Física Cuántica
apuntes
-
2. Lauhilekoko Apunteak
He publicado nuevos apuntes de 3º Física Cuántica: 2. Lauhilekoko Apunteak
apuntes
-
Fisika Kuantikoko Apunteak Gaika
He publicado nuevos apuntes de 3º Física Cuántica: Fisika Kuantikoko Apunteak Gaika
He publicado nuevos examenes de 3º Física Cuántica: Prueba-cuantica-grupo-A.pdf
ejercicios
-
Etxechallenge
He publicado nuevos ejercicios de 3º Física Cuántica: Etxechallenge
examenes
-
Azterketak 1. kuatri
He publicado nuevos examenes de 3º Física Cuántica: Azterketak 1. kuatri
He publicado nuevos ejercicios de 3º Física Cuántica: TeoriayProblemasPostuladosCuantica-resuelto.pdf
He publicado nuevos apuntes de 3º Física Cuántica: Asignatura-al-completo.pdf
He publicado nuevos apuntes de 3º Física Cuántica: Axiomatica-Fund-BLOG-EXPLICADO.pdf
Apuntes redactados a partir de los de Jose Ignacio y el libro recomendado para la asignatura. Incluye Radiación de Cuerpo Negro, Efecto Fotoeléctrico, Bremsstrahlung y Efecto Compton.
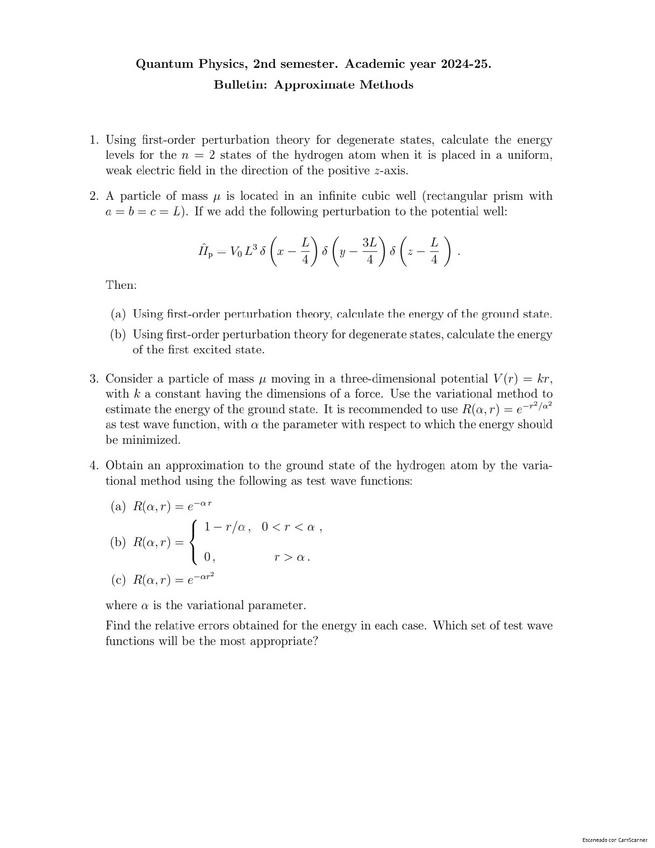
He publicado nuevos ejercicios de 3º Física Cuántica: Bulletin Approximate methods (explicados en español).pdf.pdf
He publicado nuevos ejercicios de 3º Física Cuántica: Bulletin Tridimensional problems (explicados en español).pdf.pdf
He publicado nuevos ejercicios de 3º Física Cuántica: Bulletin Addition of angular momentum (explicados en español).pdf.pdf
He publicado nuevos ejercicios de 3º Física Cuántica: Bulletin Angular momentum (explicados en español).pdf.pdf
He publicado nuevos apuntes de 3º Física Cuántica: Resumen-de-potenciales.pdf
He publicado nuevos ejercicios de 3º Física Cuántica: Bulletin-2-explained.pdf
He publicado nuevos apuntes de 3º Física Cuántica: Resumen-tema-1-Old-quantum-physics.pdf
He publicado nuevos ejercicios de 3º Física Cuántica: Bulletin-1-explained.pdf
INICIO CURSO FÍSICA CUÁNTICA Resumen de cada tema. Resolución de ejercicios y exámenes de convocatorias anteriores. Clases grabadas hasta el día del examen. Profesor a tu disposición en cualquier momento para dudas. INFÓRMATE SIN COMPROMISO Y DA UNA CLASE DE PRUEBA EN GRUPO.

examenes
-
Fisika Kuantikoa
He publicado nuevos examenes de 3º Física Cuántica: Fisika Kuantikoa
He publicado nuevos practicas de 3º Física Cuántica: Series-espectrales.pdf
He publicado nuevos examenes de 2º Física Cuántica: Week11pruebasolution.pdf
He publicado nuevos examenes de 2º Física Cuántica: Week14problemSolution-2.pdf
He publicado nuevos examenes de 2º Física Cuántica: Week5pruebaSolutions.pdf
He publicado nuevos examenes de 2º Física Cuántica: ExamQuantumPhysicsJan26-Solutions.pdf
He publicado nuevos examenes de 3º Física Cuántica: resolucion-parcial-0625.pdf
He publicado nuevos examenes de 3º Física Cuántica: resolucion-parcial-0125.pdf
He publicado nuevos apuntes de 3º Física Cuántica: Apuntes-Cuantica-sin-precuantica.pdf
He publicado nuevos apuntes de 3º Física Cuántica: Eq.-Schrodinger-EXPLICADA-Tema2.pdf
He publicado nuevos apuntes de 3º Física Cuántica: PRECUANTICA-Apuntes.pdf
RESUMEN TEMAS 3,6 y 7. No solo son fórmulas, también hay definiciones, aspectos teóricos importantes, ejercicios comunes, etc
He publicado nuevos apuntes de 3º Física Cuántica: FCTemas-1-y-225-26.pdf
He publicado nuevos apuntes de 2º Física Cuántica: ResumenFisicaCuantica.pdf
apuntes
-
Entregas cuántica
He publicado nuevos apuntes de 2º Física Cuántica: Entregas cuántica
Formulario Tema sólidos cristalinos bien hecho jajajaj (perdón por la calidad, ahora Camscann3r ha puesto muchas cosas de pago)
He publicado nuevos examenes de 3º Física Cuántica: Parcial 1 (28.10.25).pdf
He publicado nuevos examenes de 3º Física Cuántica: Parcial 2 (12.01.26).pdf
he corregido un error que habia en el tipo test del documento anterior :)
He publicado nuevos examenes de 3º Física Cuántica: parcial2025cuantica-resuelto.pdf
He publicado nuevos examenes de 3º Física Cuántica: parcial2018cuantica-resuelto.pdf
He publicado nuevos examenes de 3º Física Cuántica: parcial2020cuanticaresuelto.pdf
apuntes
-
Tema 6 Formularios
Os dejo versión del doc para imprimir y otra versión para estudiar en ordenador (visto en horizontal se ve mejor)
He publicado nuevos ejercicios de 3º Física Cuántica: Boletin-6-RESUELTO.pdf
He publicado nuevos ejercicios de 3º Física Cuántica: Boletin-5-resuelto.pdf