chevron_left
chevron_right
Todo
Apuntes
Ejercicios
Exámenes
chevron_left
chevron_right

apuntes

-

2. Lauhilekoko Apunteak

He publicado nuevos apuntes de 3º Física Cuántica: 2. Lauhilekoko Apunteak

Fisika-Kuantikoko-Apunteak-5.-Gaia.pdf
Fisika-Kuantikoko-Apunteak-6.-Gaia.pdf
Fisika-Kuantikoko-Apunteak-7.-Gaia.pdf

apuntes

-

Fisika Kuantikoko Apunteak Gaika

He publicado nuevos apuntes de 3º Física Cuántica: Fisika Kuantikoko Apunteak Gaika

Fisika-Kuantikoko-Apunteak-1.-Gaia.pdf
Kuantikoko-Apunteak-2.-Gaia.pdf
Fisika-Kuantikoko-Apunteak-3.-Gaia.pdf
Fisika-Kuantikoko-Apunteak-4.-Gaia.pdf

ejercicios

-

Etxechallenge

He publicado nuevos ejercicios de 3º Física Cuántica: Etxechallenge

Miniatura no disponible
etxechallenge-15.pdf
Miniatura no disponible
etxechallenge-14.pdf
Miniatura no disponible
etxechallenge-13.pdf
Miniatura no disponible
etxechallenge-11.pdf
Miniatura no disponible
etxechallenge-12.pdf
Miniatura no disponible
etxechallenge-10.pdf

examenes

-

Azterketak 1. kuatri

He publicado nuevos examenes de 3º Física Cuántica: Azterketak 1. kuatri

Miniatura no disponible
2022-urtarrila-kuantika.pdf
Miniatura no disponible
2019-urtarrila.pdf
Miniatura no disponible
2025-urtarrila-kuantika.pdf
Miniatura no disponible
2024-urtarrila.pdf
Miniatura no disponible
2021-urtarrila.pdf
Miniatura no disponible
2023-urtarrila.pdf

examenes

-

Fisika Kuantikoa

He publicado nuevos examenes de 3º Física Cuántica: Fisika Kuantikoa

azterketakKuantika1Kuatri.pdf

apuntes

-

1.kuatri apunteak

He publicado nuevos apuntes de 3º Física Cuántica: 1.kuatri apunteak

TEORIA-KUANTIKOAREN-SARRERA.pdf
FORMALISMOA.pdf
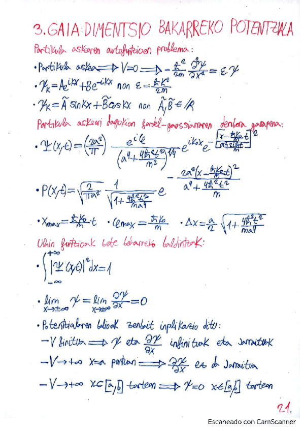
DIMENTSIO-BAKARREKO-POTENTZIALAK.pdf
POTENTZIAL-ZENTRALAK-ETA-ELEKTROI-BAKARREKO-ATOMOAK-3.pdf

He publicado nuevos apuntes de 3º Física Cuántica: 4-Potentzial-zentralak.pdf

15 páginas

He publicado nuevos apuntes de 3º Física Cuántica: 2-Formalismoa.pdf

8 páginas

He publicado nuevos apuntes de 3º Física Cuántica: 3-1D-ko-potentzialak.pdf

11 páginas

He publicado nuevos apuntes de 3º Física Cuántica: 1-Sarrera.pdf

9 páginas

Kuantikako bigarren lauhilabeteko apunteak (Pitarkeren bideoetako eta Cohen liburuko edukiaren laburpena). Lehen zatia.

70 páginas

Kuantikako bigarren lauhilabeteko apunteak (Pitarkeren bideoetako eta Cohen liburuko edukiaren laburpena). Bigarren zatia.

50 páginas

Lehen lauhilabeteko formula guztiak

15 páginas

apuntes

-

FISIKA KUANTIKOA. LEHEN KUATRIA

He publicado nuevos apuntes de 3º Física Cuántica: FISIKA KUANTIKOA. LEHEN KUATRIA

01.-TEORIA-KUANTIKOAREN-SARRERA.-TEORIA.pdf
02.-FORMALISMOA.-TEORIAARIKETAK.pdf
03.-DIMENSTSIO-BAKARREKO-POTENTZIALAK.-T.pdf
04.-POTENTZIAL-ZENTRALAK-ETA-ELEKTROI-BA.pdf

apuntes

-

FISIKA KUANTIKOA. BIGARREN KUATRIA

He publicado nuevos apuntes de 3º Física Cuántica: FISIKA KUANTIKOA. BIGARREN KUATRIA

1.-ORRIA.pdf
2.-ORRIA.pdf
3.-ORRIA.pdf
4.-ORRIA.pdf
5.-ORRIA.pdf
6.-ORRIA.pdf

apuntes

-

FISIKA KUANTIKOA. BIGARREN KUATRIA II

He publicado nuevos apuntes de 3º Física Cuántica: FISIKA KUANTIKOA. BIGARREN KUATRIA II

INIGO-AITOR-BERGARA.-TEORIA.pdf

He publicado nuevos apuntes de 3º Física Cuántica: Apuntestema9.pdf

11 páginas

Pitarke teoria

10 páginas

Pitarke teoria

11 páginas

Pitarke teoria

7 páginas

Pitarke teoria

10 páginas

Pitarke teoria

4 páginas

Pitarke teoria

6 páginas

He publicado nuevos examenes de 3º Física Cuántica: OTROS.pdf

55 páginas

He publicado nuevos examenes de 3º Física Cuántica: 2014-15-16-MAYO.pdf

20 páginas

He publicado nuevos ejercicios de 3º Física Cuántica: Gaia4-etxechallenge.pdf

11 páginas

He publicado nuevos ejercicios de 3º Física Cuántica: Gaia4-ariketak.pdf

45 páginas

He publicado nuevos apuntes de 3º Física Cuántica: Gaia3-etxechallenge.pdf

16 páginas

He publicado nuevos ejercicios de 3º Física Cuántica: Gaia3-ariketak.pdf

110 páginas

He publicado nuevos apuntes de 3º Física Cuántica: Gaia4-teoria.pdf

19 páginas

He publicado nuevos apuntes de 3º Física Cuántica: Gaia3-teoria.pdf

40 páginas

He publicado nuevos ejercicios de 3º Física Cuántica: Gaia2-etxechallenge.pdf

24 páginas

He publicado nuevos ejercicios de 3º Física Cuántica: Gaia2ariketak.pdf

52 páginas

He publicado nuevos apuntes de 3º Física Cuántica: Gaia2teoria.pdf

31 páginas

He publicado nuevos apuntes de 3º Física Cuántica: Formulalaburpenagaiak234.pdf

12 páginas

He publicado nuevos ejercicios de 3º Física Cuántica: Gaia1ariketak.pdf

79 páginas

He publicado nuevos apuntes de 3º Física Cuántica: Klasekoteoriagaia1.pdf

8 páginas

He publicado nuevos apuntes de 3º Física Cuántica: Gaia1bideoteoria.pdf

40 páginas

He publicado nuevos apuntes de 3º Física Cuántica: Formulaorria1.pdf

1 página
Anónimo

@Anónimo

ejercicios

-

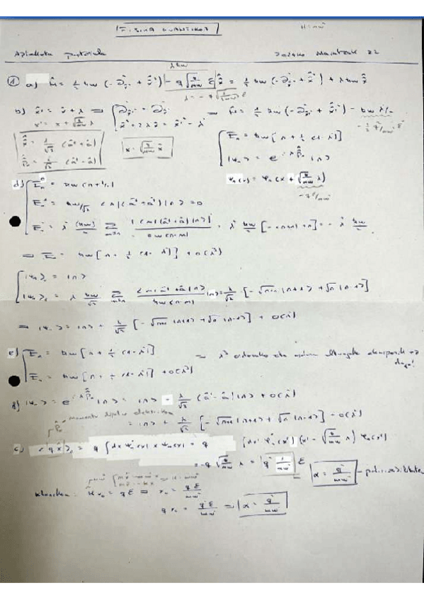
2. GAIA: ARIKETAK

He publicado nuevos ejercicios de 3º Física Cuántica: 2. GAIA: ARIKETAK

Behagarrien-denbora-garapenaren-ekuazioa-eta-higidura-konstanteak-1-eta-3.pdf
Denboraren-independentea-den-Schroedinger-ren-ekuazioaren-ebazpenaren-ikustarazpena-1-eta-2.pdf
Denboraren-independientea-den-Schrodinger-ren-ekuazioaren-ebazpenaren-ikustarazpena-2-eta-3.pdf
Momentuen-adierazpidea-1.pdf
Trukatzaileak.pdf
Behagarrien-adierazpen-matriziala-1-eta-2.pdf

ejercicios

-

8. GAIA: ARIKETAK

He publicado nuevos ejercicios de 3º Física Cuántica: 8. GAIA: ARIKETAK

Bi-partikulen-spin-osoaren-autofuntzioak-5.pdf
Bi-partikulen-spin-osoaren-autofuntzioak-7.pdf
Bi-partikulen-spin-osoaren-autofuntzioak-8.pdf
Bi-partikulen-spin-osoaren-autofuntzioak-9.pdf
Bi-partikulen-spin-osoaren-autofuntzioak-11.pdf
Helio-atomoa-2.pdf

He publicado nuevos examenes de 3º Física Cuántica: 2P-2024-Pitarrke.pdf

1 página

Examen ordinario 2024

1 página

He publicado nuevos apuntes de 3º Física Cuántica: Resumen-Itxidura-erlazioak-Pitarke.pdf

6 páginas

He publicado nuevos examenes de 3º Física Cuántica: maiatza-2024-bergara.pdf

2 páginas

He publicado nuevos ejercicios de 3º Física Cuántica: 3.GAIA-EBAZPENAK.zip

Miniatura no disponible
zip

He publicado nuevos ejercicios de 3º Física Cuántica: Ariketak-II.pdf

141 páginas

He publicado nuevos apuntes de 3º Física Cuántica: cap9-Estr.fina-H.pdf

7 páginas

He publicado nuevos apuntes de 3º Física Cuántica: 2.kuatri-klaseko-galderak.pdf

36 páginas

He publicado nuevos examenes de 3º Física Cuántica: azterketak-kuantika.pdf

101 páginas

He publicado nuevos apuntes de 3º Física Cuántica: Apunteak.pdf

240 páginas

He publicado nuevos apuntes de 3º Física Cuántica: Ariketak-iPad.pdf

159 páginas

He publicado nuevos ejercicios de 3º Física Cuántica: Ariketak-II.pdf

141 páginas

He publicado nuevos apuntes de 3º Física Cuántica: hoja-formulas.pdf

1 página

He publicado nuevos ejercicios de 3º Física Cuántica: etxech3.pdf

2 páginas

He publicado nuevos ejercicios de 3º Física Cuántica: Etxech5.pdf

3 páginas

He publicado nuevos ejercicios de 3º Física Cuántica: Partikula-independienteen-adibide-batzuk62221612649011a1b855bed5c1eb1448.pdf

2 páginas

He publicado nuevos ejercicios de 3º Física Cuántica: Ariketak-5.pdf

10 páginas

He publicado nuevos ejercicios de 3º Física Cuántica: Ariketak-6-provisional.pdf

9 páginas

He publicado nuevos ejercicios de 3º Física Cuántica: 2.orria.pdf

6 páginas