Física: Física I

chevron_left
chevron_right
Todo
Apuntes
Ejercicios
Exámenes
Prácticas
chevron_left
chevron_right

ejercicios

-

Ejercicios Resueltos

He publicado nuevos ejercicios de 1º Física: Física I: Ejercicios Resueltos

FMT25-Aula-PreguntasyEjerciciosPropuestos-02.pdf
FMT25-PreguntasyEjerciciosDeExamenes-02.pdf
FMT25-ProblemasPropuestos-02.pdf
FMT25-SolucionPreguntasyEjerciciosDeExamenes-02.pdf
FMT25-Aula-PreguntasyEjerciciosPropuestos-01.pdf
FMT25-PreguntasyEjerciciosDeExamenes-01.pdf

examenes

-

Exámenes Resueltos

He publicado nuevos examenes de 1º Física: Física I: Exámenes Resueltos

Enunciados-1.pdf
Enunciados.pdf
Soluciones.pdf

Ejercicios del tema de introducción de física 1. No prometo que estén bien ni que estén todos. Los saltos de página son cosa de OneNote.

4 páginas

Resumen del tema de introducción de Física 1.

5 páginas

Resumen del tema de cinemática del punto de Física 1.

2 páginas

Ejercicios de cinemática. No prometo que estén bien ni que estén todos. Los saltos de página son cosa de OneNote.

3 páginas

Resumen del tema de Newton de Física 1.

3 páginas

Ejercicios de las leyes de Newton. No prometo que estén bien ni que estén todos. Los saltos de página son cosa de OneNote.

4 páginas

Resumen del tema de trabajo y energía cinética de Física 1.

3 páginas

Final Exam. Physics 1. 2025

1 página

Apuntes extra de fisica

Miniatura no disponible
zip

He publicado nuevos apuntes de 1º Física: Física I: BOLETIN-DE-PROBLEMAS-2022-2023.pdf

96 páginas

Boletín 4 de Física 1. Son del tema 4: Trabajo y Energía.

26 páginas

Soluciones y enunciados del boletín 3 de física 1. Son del tema 3: Leyes de Newton.

22 páginas

Boletín 2 de Física 1, son del tema 2 cinemática del punto. Incluye la resolución del boletín con sus enunciados.

16 páginas

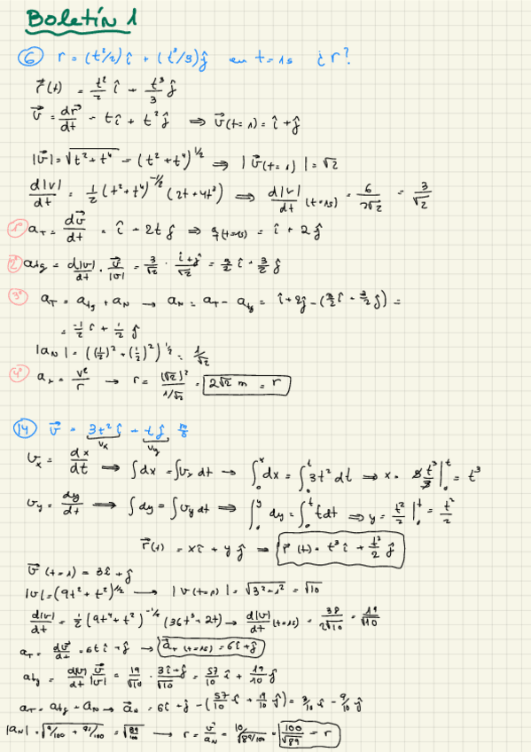
Boletín 1 de Física 1 con los enunciados y las soluciones resueltas por el profesor.

13 páginas

Apuntes tema 2 (inglés)

11 páginas
Anónimo

@Anónimo

Apuntes tema 1 física (inglés)

7 páginas

He publicado nuevos apuntes de 1º Física: Física I: Apuntes-final-fisica-I.pdf

8 páginas

He publicado nuevos examenes de 1º Física: Física I: ExFI22-23XunoProbsSol.pdf

3 páginas

He publicado nuevos examenes de 1º Física: Física I: ExFIXuno23-24ECF2ProbsSol.pdf

3 páginas

He publicado nuevos examenes de 1º Física: Física I: ExFIXuno23-24ECF2ProbsSol-1.pdf

3 páginas

He publicado nuevos examenes de 1º Física: Física I: ExFIXuno23-24ECC2Final-resuelto-1.pdf

3 páginas

He publicado nuevos examenes de 1º Física: Física I: ExFIEnero24-25C1Sol.pdf

2 páginas

He publicado nuevos examenes de 1º Física: Física I: ExFIEnero24-25F1Sol.pdf

4 páginas

He publicado nuevos examenes de 1º Física: Física I: ECA2R3Sol.pdf

2 páginas

He publicado nuevos examenes de 1º Física: Física I: ECA1-v2ASol.pdf

3 páginas
Anónimo

@Anónimo

He publicado nuevos examenes de 1º Física: Física I: EXAMEN-FINAL-EVALUACION-CONTINUA-FISICA-I-2022-2023.pdf

6 páginas
Anónimo

@Anónimo

Formulario Física I

9 páginas

examenes

-

Exámenes Física I

He publicado nuevos examenes de 1º Física: Física I: Exámenes Física I

2018Enerosol.pdf
2019EneroProblema1sol.pdf
2019EneroProblema2sol.pdf
2020EneroProblema1.pdf
2020EneroProblema2.pdf
2021EneroProblemas.pdf

Practica

5 páginas

Practica

4 páginas

ejercicios

-

boletines fisica I resueltos

He publicado nuevos ejercicios de 1º Física: Física I: boletines fisica I resueltos

Problemas10.pdf
Problemas9.pdf
Problemas7.pdf
Problemas5.pdf
Problemas2.pdf
Problemas-I.pdf

He publicado nuevos apuntes de 1º Física: Física I: ExFI23-24ECF1XaneiroProbsSol-3.pdf

2 páginas

He publicado nuevos examenes de 1º Física: Física I: problema-examen-estatica-1.jpg

Imagen

He publicado nuevos apuntes de 1º Física: Física I: ProblemsDynamicsandEnergy.pdf

10 páginas
Anónimo

@Anónimo

Ejercicios de Estática, Dos de la PVP-3

4 páginas

He publicado nuevos apuntes de 1º Física: Física I: 04.DinamicaPuntoTraballoEnerxia24-25.pdf

30 páginas

He publicado nuevos apuntes de 1º Física: Física I: 02.2Cinematica2D3D24-25.pdf

26 páginas

He publicado nuevos apuntes de 1º Física: Física I: 02.1-Cinematica1D24-25.pdf

22 páginas

He publicado nuevos apuntes de 1º Física: Física I: 01-VECTORES2024-25.pdf

25 páginas
Anónimo

@Anónimo

Contiene dos ejercicios de la PVP-2 del (24/25)

3 páginas
Anónimo

@Anónimo

Contiene un ejercicio de la PVP-2

2 páginas
Anónimo

@Anónimo

Apuntes sobre teoría de campos (resumen)

1 página
Anónimo

@Anónimo

Formulario estática de física 1

2 páginas

Apuntes de las prácticas

2 páginas
Anónimo

@Anónimo

Ejercicios GUÍA

7 páginas

He publicado nuevos ejercicios de 1º Física: Física I: Ejercicios-Gravitacion-Fisica-I-Resueltos-APOYO.pdf

4 páginas

He publicado nuevos ejercicios de 1º Física: Física I: Ejercicios-MAS-Fisica-I-APOYO.pdf

7 páginas

He publicado nuevos ejercicios de 1º Física: Física I: Ejercicios-Dinamica-FisicaI-Resueltos-APOYO.pdf

11 páginas

He publicado nuevos ejercicios de 1º Física: Física I: Ejercicios-Cinematica-Fisica-I-Resueltos-APOYO.pdf

20 páginas

He publicado nuevos apuntes de 1º Física: Física I: MEMORIAS-FISICA-.docx.pdf

17 páginas

He publicado nuevos apuntes de 1º Física: Física I: APUNTES-1-PARCIAL-FISICA-1.pdf

4 páginas

He publicado nuevos apuntes de 1º Física: Física I: 07-DINAMICASOLIDORIGIDO.pdf

27 páginas
Anónimo

@Anónimo

He publicado nuevos apuntes de 1º Física: Física I: Ejercicios-Fluidos.pdf

1 página
Anónimo

@Anónimo

He publicado nuevos apuntes de 1º Física: Física I: Ejercicios-Muelles-Pendulos.pdf

5 páginas
Anónimo

@Anónimo

He publicado nuevos apuntes de 1º Física: Física I: Ejercicios-Dinamica.pdf

16 páginas
Anónimo

@Anónimo

He publicado nuevos apuntes de 1º Física: Física I: Dudas-Fisica-1.pdf

2 páginas
Anónimo

@Anónimo

He publicado nuevos apuntes de 1º Física: Física I: Ejercicios-Cinematica.pdf

13 páginas
Anónimo

@Anónimo

He publicado nuevos examenes de 1º Física: Física I: Junio-2019.pdf

5 páginas