Física del Estado Sólido

chevron_left
chevron_right
Todo
Apuntes
Ejercicios
Exámenes
Otros
chevron_left
chevron_right

He publicado nuevos ejercicios de 4º Física del Estado Sólido: Problemes-dels-electrons-de-bloch-i-classificacio-dels-solids.pdf

8 páginas

He publicado nuevos ejercicios de 4º Física del Estado Sólido: Problemes-estats-electronics.pdf

10 páginas

examenes

-

Parciales estat solid

He publicado nuevos examenes de 4º Física del Estado Sólido: Parciales estat solid

Bloc-1-primavera-2021.pdf
Bloc-1-tardor-2021.pdf
Abril-2024.pdf
Desembre-2022.pdf
Novembre-2023.pdf
Desembre-2023.pdf

examenes

-

Finals Estat solid

He publicado nuevos examenes de 4º Física del Estado Sólido: Finals Estat solid

Gener-2022.pdf
Gener-2023.pdf
Gener-2024.pdf
Juny-2022.pdf
Juny-2023.pdf
Juny-2024.pdf

He publicado nuevos ejercicios de 4º Física del Estado Sólido: Problemes-difraccio-elastica-i-cristalografia.pdf

7 páginas

Problemas del bloque 2 y algunos del bloque 3 que habría que seguir con el powerpoint...

16 páginas

Continuación de mis apuntes

3 páginas

Apuntes para seguir las presentaciones de clase. En la segunda mitad hemos pasado a español pero los pdf están en cat.

21 páginas

apuntes

-

RESUMS de FiEstaSo

He publicado nuevos apuntes de 4º Física del Estado Sólido: RESUMS de FiEstaSo

FIESTASO-bloc1.pdf

El formulario podía ser de 2 caras y me ocupó 1 a letra pequeña, así que se podría hacer más grande

1 página

He publicado nuevos apuntes de 4º Física del Estado Sólido: Problemes-Cristallografia-i-difraccio-elastica.pdf

16 páginas

Tabla de picos de las diferentes cúbicas referidas a la cúbica simple

1 página

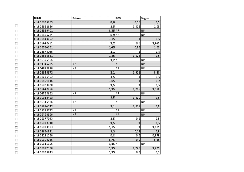
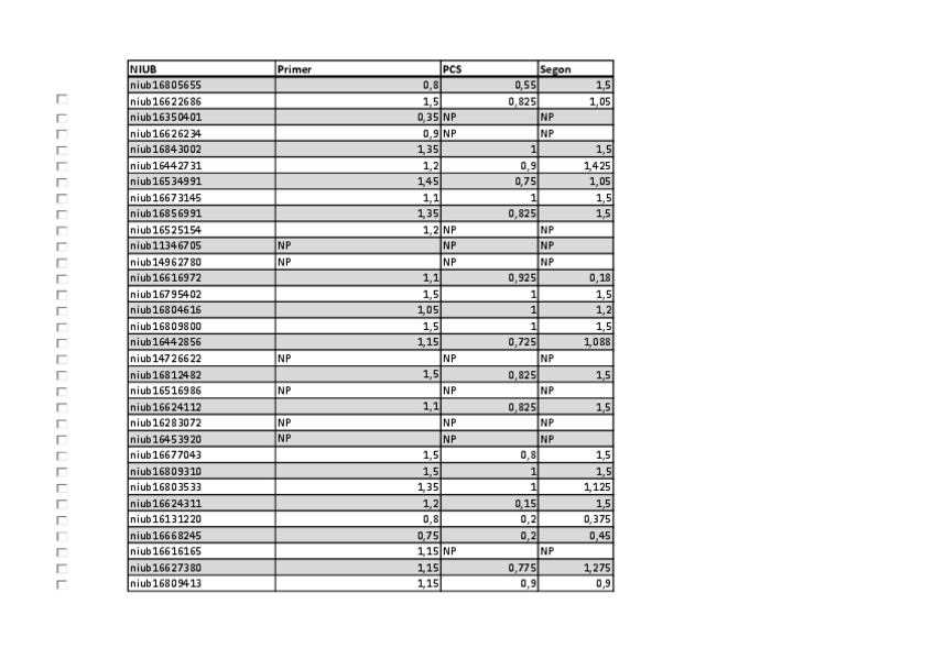
Tablas hechas en excel muy prácticas para resolver los ejercicios en casa

2 páginas

Parte final del primer bloque

6 páginas

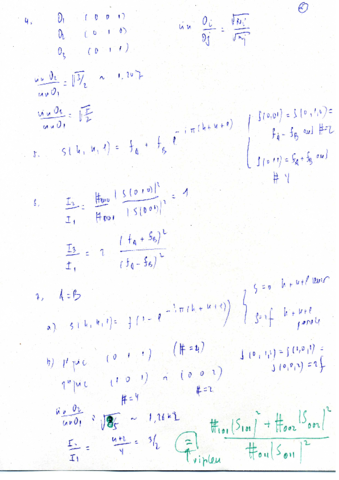
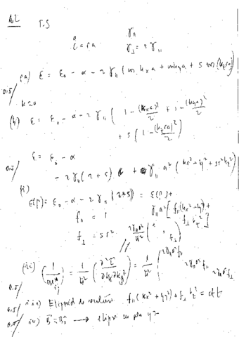
Los enunciados tienen algún dibujo más pero he copiado los importantes

5 páginas

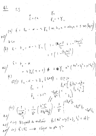
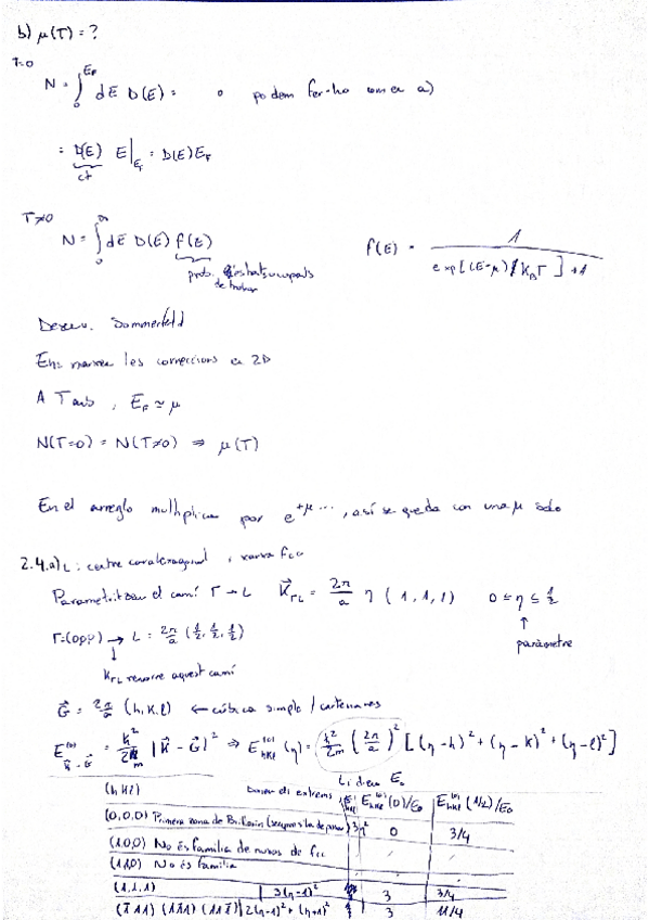
Parte final del segundo tema (en nuestra numeración, el 3). Los próximos días serán de problemas del bloque

3 páginas

He publicado nuevos apuntes de 4º Física del Estado Sólido: estatsolid10.pdf

2 páginas

He publicado nuevos apuntes de 4º Física del Estado Sólido: estatsolid9.pdf

3 páginas

He publicado nuevos ejercicios de 4º Física del Estado Sólido: problemes-estat-solid-2.pdf

3 páginas

He publicado nuevos ejercicios de 4º Física del Estado Sólido: problemes-estat-solid-1.pdf

3 páginas

He publicado nuevos apuntes de 4º Física del Estado Sólido: estatsolid8.pdf

3 páginas

He publicado nuevos apuntes de 4º Física del Estado Sólido: estatsolid7.pdf

4 páginas

He publicado nuevos apuntes de 4º Física del Estado Sólido: estatsolid6.pdf

3 páginas

He publicado nuevos apuntes de 4º Física del Estado Sólido: estatsolid5.pdf

2 páginas

He publicado nuevos apuntes de 4º Física del Estado Sólido: estatsolid4.pdf

4 páginas

He publicado nuevos apuntes de 4º Física del Estado Sólido: estatsolid3.pdf

3 páginas

He publicado nuevos apuntes de 4º Física del Estado Sólido: estatsolid2.pdf

2 páginas

He publicado nuevos apuntes de 4º Física del Estado Sólido: presentacioestatsolid.pdf

1 página

apuntes

-

Apunts a ordinador

He publicado nuevos apuntes de 4º Física del Estado Sólido: Apunts a ordinador

Apunts-7.pdf
Apunts-3.pdf
Apunts-4.pdf
Apunts-2.pdf
Apunts-5.pdf
Apunts-8.pdf

examenes

-

Parcial 2

Recopilació d'enunciats del segon parcial. Anys 2012 a 2014.

2012-tardor.pdf
2013-tardor.pdf
2014-primavera.pdf
2013-primavera.pdf

examenes

-

Parcial 1

Recopilaciço enunciats del primer parcial. Anys 2014, 2013 i 2010.

ParcialTardor2014GM1.pdf
ParcialTArdor2014GT1.pdf
2013-tardor.pdf
2013-primavera.pdf
2010-primavera.pdf
2014-primavera.pdf

examenes

-

Finals enunciats i solucions

Enunciats i respostes dels exàmens de Gener i Juny de 2018.

2018-Juny.pdf
2018-Juny-Problema-B2.pdf
2018-Gener-problema-A1.pdf
2018-Gener-problema-A2.pdf
2018-Gener.pdf
2018-Juny-Problema-B1.pdf

examenes

-

Enunciats TOTS i algunes solucions

He publicado nuevos examenes de 4º Física del Estado Sólido: Enunciats TOTS i algunes solucions

Qualificacions-FES-Primavera-2018-Primera-i-Segona-Prova-i-PCS-sense-noms.pdf
2018-primavera-Problema-cap-de-setmana.pdf
2018-primavera-23marc-Solucio-1.pdf
avaluacio-continuada-fes-primavera-2018.pdf
Solucio-Segona-Prova-18-de-Maig-de-2018.pdf
2018-primavera-23marc-Solucio-2.pdf

He publicado nuevos otros de 4º Física del Estado Sólido: FormulariAlbertRipoll.odt

word

Formulari complet amb totes les fórmules i coses a memoritzar del curs. Imprimible en 1 full. Portable a l'examen.

3 páginas
¡Estás al día!

¡Estás al día!

Has visto todos los archivos