Física de altas energías

chevron_left
chevron_right
Todo
Apuntes
Ejercicios
Exámenes
chevron_left
chevron_right

ejercicios

-

PROBLEMAS + SOLUCIONES (HEP)

He publicado nuevos ejercicios de 4º Física de altas energías: PROBLEMAS + SOLUCIONES (HEP)

Hoja-2-Hoja-1-esta-en-el-formulario.pdf
4.pdf
3.pdf

He publicado nuevos apuntes de 4º Física de altas energías: Formulario-Falta-tema-7-work-in-progress.pdf

6 páginas

He publicado nuevos apuntes de 4º Física de altas energías: Representaciones-y-Reglas-de-Young.pdf

1 página

He publicado nuevos apuntes de 4º Física de altas energías: Tablita-del-modelo-estandar-mas-explicativa.pdf

1 página
Anónimo

@Anónimo

examenes

-

ExamenesFAE

examenes de los ultimos años, se repiten mucho ;)

examen-FAE-ordinaria-28-mayo-2018.pdf
examen-FAE-ordinaria-31-mayo-2017.pdf
examen-FAE-ordinaria-mayo-2020.pdf
examen-FAE-ordinaria-24-mayo-2019.pdf
Anónimo

@Anónimo

ejercicios

-

Problemas

problemas resueltos de la asignatura

Hoja-3-Enunciadios.pdf
Hoja-2-Enunciados.pdf
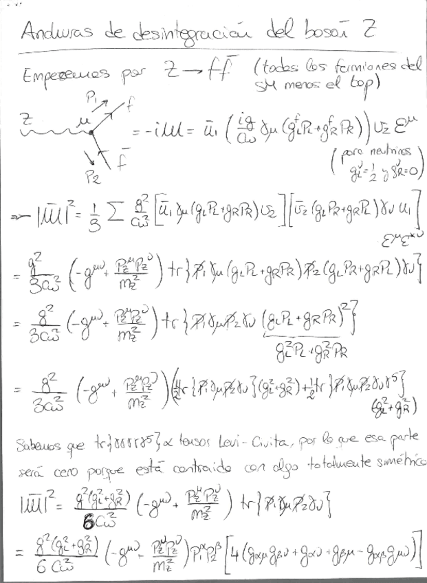
AnchuraZ.pdf
Hoja-1-Soluciones.pdf
Hoja-4-Enunciados.pdf
Hoja-2-Soluciones.pdf
Anónimo

@Anónimo

apuntes

-

ApuntesProfesora

apuntes mªjoseherrero

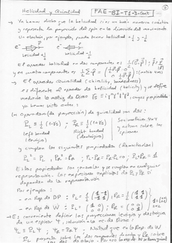
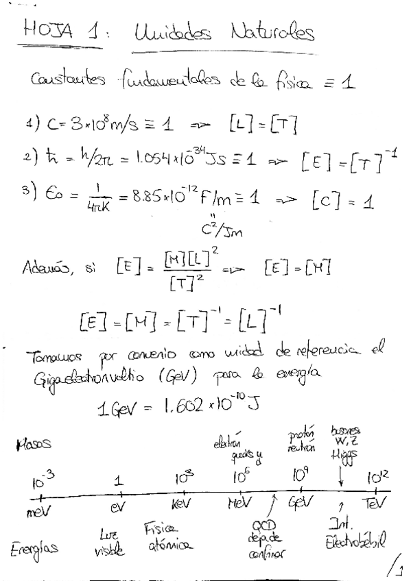
FAE-BI-T1-3.pdf
Propertiesofgammamatrices.pdf
FAE-BI-T2.pdf
FAE-BI-T1-2.pdf
FAE-BI-T1-3-Cont.pdf
FAE-BIII-T7-2-a.pdf
¡Estás al día!

¡Estás al día!

Has visto todos los archivos