Portada
Asignatura
Grado en Biología (UGR)
Física de los Procesos Biológicos
Fecha de subida
21 ene 2017
Categoría
apuntes
Información
Todos los ejercicios resueltos (caen en examen)
Etiquetas
Prácticas - Practica 3 Pendulo_simple.pdf
pdf
7 páginas
246
0
Exámenes - EXAMEN PRACTICAS FISICA .pdf
4 páginas
253
1
Exámenes - EXAMEN FISICA .pdf
1 página
317
Exámenes - Examen física practicas.pdf
3 páginas
227
Prácticas - Practica 2 Principio_de_Arquimedes.pdf
26 páginas
180
Prácticas - Practica 4 Tension_superficial.pdf
177
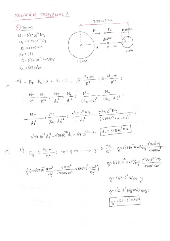
Apuntes - RELACION FISICA.pdf
13 páginas
147
Exámenes - Solucion examen de física.pdf
189
Prácticas - Practica 1 Medidas_de_precision.pdf
5 páginas
135
Exámenes - Examen Resuelto WUOLAH.pdf
6 páginas
188
2
Ejercicios - Relacion-2.pdf
11 páginas
224
Exámenes - Examen de PRACTICAS de FISICA.pdf
194
Ejercicios - problemas de biomecánica.pdf
132
Exámenes - 20170123_211833.jpg
jpg
17
Exámenes - EXAMEN-FINAL-FISICA-2020-2021.pdf
2 páginas
269
Ejercicios - Relacion-4-Hidrostatica-hidrodinamica-de-fluidos-ideales-y-reales.pdf
138
Ejercicios - relación I.pdf
123
Ejercicios - Relacion-1-fisica-resuelta.pdf
158
Ejercicios - Relacion-1.pdf
10 páginas
166
Prácticas - LEY-DE-OHM.docx
docx
49
Información
Todos los ejercicios resueltos (caen en examen)