Física Cuántica
He publicado nuevos examenes de 3º Física Cuántica: ParcialEnero-2025-2026.pdf
He publicado nuevos examenes de 3º Física Cuántica: Prueba-cuantica-grupo-A.pdf
He publicado nuevos ejercicios de 3º Física Cuántica: TeoriayProblemasPostuladosCuantica-resuelto.pdf
He publicado nuevos apuntes de 3º Física Cuántica: Axiomatica-Fund-BLOG-EXPLICADO.pdf
He publicado nuevos ejercicios de 3º Física Cuántica: Bulletin Approximate methods (explicados en español).pdf.pdf
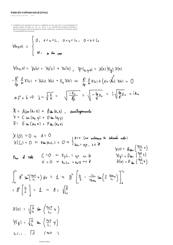
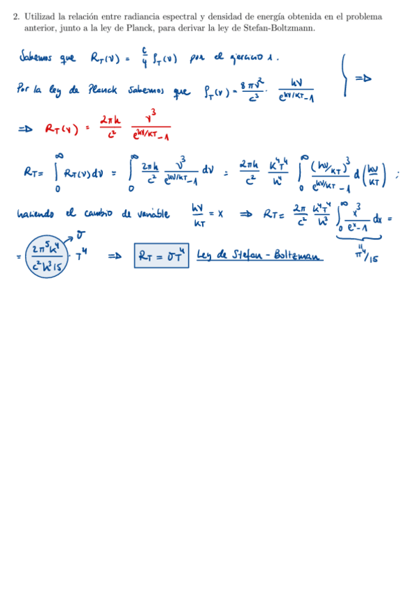
He publicado nuevos ejercicios de 3º Física Cuántica: Bulletin Tridimensional problems (explicados en español).pdf.pdf
He publicado nuevos ejercicios de 3º Física Cuántica: Bulletin Addition of angular momentum (explicados en español).pdf.pdf
He publicado nuevos ejercicios de 3º Física Cuántica: Bulletin Angular momentum (explicados en español).pdf.pdf
He publicado nuevos apuntes de 3º Física Cuántica: Resumen-de-potenciales.pdf
He publicado nuevos ejercicios de 3º Física Cuántica: Bulletin-2-explained.pdf
He publicado nuevos apuntes de 3º Física Cuántica: Resumen-tema-1-Old-quantum-physics.pdf
He publicado nuevos ejercicios de 3º Física Cuántica: Bulletin-1-explained.pdf
INICIO CURSO FÍSICA CUÁNTICA Resumen de cada tema. Resolución de ejercicios y exámenes de convocatorias anteriores. Clases grabadas hasta el día del examen. Profesor a tu disposición en cualquier momento para dudas. INFÓRMATE SIN COMPROMISO Y DA UNA CLASE DE PRUEBA EN GRUPO.

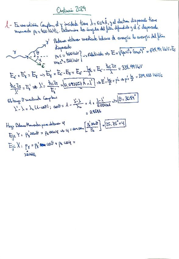
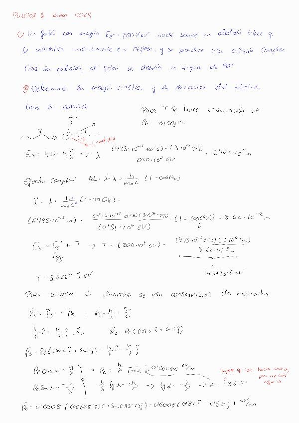
He publicado nuevos examenes de 3º Física Cuántica: resolucion-parcial-0625.pdf
He publicado nuevos examenes de 3º Física Cuántica: resolucion-parcial-0125.pdf
He publicado nuevos apuntes de 3º Física Cuántica: Apuntes-Cuantica-sin-precuantica.pdf
He publicado nuevos apuntes de 3º Física Cuántica: Eq.-Schrodinger-EXPLICADA-Tema2.pdf
He publicado nuevos apuntes de 3º Física Cuántica: PRECUANTICA-Apuntes.pdf
He publicado nuevos apuntes de 3º Física Cuántica: Resumen-Tema-1-Precuantica.pdf
He publicado nuevos practicas de 3º Física Cuántica: Practice5AtomicSpectroscopy.pdf
He publicado nuevos practicas de 3º Física Cuántica: Practice4FrankHertzExperiment-1.pdf
He publicado nuevos practicas de 3º Física Cuántica: Practice3ElectronDiffraction.pdf
He publicado nuevos practicas de 3º Física Cuántica: Practice2PhotoelectricEffect-2.pdf
He publicado nuevos practicas de 3º Física Cuántica: Practice1ChargetoMassRatiooftheElectronFernandoCordenoMartinDavidArrebolaMoreno.pdf
He publicado nuevos ejercicios de 3º Física Cuántica: Bulletin 3 - 1D problems (explicados español e inglés).pdf
He publicado nuevos ejercicios de 3º Física Cuántica: Bulletin 2- Wave function-Schrodinger eq (explicados en español).pdf
He publicado nuevos ejercicios de 3º Física Cuántica: Bulletin 1 - Old Quantum Physics (explicados en español).pdf
He subido el resumen del último tema del segundo cuatri de Cuántica, por lo que ya tenéis el temario completo. Ánimo que ya nos queda menos !!
apuntes
-
RESÚMENES F.CUÁNTICA
He publicado nuevos apuntes de 3º Física Cuántica: RESÚMENES F.CUÁNTICA
Me quiero matar
He subido el resumen del primer tema del segundo cuatri de cuántica :)
He publicado nuevos examenes de 3º Física Cuántica: ExamenPrimerCuatriJunio2025.pdf
ejercicios
-
Relaciones resueltas segundo cuatrimestre (2024-2025)
He publicado nuevos ejercicios de 3º Física Cuántica: Relaciones resueltas segundo cuatrimestre (2024-2025)
apuntes
-
Exámenes resueltos segundo cuatri
He publicado nuevos apuntes de 3º Física Cuántica: Exámenes resueltos segundo cuatri
apuntes
-
Apuntes segundo cuatri (2024-2025)
He publicado nuevos apuntes de 3º Física Cuántica: Apuntes segundo cuatri (2024-2025)
ejercicios
-
Física Cuántica (primer cuatri)
He publicado nuevos ejercicios de 3º Física Cuántica: Física Cuántica (primer cuatri)
apuntes
-
Física Cuántica
He publicado nuevos apuntes de 3º Física Cuántica: Física Cuántica
ejercicios
-
Relaciones resueltas primer cuatri (2024-2025)
He publicado nuevos ejercicios de 3º Física Cuántica: Relaciones resueltas primer cuatri (2024-2025)
ejercicios
-
Ejercicios FC 1 cuatri
He publicado nuevos ejercicios de 3º Física Cuántica: Ejercicios FC 1 cuatri
practicas
-
Informes de practicas
He publicado nuevos practicas de 3º Física Cuántica: Informes de practicas