
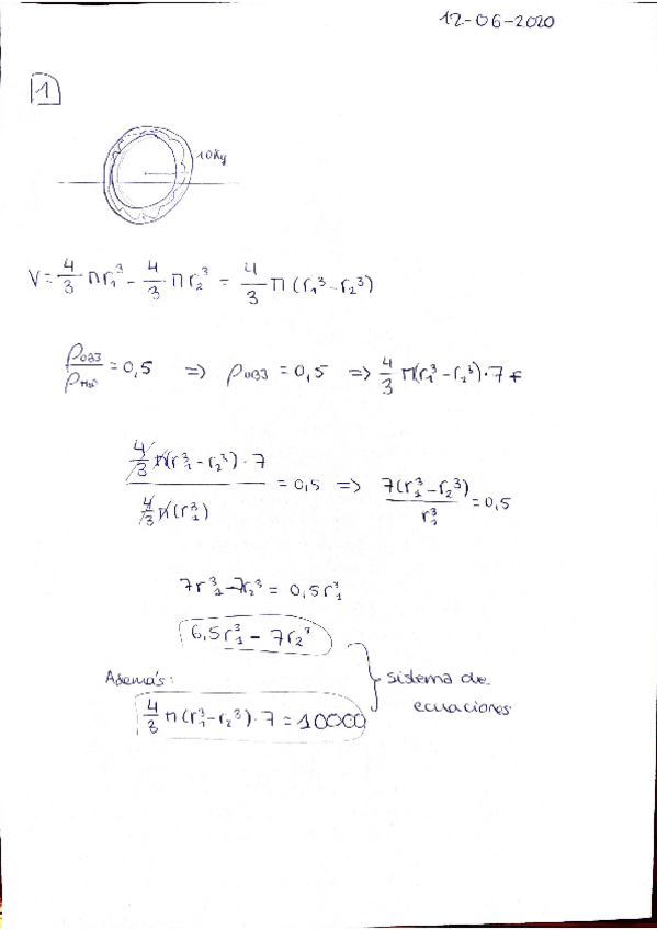
Varios ejercicios del examen final (año pandemia)

9 páginas

Determinación de la densidad de un líquido por los métodos estático y dinámico

4 páginas

He publicado nuevos apuntes de 1º Física Básica Experimental III: La Materia y sus Propiedades: Bloque-tematico-1.pdf

10 páginas

He publicado nuevos apuntes de 1º Física Básica Experimental III: La Materia y sus Propiedades: bloque-3-fisica-3.pdf

10 páginas

He publicado nuevos apuntes de 1º Física Básica Experimental III: La Materia y sus Propiedades: bloque-2-f3.pdf

7 páginas

practicas

-

Informes

He publicado nuevos practicas de 1º Física Básica Experimental III: La Materia y sus Propiedades: Informes

Densidad-liquido.pdf
Calor-latente-N-liquido.pdf
Practica-3.pdf
Practica-4.pdf
Atenuacion-de-rayos-gamma.pdf
Practica-6.pdf

He publicado nuevos apuntes de 1º Física Básica Experimental III: La Materia y sus Propiedades: RedesCristalinas.pdf

1 página

He publicado nuevos apuntes de 1º Física Básica Experimental III: La Materia y sus Propiedades: FBEIIIp3.pdf

3 páginas

He publicado nuevos apuntes de 1º Física Básica Experimental III: La Materia y sus Propiedades: ejemplo-informe.pdf

3 páginas

He publicado nuevos apuntes de 1º Física Básica Experimental III: La Materia y sus Propiedades: NucleosyParticulas.pdf

97 páginas

He publicado nuevos apuntes de 1º Física Básica Experimental III: La Materia y sus Propiedades: guionFBIII-P42020.pdf

6 páginas

He publicado nuevos apuntes de 1º Física Básica Experimental III: La Materia y sus Propiedades: guionFBIII-P2.pdf

2 páginas

He publicado nuevos apuntes de 1º Física Básica Experimental III: La Materia y sus Propiedades: GuionFBEIII-P5-Apendice.pdf

5 páginas

He publicado nuevos apuntes de 1º Física Básica Experimental III: La Materia y sus Propiedades: guionFBEIII-P1.pdf

3 páginas

He publicado nuevos apuntes de 1º Física Básica Experimental III: La Materia y sus Propiedades: Guia-Practica-6.pdf

5 páginas

He publicado nuevos apuntes de 1º Física Básica Experimental III: La Materia y sus Propiedades: Fisica-Experim.-lII.pdf

58 páginas

He publicado nuevos apuntes de 1º Física Básica Experimental III: La Materia y sus Propiedades: PracticaAtenuacionRayosGammaFBEIIIp05V03.pdf

14 páginas

He publicado nuevos apuntes de 1º Física Básica Experimental III: La Materia y sus Propiedades: ExJunFBEIII2.pdf

pdf

He publicado nuevos apuntes de 1º Física Básica Experimental III: La Materia y sus Propiedades: ExJunFBEIII3.pdf

pdf

He publicado nuevos apuntes de 1º Física Básica Experimental III: La Materia y sus Propiedades: ExJUnFBEIII1.pdf

pdf

He publicado nuevos ejercicios de 1º Física Básica Experimental III: La Materia y sus Propiedades: 4-EWKejercicios-SOL.pdf

7 páginas

He publicado nuevos ejercicios de 1º Física Básica Experimental III: La Materia y sus Propiedades: 3-QCDejercicios-SOL.pdf

6 páginas

He publicado nuevos ejercicios de 1º Física Básica Experimental III: La Materia y sus Propiedades: 2-Phenoejercicios-SOL.pdf

3 páginas

He publicado nuevos ejercicios de 1º Física Básica Experimental III: La Materia y sus Propiedades: Hoja22019-20.pdf

2 páginas

He publicado nuevos ejercicios de 1º Física Básica Experimental III: La Materia y sus Propiedades: Hoja32019-20.pdf

2 páginas

He publicado nuevos ejercicios de 1º Física Básica Experimental III: La Materia y sus Propiedades: Hoja12019-20.pdf

2 páginas
¡Estás al día!

¡Estás al día!

Has visto todos los archivos