Física del Estado Sólido

chevron_left
chevron_right
Todo
Apuntes
Ejercicios
Exámenes
Otros
PEC
Prácticas
publication
Trabajos
chevron_left
chevron_right

Apuntes básicos y conceptos fundamentales diseñados para servir como guía de estudio, destacando los aspectos más relevantes de la asignatura.

25 páginas

He publicado nuevos practicas de 3º Física del Estado Sólido: Vibraciones de la red y calor especifico de los cristales.pdf.pdf

7 páginas

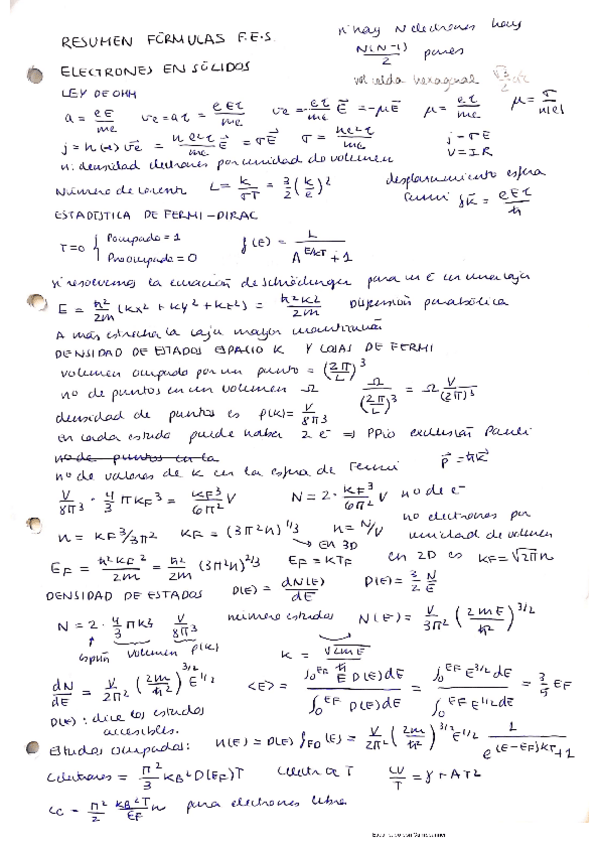
Formulario completo de la asignatura en latex

2 páginas

practicas

-

Prácticas FiEstaSo

He publicado nuevos practicas de 3º Física del Estado Sólido: Prácticas FiEstaSo

EstadoselectronicosBandasdeEnergia.pdf
Vibracionesdered.pdf

He publicado nuevos ejercicios de 3º Física del Estado Sólido: EJ.-2.-Estructuras-cristalinas-F.-Estado-Solido-resueltos-en-clase.pdf

7 páginas

He publicado nuevos apuntes de 3º Física del Estado Sólido: Resumenes-E.Sol.pdf

17 páginas

He publicado nuevos apuntes de 3º Física del Estado Sólido: FisicadelEstadoSolidoTemas1-2-3.pdf

41 páginas

Práctica de Estados Electrónicos resuelta.

9 páginas

He publicado nuevos apuntes de 3º Física del Estado Sólido: formulario.pdf

5 páginas

He publicado nuevos apuntes de 3º Física del Estado Sólido: tema-5-fenomenos-cooperativos.pdf

5 páginas

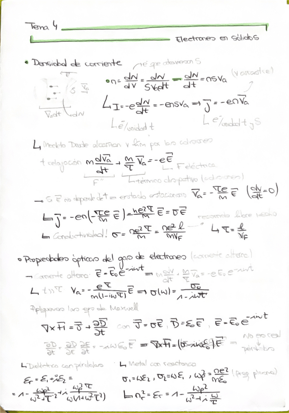
He publicado nuevos apuntes de 3º Física del Estado Sólido: tema-4-electrones-en-solidos.pdf

30 páginas

He publicado nuevos apuntes de 3º Física del Estado Sólido: tema-3-dinamica-de-la-red-cristalina.pdf

18 páginas

He publicado nuevos apuntes de 3º Física del Estado Sólido: tema-2-enlaces-cristalinos.pdf

12 páginas

He publicado nuevos apuntes de 3º Física del Estado Sólido: tema-1-estructuras-cristalinas.pdf

20 páginas

ejercicios

-

Ejercicio Resueltos 2024-2025

He publicado nuevos ejercicios de 3º Física del Estado Sólido: Ejercicio Resueltos 2024-2025

Hoja-1.pdf
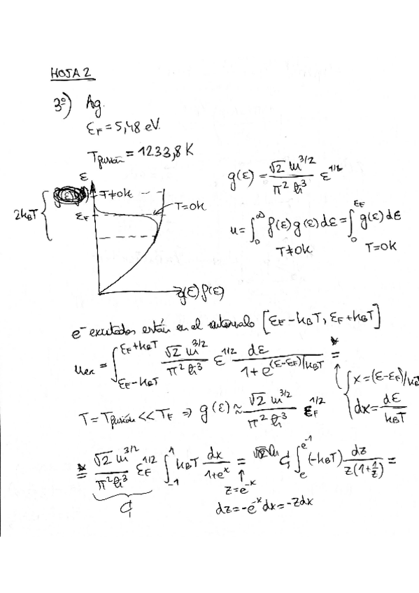
Hoja-2.pdf
Hoja-3.pdf
Hoja-4.pdf
Hoja-5.pdf

apuntes

-

Apuntes Física del Estado Sólido 2024-2025

He publicado nuevos apuntes de 3º Física del Estado Sólido: Apuntes Física del Estado Sólido 2024-2025

5.-Introduccion-a-los-fenomenos-cooperativos.pdf
3.-Vibraciones-de-la-red.pdf
4.-Electrones-en-solidos.pdf

He publicado nuevos apuntes de 3º Física del Estado Sólido: ExamenSolido2425emilio.pdf

4 páginas

ejercicios

-

EjerciciosPorTemas-FísicaDelEstadoSólido

He publicado nuevos ejercicios de 3º Física del Estado Sólido: EjerciciosPorTemas-FísicaDelEstadoSólido

FIESTASO-EjerciciosT1.pdf
FIESTASO-EjerciciosT2.pdf
FIESTASO-EjerciciosT3.pdf
FIESTASO-EjerciciosT4.pdf
FIESTASO-EjerciciosT5.pdf

apuntes

-

ApuntesCompletos-FísicaDelEstadoSólido

He publicado nuevos apuntes de 3º Física del Estado Sólido: ApuntesCompletos-FísicaDelEstadoSólido

FIESTASO-ApuntesT1.pdf
FIESTASO-ApuntesT2.pdf
FIESTASO-ApuntesT3.pdf
FIESTASO-ApuntesT4.pdf
FIESTASO-ApuntesT5.pdf

He publicado nuevos otros de 3º Física del Estado Sólido: formularioestadosolido.pdf

2 páginas

Profesor Charles Creffield

68 páginas

He publicado nuevos apuntes de 3º Física del Estado Sólido: efectoscooperativosjaviertornos.pdf

6 páginas

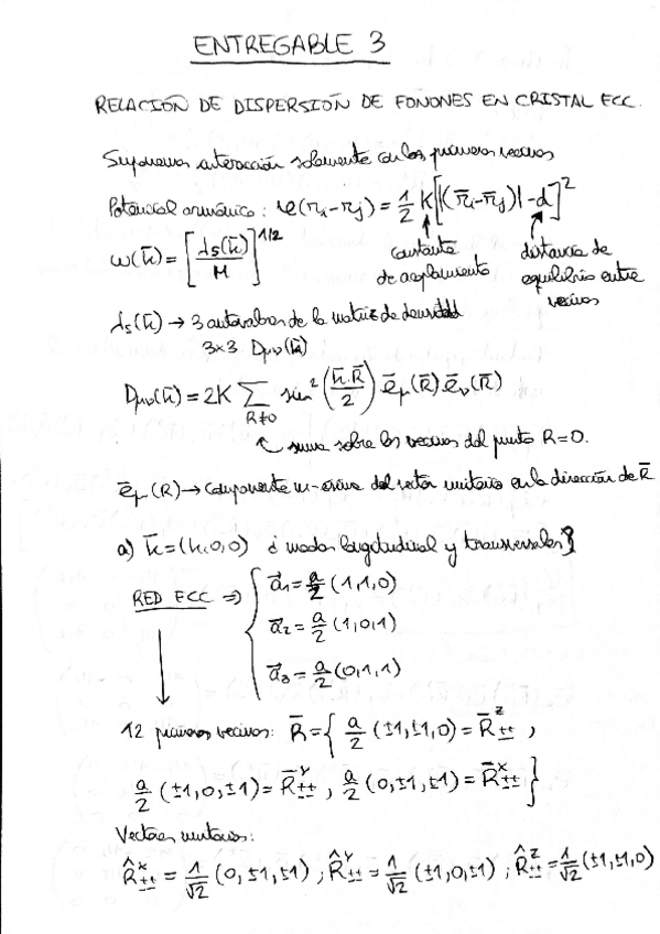
He publicado nuevos ejercicios de 3º Física del Estado Sólido: EntregablefononesJacoboCarlos.pdf

4 páginas

He publicado nuevos apuntes de 3º Física del Estado Sólido: Formulario-de-examen.pdf

5 páginas

He publicado nuevos apuntes de 3º Física del Estado Sólido: Resumen-Tema-5.pdf

1 página

Formulario-Resumen

2 páginas

He publicado nuevos apuntes de 3º Física del Estado Sólido: Formulario-fisica-del-estado-solido.pdf

3 páginas

He publicado nuevos apuntes de 3º Física del Estado Sólido: resumen-tema-1-solido.pdf

4 páginas

He publicado nuevos apuntes de 3º Física del Estado Sólido: formulario-estado-solido.pdf

5 páginas

apuntes

-

Formulario Patricia

No entró superconductividad, pero solo puede ocupar 2 caras

Formulario-Patricia.pdf
Miniatura no disponible
main.tex

He publicado nuevos ejercicios de 3º Física del Estado Sólido: Ejercicios-Tema-2-FES.pdf

4 páginas

He publicado nuevos apuntes de 3º Física del Estado Sólido: Apuntes-Tema-2-FES.pdf

9 páginas

He publicado nuevos ejercicios de 3º Física del Estado Sólido: Ejercicios-Tema-1-FES.pdf

6 páginas

He publicado nuevos apuntes de 3º Física del Estado Sólido: Apuntes-Tema-1-FES.pdf

13 páginas

He publicado nuevos examenes de 3º Física del Estado Sólido: ExamenesRESUELTOS.pdf

10 páginas

ejercicios

-

TODOS los ejercicios resueltos

He publicado nuevos ejercicios de 3º Física del Estado Sólido: TODOS los ejercicios resueltos

EjerciciosParte1.pdf
EjerciciosTema3.pdf
EjerciciosParte2.pdf

apuntes

-

Resúmenes TODOS los temas

He publicado nuevos apuntes de 3º Física del Estado Sólido: Resúmenes TODOS los temas

ResumenTema2.pdf
ResumenTema4.pdf
ResumenTema5.pdf
Entregable4.pdf
ResumenTema1.pdf

He publicado nuevos apuntes de 3º Física del Estado Sólido: FormularioFES.pdf

5 páginas

He publicado nuevos apuntes de 3º Física del Estado Sólido: FESResumen.pdf

7 páginas

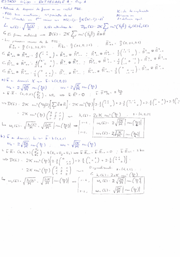
He publicado nuevos apuntes de 3º Física del Estado Sólido: Entregable-4-Jacobo-2024.pdf

2 páginas

He publicado nuevos apuntes de 3º Física del Estado Sólido: Entregable-3-Jacobo-2024.pdf

1 página

He publicado nuevos apuntes de 3º Física del Estado Sólido: Entregable-2-Jacobo-2024.pdf

1 página

He publicado nuevos apuntes de 3º Física del Estado Sólido: Entregable-1-Jacobo-2024.pdf

3 páginas

He publicado nuevos ejercicios de 3º Física del Estado Sólido: Problemas-Tema-5.pdf

6 páginas

Soluciones de los ejercicios correspondientes al tema del magnetismo

5 páginas

He publicado nuevos apuntes de 3º Física del Estado Sólido: Apuntes-completos.pdf

37 páginas

He publicado nuevos ejercicios de 3º Física del Estado Sólido: Problemas-Tema-4.pdf

8 páginas

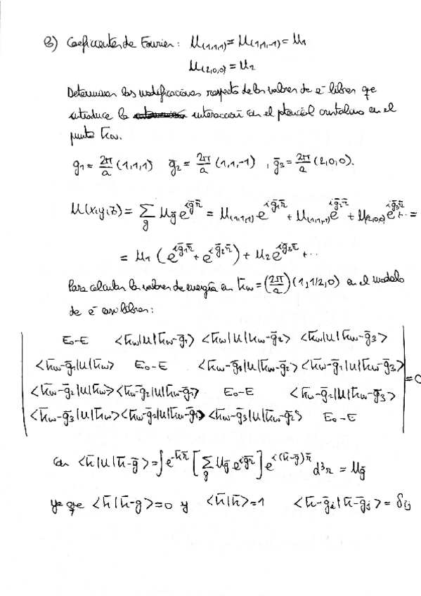
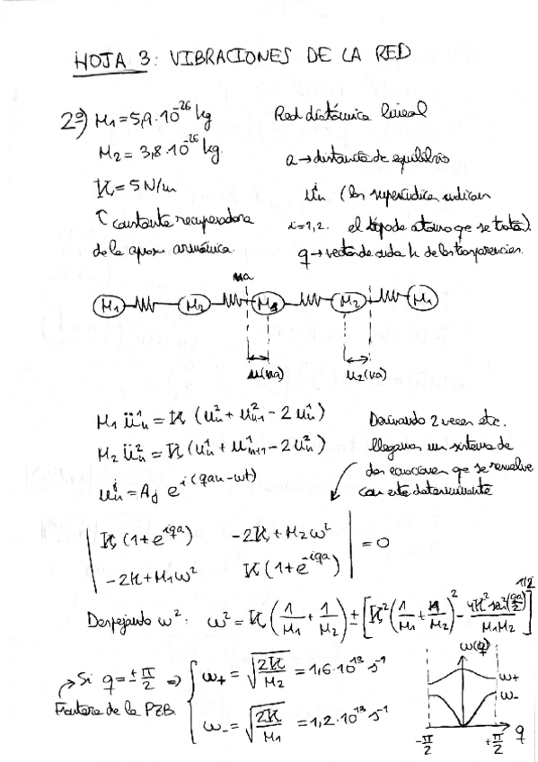
Todos los ejercicios resueltos de la hoja 3 (vibraciones de la red)

13 páginas

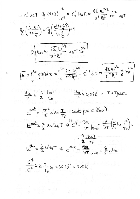
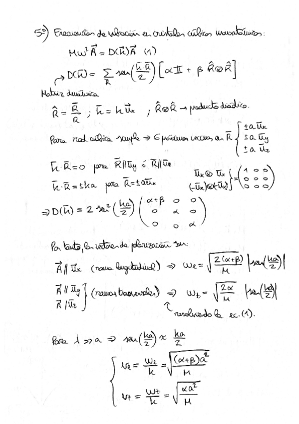
Solución ejercicios entregable espectro de fonones

8 páginas

He publicado nuevos apuntes de 3º Física del Estado Sólido: Apuntes-Tema-4.pdf

20 páginas

ejercicios

-

Entregables corregidos

He publicado nuevos ejercicios de 3º Física del Estado Sólido: Entregables corregidos

T1-Entregable.pdf
T2-Entregable.pdf
T3-Entregable.pdf

apuntes

-

Apuntes por temas

He publicado nuevos apuntes de 3º Física del Estado Sólido: Apuntes por temas

T1-fiestaso.pdf
T2-fiestaso.pdf
T4-Fiestaso.pdf
T3-fiestaso.pdf

Estructura Cristalina y Cohesión

15 páginas

Electrones

15 páginas

Electrones fuertemente ligados en un cristal FCC

4 páginas

Electrones casi libres en un cristal FCC

4 páginas

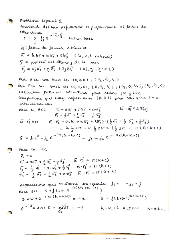
Estructura cristalina y difracción de rayos X

8 páginas

He publicado nuevos ejercicios de 3º Física del Estado Sólido: Problemas-Tema-3.pdf

8 páginas

He publicado nuevos apuntes de 3º Física del Estado Sólido: Apuntes-Tema-3.pdf

13 páginas

He publicado nuevos apuntes de 3º Física del Estado Sólido: Entregable-1.pdf

6 páginas