Física de la Materia Condensada

chevron_left
chevron_right
Todo
Apuntes
Ejercicios
Exámenes
Otros
publication
chevron_left
chevron_right

alguien tiene los ejercicios de Sols resueltos? porfi

apuntes

-

Apuntes por temas (LaTeX)

He publicado nuevos apuntes de 4º Física de la Materia Condensada: Apuntes por temas (LaTeX)

T1-Electrones-con-interacciones.pdf
T2-Teoria-cuantica-de-muchos-cuerpos.pdf
T3-Teoria-cuantica-del-transporte-electronico.pdf
T4-Superconductividad-y-superfluidez.pdf
T5-Magnetismo.pdf

Tema 1

17 páginas

He publicado nuevos apuntes de 4º Física de la Materia Condensada: FORMULARIO-FMC.pdf

2 páginas

examenes

-

Examenes resueltos

He publicado nuevos examenes de 4º Física de la Materia Condensada: Examenes resueltos

Examenes-resueltos.pdf
examenes-FMC-2019-2023.pdf

examenes

-

EXAMENES 'RESUELTOS'

He publicado nuevos examenes de 4º Física de la Materia Condensada: EXAMENES 'RESUELTOS'

Examen-Junio-2023-Localizacion-debil-FMC.pdf
Mayo-2023-FMC.pdf

He publicado nuevos apuntes de 4º Física de la Materia Condensada: FormularioFMC.pdf

3 páginas

Exámenes

Resulta que si te fijas, muchas de las preguntas que va haciendo en los exámenes se van repitiendo a lo largo de los años. No sé si alguien tiene pensado hacerlos y subirlos pero estarían genial si algún alma caritativa se anima a ello. Yo estoy haciendo algunos ejercicios así que si alguien se anima a subirlos nos los podemos repartir

apuntes

-

Apuntes 2024

He publicado nuevos apuntes de 4º Física de la Materia Condensada: Apuntes 2024

T1a-Electrones-con-interacciones-v2.pdf
T1b-v2-Electrones-con-interacciones.pdf
T1c-v2-Electrones-con-interacciones.pdf
T2a-quantum-many-body.pdf
T2z-PN-segunda-cuantizacion.pdf
T2b-e-ph-cuantizado.pdf

He publicado nuevos otros de 4º Física de la Materia Condensada: GUIA-DOCENTE-Fisica-de-la-Materia-Condensada.pdf

2 páginas

He publicado nuevos apuntes de 4º Física de la Materia Condensada: ApuntesMateriaCondensada.pdf

pdf
Anónimo

@Anónimo

He publicado nuevos apuntes de 4º Física de la Materia Condensada: Enunciados-Examenes-2019-y-2020.pdf

8 páginas

He publicado nuevos examenes de 4º Física de la Materia Condensada: Examen-Extraordinario-FMC-2021.pdf

2 páginas

He publicado nuevos apuntes de 4º Física de la Materia Condensada: ApuntesMateriaCondensada.pdf

69 páginas

ejercicios

-

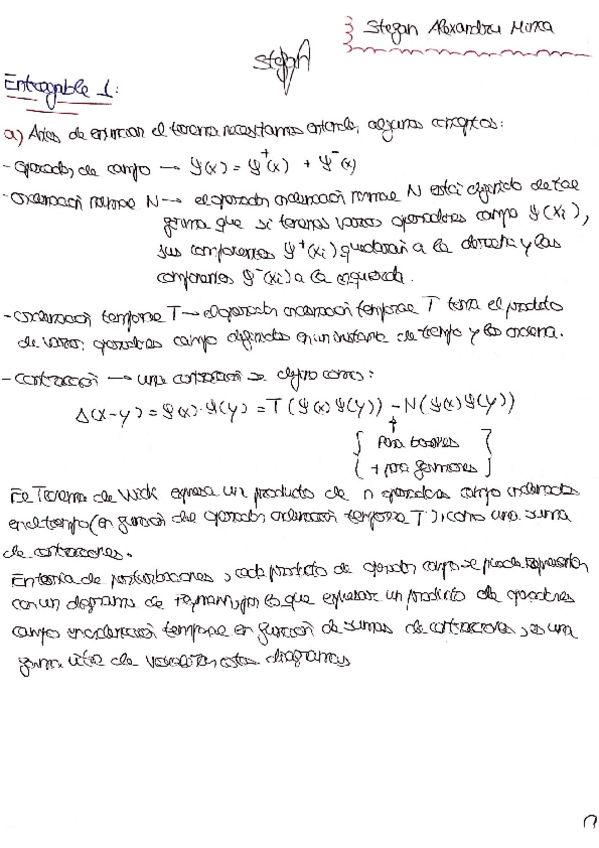
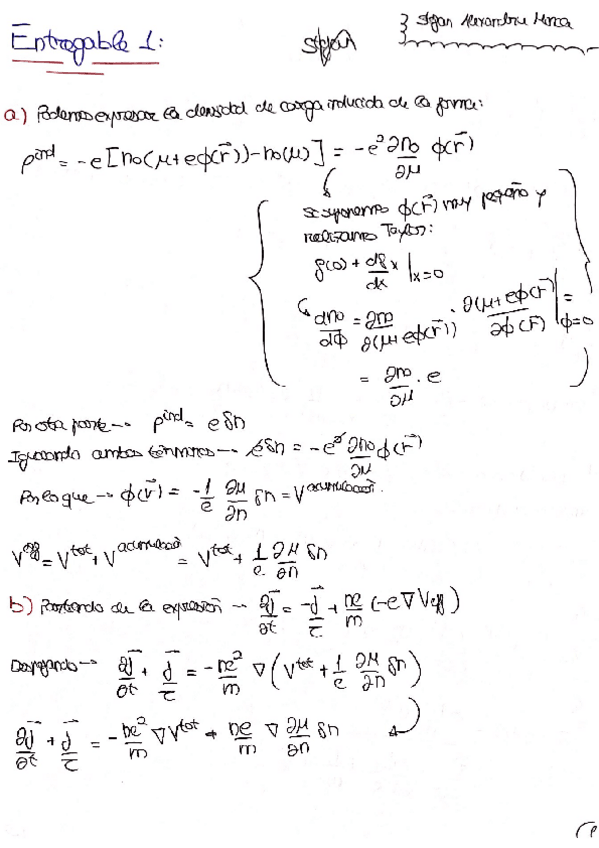
Entregables-Enunciados y soluciones

He publicado nuevos ejercicios de 4º Física de la Materia Condensada: Entregables-Enunciados y soluciones

Entregable-hoja-1p.pdf
Hoja-1-electrones-interacciones-v2.pdf
Hoja-3-transporte-electronico-v2.pdf
Hoja-1p-eqw-macrosc-v3.pdf
Prob-clase-FMC-Hoja3p-Minca-StefanAlexandru.pdf
Prob-clase-FMC-Hoja2-Minca-StefanAlexandru.pdf

apuntes

-

Tema 3 Materia Condensada

He publicado nuevos apuntes de 4º Física de la Materia Condensada: Tema 3 Materia Condensada

Apendice Tema 3.pdf
Tema-3-Condensada.pdf

apuntes

-

Apuntes Tema 1 Materia Condensada

He publicado nuevos apuntes de 4º Física de la Materia Condensada: Apuntes Tema 1 Materia Condensada

Materia condensada tema 1.pdf
¡Estás al día!

¡Estás al día!

Has visto todos los archivos