Física del Estado Sólido

chevron_left
chevron_right
Todo
Apuntes
Ejercicios
Exámenes
Trabajos
chevron_left
chevron_right

ejercicios

-

Todos los ejercicio resueltos

He publicado nuevos ejercicios de 3º Física del Estado Sólido: Todos los ejercicio resueltos

Tema-1--parte-1.pdf
Tema-1--parte-2.pdf
Tema-2.pdf
Tema-3-4-y-5.pdf

He publicado nuevos ejercicios de 3º Física del Estado Sólido: Problemas-tema-1.pdf

19 páginas

Hasta donde entra en el primer parcial

10 páginas

He publicado nuevos apuntes de 3º Física del Estado Sólido: Apuntes-teoria-tema-3.pdf

6 páginas

He publicado nuevos apuntes de 3º Física del Estado Sólido: Apuntes-teoria-tema-2.pdf

4 páginas

He publicado nuevos apuntes de 3º Física del Estado Sólido: Apuntes-teoria-tema-1.pdf

11 páginas

ejercicios

-

Boletín Sólido mñn

He publicado nuevos ejercicios de 3º Física del Estado Sólido: Boletín Sólido mñn

Boletin-1.1-Solido-ideal-indices-de-miller-y-simetrias.pdf
Boletin-1.2-simetrias.pdf
Boletin-1.3-Materiales.pdf

apuntes

-

Powerpoint clase Diego - gr mañana

He publicado nuevos apuntes de 3º Física del Estado Sólido: Powerpoint clase Diego - gr mañana

Powerpoint-clase-pt1.pdf
Powerpoint-clase-pt2.pdf
Powerpoint-clase-pt3.pdf

He publicado nuevos apuntes de 3º Física del Estado Sólido: FES.-Tema-4.1.-Vibraciones-reticulares.pdf

6 páginas

He publicado nuevos apuntes de 3º Física del Estado Sólido: FES.-Tema-3.1.-Excitaciones-en-el-solido.pdf

9 páginas

He publicado nuevos apuntes de 3º Física del Estado Sólido: FES.-Tema-2.3.-Difraccion-II.pdf

4 páginas

He publicado nuevos apuntes de 3º Física del Estado Sólido: FES.-Tema-2.2.-Difraccion-I.pdf

6 páginas

He publicado nuevos apuntes de 3º Física del Estado Sólido: FES.-Tema-2.1.-Espacio-reciproco.pdf

4 páginas

He publicado nuevos apuntes de 3º Física del Estado Sólido: FES.-Tema-1.3.-Defectos.pdf

7 páginas

He publicado nuevos apuntes de 3º Física del Estado Sólido: FES.-Tema-1.2.-Enlaces-en-el-solido.pdf

4 páginas

apuntes

-

Apuntes Bravo 2018

Apuntes de todos los temas de la asignatura cuando la daba Bravo.

Tema01Estructuradelossolidos.pdf
Tema02Difraccionporsolidos.pdf
Tema03Vibracionesreticulares.pdf
Tema05ElectronesensolidosI.pdf
Tema06ElectronesensolidosII.pdf
Tema07Dinamicasemiclasicadeelectronesensolidos.pdf

resumen tema 1

4 páginas

apuntes

-

TEMARIO FÍSICA DEL ESTADO SÓLIDO MÜNSTER

TEMARIO COMPLETO DE FÍSICA DEL ESTADO SÓLIDO EN LA UNIVERSIDAD DE MÜNSTER

TEMA-2-SOLIDO-MUNSTER.pdf
TEMA-3-SOLIDO-MUNSTER.pdf
TEMA-4-SOLIDO-MUNSTER.pdf
TEMA-5-SOLIDO-MUNSTER.pdf
TEMA-6-SOLIDO-MUNSTER.pdf
TEMA-7-Y-8-SOLIDO-MUNSTER.pdf

Boletines de ejercicios 2022/23 resueltos del 1 al 6

92 páginas

Asignatura mal hecha toda desordenada toda webiada

2 páginas

Apuntes propios hechos a LaTeX, del curso 2023/24. No están completos pero seguro que son de utilidad aún así

83 páginas

apuntes

-

FORMULARIOS

He publicado nuevos apuntes de 3º Física del Estado Sólido: FORMULARIOS

ESTADO-SOLIDO-I.pdf
ESTADO-SOLIDO-I-Lo-fundamental.pdf
ESTADO-SOLIDO-II.pdf
Anónimo

@Anónimo

He publicado nuevos examenes de 3º Física del Estado Sólido: Examen-Problemas-1-Parcialito-Abril-2025.JPG

Imagen
Anónimo

@Anónimo

He publicado nuevos examenes de 3º Física del Estado Sólido: Examen-Teoria-1-Parcialito-Abril-2025.JPG

Imagen

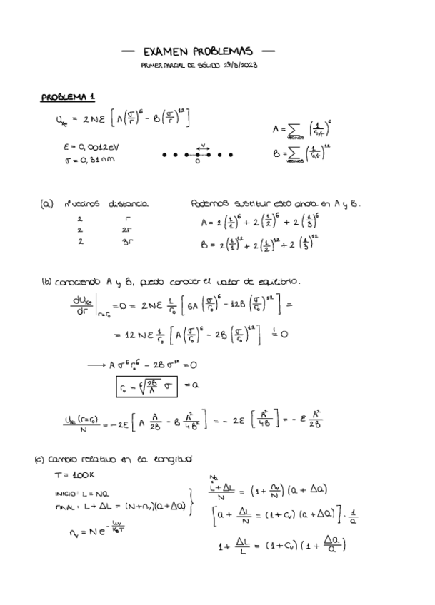
He publicado nuevos examenes de 3º Física del Estado Sólido: 1er-parcial-2023-manana-resuelto.pdf

6 páginas

ejercicios

-

Primer parcial

Teoría y ejercicios

resumen-teoria-del-tema-1-al-4-manana.pdf
problemas-resueltos-1parcial-manana-y-tarde.pdf

He publicado nuevos ejercicios de 3º Física del Estado Sólido: Ejercicios Propuestos Resueltos Física del Estado Sólido.pdf

13 páginas

apuntes

-

Exámenes 20-21

He publicado nuevos apuntes de 3º Física del Estado Sólido: Exámenes 20-21

2o-parcial-teoria-enunciado-extra-20-21.pdf
Enunciado-problemas-2-parcial-20-21.pdf
Soluciones-teoria-20-21.pdf

He publicado nuevos examenes de 3º Física del Estado Sólido: 1er-parcial-Blazquez-2021.pdf

3 páginas

apuntes

-

Apuntes completos Latex

He publicado nuevos apuntes de 3º Física del Estado Sólido: Apuntes completos Latex

Tema4Propiedadestermicasreticulares-1.pdf
Tema2Difraccionporsolidos.pdf
Tema3Vibracionesreticulares.pdf
Tema5Electronesensolidos.pdf
Tema-1.pdf

He publicado nuevos apuntes de 3º Física del Estado Sólido: Propiedades-termicas-de-los-solidos.pdf

26 páginas

He publicado nuevos apuntes de 3º Física del Estado Sólido: Electrones-en-un-potencial-periodico.pdf

18 páginas

He publicado nuevos apuntes de 3º Física del Estado Sólido: Electrones-en-solidos.pdf

18 páginas

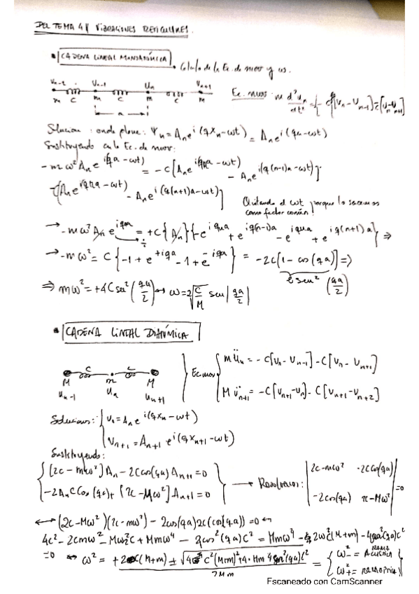
He publicado nuevos apuntes de 3º Física del Estado Sólido: Dinamica-reticular.pdf

31 páginas

apuntes

-

Temas FES Mañana

He publicado nuevos apuntes de 3º Física del Estado Sólido: Temas FES Mañana

Solido-2.pdf
Solido-3.pdf
Solido-4.pdf
Miniatura no disponible
Solido-5.pdf
Solido-6.pdf

He publicado nuevos examenes de 3º Física del Estado Sólido: Primer-Parcial-2023.pdf

2 páginas

Muy buen resumen y muy completo para todo el curso!

57 páginas

ejercicios

-

Boletines resueltos y corregidos

He publicado nuevos ejercicios de 3º Física del Estado Sólido: Boletines resueltos y corregidos

Boletin-1.pdf
Boletin-2.pdf
Boletin-4.pdf
Boletin-5.pdf

He publicado nuevos examenes de 3º Física del Estado Sólido: Correccion-primer-parcial.pdf

4 páginas

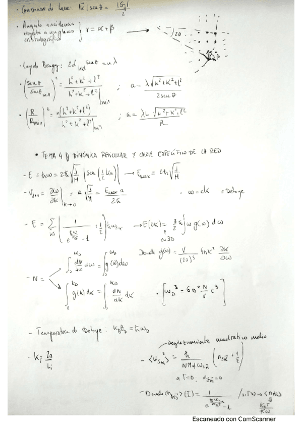
He publicado nuevos apuntes de 3º Física del Estado Sólido: Tema-5-Esquema.pdf

6 páginas

He publicado nuevos apuntes de 3º Física del Estado Sólido: Tema-4-Esquema.pdf

7 páginas

He publicado nuevos apuntes de 3º Física del Estado Sólido: Tema-3-Esquema.pdf

4 páginas

Boletín 6 y 7 no incluidos

65 páginas

apuntes

-

Apuntes Blazquez completados

He publicado nuevos apuntes de 3º Física del Estado Sólido: Apuntes Blazquez completados

Tema-8.pdf
Tema-3.pdf
Tema-5.pdf
Tema-7.pdf
Tema-2.pdf
Tema-4.pdf

He publicado nuevos examenes de 3º Física del Estado Sólido: Primer-examen-Teoria-FES-Cumbreras-2023.pdf

1 página

Recopilación De teoría

30 páginas

He publicado nuevos apuntes de 3º Física del Estado Sólido: examenes resueltos.pdf

3 páginas

He publicado nuevos apuntes de 3º Física del Estado Sólido: CamScanner-11-20-2022-11.pdf

2 páginas

He publicado nuevos apuntes de 3º Física del Estado Sólido: cosas importantes de teoria.pdf

6 páginas

He publicado nuevos apuntes de 3º Física del Estado Sólido: ResolucionBoletin6electron-libre.pdf

10 páginas

He publicado nuevos apuntes de 3º Física del Estado Sólido: ResolucionBoletin720211.pdf

11 páginas

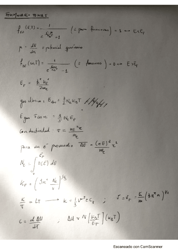
He publicado nuevos apuntes de 3º Física del Estado Sólido: Formulario-FES.pdf

2 páginas

He publicado nuevos apuntes de 3º Física del Estado Sólido: Magnetismo-debil.pdf

17 páginas

He publicado nuevos apuntes de 3º Física del Estado Sólido: Dinamica-e.pdf

11 páginas

He publicado nuevos apuntes de 3º Física del Estado Sólido: Modelos-e-cuasilibre.pdf

13 páginas

He publicado nuevos apuntes de 3º Física del Estado Sólido: Propiedades-Termicas.pdf

10 páginas

He publicado nuevos apuntes de 3º Física del Estado Sólido: Tema-4-fonones.pdf

8 páginas

He publicado nuevos apuntes de 3º Física del Estado Sólido: Tema-4-vibraciones.pdf

9 páginas

He publicado nuevos apuntes de 3º Física del Estado Sólido: Trma-3-excitaciones.pdf

6 páginas

He publicado nuevos apuntes de 3º Física del Estado Sólido: Tema-2-espacio-reciproco-y-difraccion.pdf

13 páginas