Física Cuántica

chevron_left
chevron_right
Todo
Apuntes
Ejercicios
Exámenes
chevron_left
chevron_right

Apuntes redactados a partir de los de Jose Ignacio y el libro recomendado para la asignatura. Incluye Radiación de Cuerpo Negro, Efecto Fotoeléctrico, Bremsstrahlung y Efecto Compton.

28 páginas

He publicado nuevos apuntes de 2º Física Cuántica: Apuntes-QF.pdf

29 páginas

He publicado nuevos apuntes de 2º Física Cuántica: ResumenFisicaCuantica.pdf

1 página

apuntes

-

Entregas cuántica

He publicado nuevos apuntes de 2º Física Cuántica: Entregas cuántica

Entrega2Cuantica.pdf
Entrega3Cuantica.pdf
Entrega4Cuantica.pdf
Entrega5JCuantica.pdf
Entrega6Cuantica.pdf
Entrega7Cuantica.pdf

examen de la extraordinaria

2 páginas

He publicado nuevos examenes de 2º Física Cuántica: Examen-Cuantica-junio-2025.pdf

2 páginas

apuntes

-

Ejercicios entregas PA

Ejercicios entregas PA

Hoja-1-cuantica.pdf
Hoja-2-cuantica.pdf
Hoja-3-cuantica.pdf
Hoja-5-cuantica.pdf
Hoja-6-cuantica.pdf
Hoja-7-cuantica.jpg

examenes

-

Exámenes

He publicado nuevos examenes de 2º Física Cuántica: Exámenes

Examen-enero-2025.pdf
Examen-junio-21.pdf
Examen-mayo-21.pdf
Examen-mayo-22.pdf
Examen-mayo-24.pdf
Examen-mayo-2023.pdf

He publicado nuevos apuntes de 2º Física Cuántica: Formulario-examen-2025.pdf

2 páginas

Algunas formulas que no están en el formulario del examen pero que hay que saber

2 páginas

apuntes

-

Hoja 1 cuántica

He publicado nuevos apuntes de 2º Física Cuántica: Hoja 1 cuántica

Hoja-1-cuantica.pdf
Hoja-2-cuantica.pdf
Hoja-3-cuantica.pdf
Hoja-4-cuantica.pdf
Hoja-5-cuantica.pdf
Hoja-6-cuantica.pdf

He publicado nuevos examenes de 2º Física Cuántica: Mayo25.pdf

2 páginas

examenes

-

Exámenes resueltos

He publicado nuevos examenes de 2º Física Cuántica: Exámenes resueltos

Mayo24.pdf
Mayo23.pdf

ejercicios

-

Hojas resueltas

He publicado nuevos ejercicios de 2º Física Cuántica: Hojas resueltas

Hoja6.-Sommerfeld.pdf
Hoja9.-Principio-de-indeterminacion.pdf
Hoja13.-Pozos-de-potencial.-Momento-angular.pdf
Hoja3.-Efecto-Compton.pdf
Hoja11.-Oscilador-armonico.pdf
Hoja14.-Atomo-de-H.pdf

apuntes

-

Apuntes completos

He publicado nuevos apuntes de 2º Física Cuántica: Apuntes completos

1.-Radiacion-del-cuerpo-negro.-Efecto-fotoelectrico.-Efecto-Compton.pdf
4.-Resolucion-de-la-ecuacion-de-Schrodinger.-Mecanica-cuantica.pdf
2.-Estructura-atomica-y-espectroscopia.-Principio-de-Broglie.pdf
3.-Heisenberg.-Ecuacion-de-Schrodinger.pdf
5.-Atomo-de-hidrogeno.pdf

Sesión de Evaluación - Física Cuántica - 2° Grado de Física (Curso 2024-25)

2 páginas

ejercicios

-

Ejercicios 24/25

He publicado nuevos ejercicios de 2º Física Cuántica: Ejercicios 24/25

Hoja1-CuerpoNegro.pdf
Hoja2-EfectoFotoelectrico.pdf
Hoja3-EfectoCompton.pdf
Hoja4-PrimeraTG.pdf
Hoja5-ModelosAtomicos.pdf
Hoja6-ModeloSommerfeld.pdf

24/25

82 páginas

apuntes

-

Temario

Apuntes de Carbajo + clases 2024/25

T4-Naturaleza-ondulatoria-de-la-materia.pdf
Tema-1-Radiacion-de-cuerpo-negro.pdf
T2-Efecto-fotoelectrico-Bremsstrahlung-y-Compton--Anexo-Relatividad-especial.pdf
T3-Estructura-atomica-y-espectroscopia.pdf
T5-Ecuacion-Schrodinger.pdf
T6-Atomo-Hidrogeno.pdf

ejercicios

-

Hojas de Ejercicios 2024

He publicado nuevos ejercicios de 2º Física Cuántica: Hojas de Ejercicios 2024

Hoja-1.pdf
Hoja-2.pdf
Hoja-9.pdf
Hoja-10.pdf
Hoja-7.pdf
Hoja-8.pdf

ejercicios

-

Entregas PAs QF

He publicado nuevos ejercicios de 2º Física Cuántica: Entregas PAs QF

Entrega-1.pdf
Entrega-2.pdf
Entrega-4.pdf
Entrega-5.pdf
Entrega-6.pdf
Entrega-8.pdf

apuntes

-

Apuntes

He publicado nuevos apuntes de 2º Física Cuántica: Apuntes

Tema-1.pdf
Tema-2.pdf
Tema-3.pdf

ejercicios

-

Ejercicios resueltos

He publicado nuevos ejercicios de 2º Física Cuántica: Ejercicios resueltos

Hoja-1.pdf
Hoja-2.pdf
Hoja-3.pdf
Hoja-4.pdf
Hoja-5.pdf
Hoja-6.pdf

ejercicios

-

Ejercicios Física Cuantica

He publicado nuevos ejercicios de 2º Física Cuántica: Ejercicios Física Cuantica

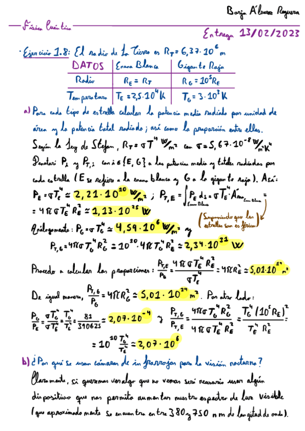
Ejercicio-1.8.pdf
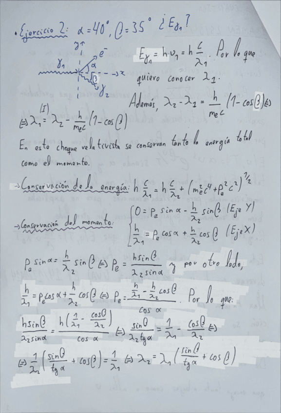
Ejercicio-2.3.pdf
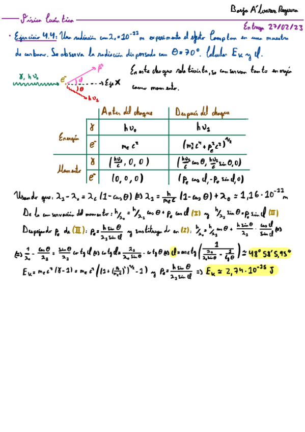
Ejercicio-4.4.pdf
Ejercicio-5.5.pdf
Ejercicio-6.6.pdf
Ejercicio-8.5.pdf

He publicado nuevos ejercicios de 2º Física Cuántica: Ejers-cuantica-PAs-y-TGs-1.pdf

73 páginas

He publicado nuevos ejercicios de 2º Física Cuántica: Hoja9-resueltos-QF.pdf

3 páginas

He publicado nuevos ejercicios de 2º Física Cuántica: Hoja8-resueltos-QF.pdf

3 páginas

He publicado nuevos ejercicios de 2º Física Cuántica: Hoja6-resueltos-QF.pdf

4 páginas

He publicado nuevos ejercicios de 2º Física Cuántica: Hoja5-resueltos-QF.pdf

2 páginas

He publicado nuevos ejercicios de 2º Física Cuántica: Hoja4-resueltos-QF.pdf

2 páginas

He publicado nuevos ejercicios de 2º Física Cuántica: Hoja3-TGs-QF.pdf

1 página

He publicado nuevos ejercicios de 2º Física Cuántica: Hoja2-resueltos-QF.pdf

2 páginas

He publicado nuevos ejercicios de 2º Física Cuántica: Hoja14-resueltos-QF.pdf

13 páginas

He publicado nuevos ejercicios de 2º Física Cuántica: Hoja13-TGs-resueltos-QF.pdf

2 páginas

He publicado nuevos ejercicios de 2º Física Cuántica: Hoja12-resueltos-QF.pdf

17 páginas

He publicado nuevos ejercicios de 2º Física Cuántica: Hoja11-resueltos-QF.pdf

2 páginas

He publicado nuevos ejercicios de 2º Física Cuántica: Hoja10-TGs-resueltos-QF.pdf

2 páginas

He publicado nuevos ejercicios de 2º Física Cuántica: Hoja1-resueltos-QF.pdf

4 páginas

He publicado nuevos apuntes de 2º Física Cuántica: Radiacion-de-cuerpo-negro.pdf

8 páginas

He publicado nuevos apuntes de 2º Física Cuántica: Efecto-fotoelectrico.pdf

7 páginas

He publicado nuevos apuntes de 2º Física Cuántica: Efecto-Compton.pdf

4 páginas

He publicado nuevos apuntes de 2º Física Cuántica: Estructura-Atomica.pdf

9 páginas

He publicado nuevos apuntes de 2º Física Cuántica: Postulado-de-De-Broglie.pdf

8 páginas

He publicado nuevos apuntes de 2º Física Cuántica: Funcion-de-onda.pdf

18 páginas

He publicado nuevos apuntes de 2º Física Cuántica: Teoria-Formal-de-la-Mecanica-Cuantica.pdf

13 páginas

He publicado nuevos examenes de 2º Física Cuántica: examen-resuelto-2020.pdf

7 páginas

apuntes

-

Teoría

He publicado nuevos apuntes de 2º Física Cuántica: Teoría

Atomo-Hidrogeno.pdf
atomo-H-I.pdf
AtomoH-II.pdf
atomo-H-II.pdf
AtomoH-III.pdf
atomo-H-III.pdf