chevron_left
chevron_right
Todo
Apuntes
Ejercicios
chevron_left
chevron_right

He publicado nuevos ejercicios de 3º Física Estadística: Problemas-Parte-1.pdf

7 páginas

apuntes

-

Apuntes Completos Fisica Estadistica

He publicado nuevos apuntes de 3º Física Estadística: Apuntes Completos Fisica Estadistica

Apuntes-Fisica-Estadistica-Parte-5.pdf
Apuntes-Fisica-Estadistica-Parte-3.pdf
Apuntes-Fisica-Estadistica-Parte-4.pdf
Apuntes-Fisica-Estadistica-Parte-6.pdf
Apuntes-Fisica-Estadistica-Parte-1.pdf
Apuntes-Fisica-Estadistica-Parte-2.pdf

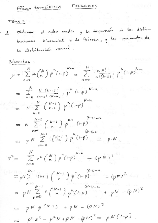
He publicado nuevos ejercicios de 3º Física Estadística: Fisica-estadistica-ejs.pdf

30 páginas

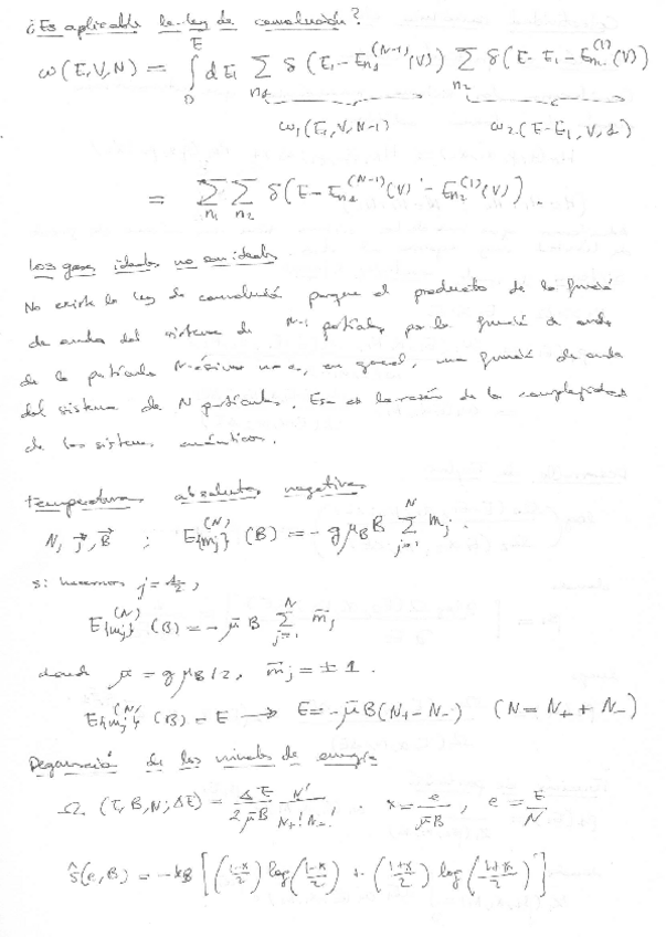
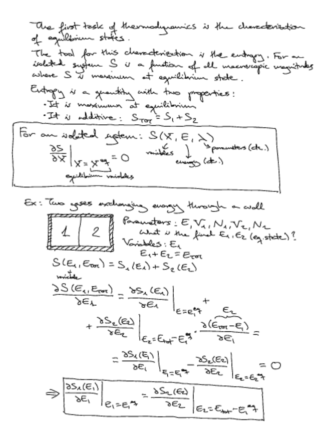
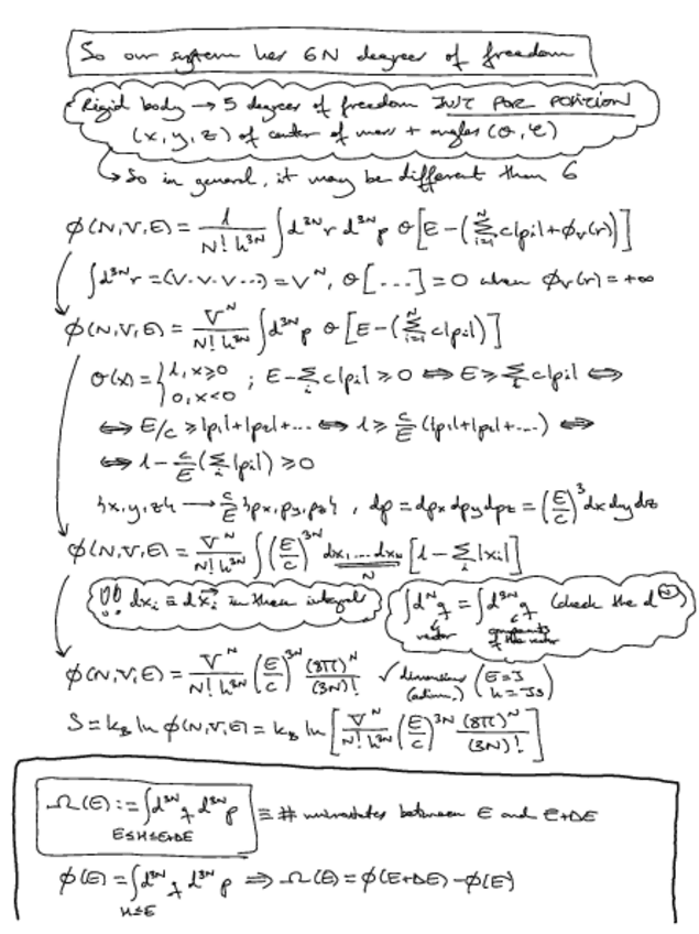
He publicado nuevos apuntes de 3º Física Estadística: Fisica-estadistica.pdf

68 páginas

He publicado nuevos apuntes de 3º Física Estadística: fisica-estadistica.pdf

68 páginas
¡Estás al día!

¡Estás al día!

Has visto todos los archivos