chevron_left
chevron_right
Todo
Apuntes
Ejercicios
chevron_left
chevron_right

apuntes

-

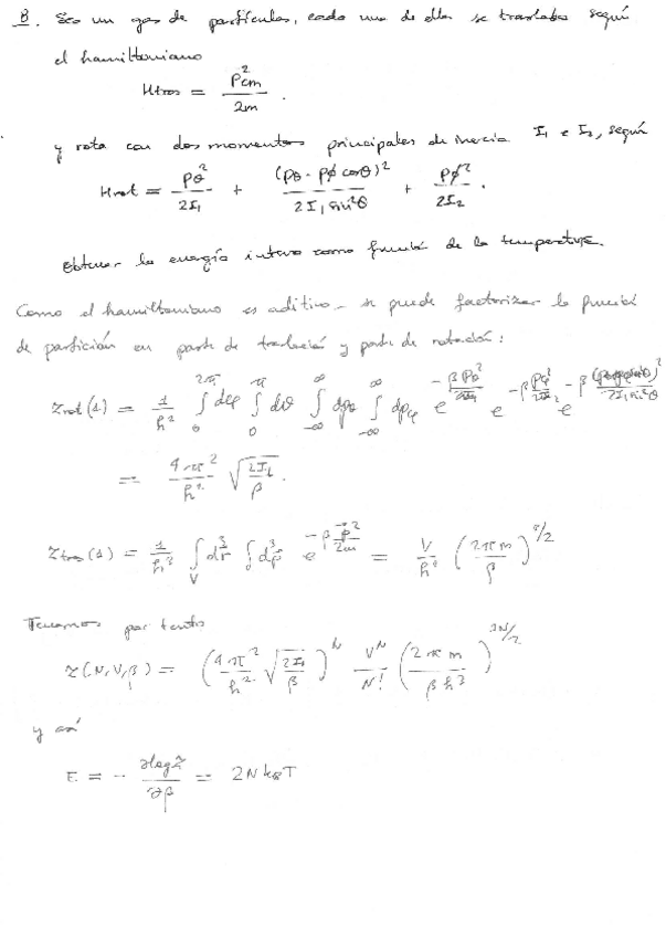
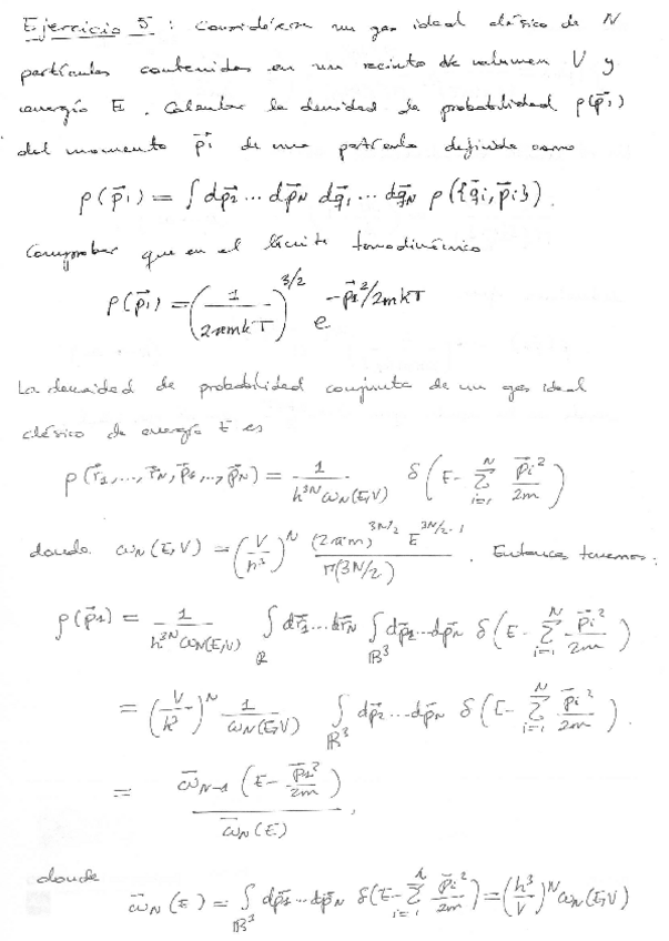
Soluciones problemas extra

He publicado nuevos apuntes de 5º Física de la Materia Condensada: Soluciones problemas extra

Problemas-Adicionales-Parte-2.pdf
Problemas-Adicionales-Parte-3.pdf
Problemas-Adicionales-Parte-1.pdf

ejercicios

-

Soluciones problemas

He publicado nuevos ejercicios de 5º Física de la Materia Condensada: Soluciones problemas

Problemas-Parte-6.pdf
Problemas-Parte-4.pdf
Problemas-Parte-3.pdf
Problemas-Parte-7.pdf
Problemas-Parte-2.pdf
Problemas-Parte-5.pdf
¡Estás al día!

¡Estás al día!

Has visto todos los archivos