Física General: Electricitat i Magnetisme

chevron_left
chevron_right
Todo
Apuntes
Ejercicios
Exámenes
Prácticas
chevron_left
chevron_right

Resum esquemàtic del tema d'electroestàtica (primer parcial).

1 página

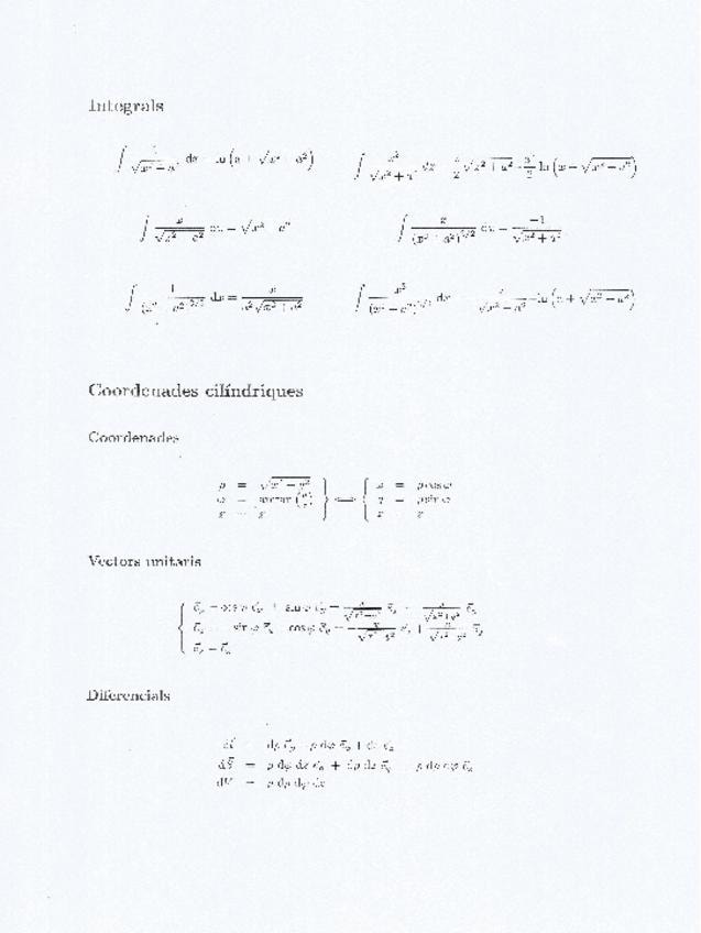
Full amb integrals i coordenades proporcionades a l'examen.

2 páginas

Apunts primer parcial electro (ara ja els podeu obrir)

20 páginas

Apunts Electrostàtica primer parcial

20 páginas

He publicado nuevos practicas de 1º Física General: Electricitat i Magnetisme: P3TesterElectro.pdf

11 páginas

He publicado nuevos examenes de 1º Física General: Electricitat i Magnetisme: i-enunciats-PrimerParcial-25.pdf

8 páginas

Esta resumit pero no us mireu només això q sino us follaran als exàmens

20 páginas

Tot el temari de l'assignatura

47 páginas

He publicado nuevos apuntes de 1º Física General: Electricitat i Magnetisme: 1.-Electroestatica.pdf

20 páginas

No es perfecto, recordad mirar las soluciones!

36 páginas

No es perfecto, recordad mirar las soluciones!

20 páginas

No es perfecto, recordad mirar las soluciones!

56 páginas

He publicado nuevos apuntes de 1º Física General: Electricitat i Magnetisme: Formulari-P2.pdf

11 páginas

He publicado nuevos apuntes de 1º Física General: Electricitat i Magnetisme: Formulario-Electrostatica.pdf

6 páginas

He publicado nuevos examenes de 1º Física General: Electricitat i Magnetisme: 2n-Parcial-2024-EM.pdf

2 páginas

He publicado nuevos examenes de 1º Física General: Electricitat i Magnetisme: ExamenRecuperacio-1rParcial-2017-2018.pdf

1 página

He publicado nuevos examenes de 1º Física General: Electricitat i Magnetisme: Examen-1rParcial-2017-2018.pdf

1 página
Anónimo

@Anónimo

He publicado nuevos examenes de 1º Física General: Electricitat i Magnetisme: Primerparcialelectrostatica202324.pdf

2 páginas

He publicado nuevos practicas de 1º Física General: Electricitat i Magnetisme: Pactica-2EiM.xlsx

excel

He publicado nuevos ejercicios de 1º Física General: Electricitat i Magnetisme: 2a-entrega-2022-23.pdf

10 páginas

practicas

-

Practicas

He publicado nuevos practicas de 1º Física General: Electricitat i Magnetisme: Practicas

P3.pdf

He publicado nuevos apuntes de 1º Física General: Electricitat i Magnetisme: 4.-Leyes-Del-Electromagnetismo.pdf

3 páginas

He publicado nuevos apuntes de 1º Física General: Electricitat i Magnetisme: Problemes-Induccio.pdf

6 páginas

He publicado nuevos apuntes de 1º Física General: Electricitat i Magnetisme: Induccio.pdf

4 páginas

He publicado nuevos apuntes de 1º Física General: Electricitat i Magnetisme: T2.-Magnetostatica.pdf

7 páginas

He publicado nuevos apuntes de 1º Física General: Electricitat i Magnetisme: Problemes-Magnetostatica.pdf

14 páginas

He publicado nuevos examenes de 1º Física General: Electricitat i Magnetisme: Primer-Parcial-2022.pdf

2 páginas

He publicado nuevos examenes de 1º Física General: Electricitat i Magnetisme: Recuperacio-1r-parcial.pdf

2 páginas

He publicado nuevos examenes de 1º Física General: Electricitat i Magnetisme: 1r-parcial-Electro.pdf

2 páginas

He publicado nuevos apuntes de 1º Física General: Electricitat i Magnetisme: Formulari-Electrostatica.pdf

3 páginas

He publicado nuevos examenes de 1º Física General: Electricitat i Magnetisme: 1r-Parcial-Electro-2021.pdf

4 páginas

He publicado nuevos ejercicios de 1º Física General: Electricitat i Magnetisme: Problemes-Electrostatica.pdf

13 páginas

He publicado nuevos apuntes de 1º Física General: Electricitat i Magnetisme: Electrostatica.pdf

9 páginas

He publicado nuevos apuntes de 1º Física General: Electricitat i Magnetisme: Apuntes-Electromagnetismo.pdf

9 páginas

He publicado nuevos practicas de 1º Física General: Electricitat i Magnetisme: INFORME-PRACTICA-2-EM.pdf

5 páginas

He publicado nuevos practicas de 1º Física General: Electricitat i Magnetisme: INFORME-PRACTICA-1-EM.pdf

4 páginas
Anónimo

@Anónimo

He publicado nuevos apuntes de 1º Física General: Electricitat i Magnetisme: electrostatica.pdf

1 página

apuntes

-

Apuntes

He publicado nuevos apuntes de 1º Física General: Electricitat i Magnetisme: Apuntes

T2-Energia-i-Potencial-electrostatic.pdf
T3-Electrostatica-en-medis-materials.pdf
T4-Corrent-electric.pdf
T5-Energia-magnetica.pdf
Simbologia-Apuntes-Ramiro-Perez.pdf

examenes

-

Exàmens Electromagnetisme 2019

He publicado nuevos examenes de 1º Física General: Electricitat i Magnetisme: Exàmens Electromagnetisme 2019

Examen-Practiques-2019.pdf
Examen-Electrosatica-2019.pdf
Examen-Magnetostatica-2019.pdf

apuntes

-

Formulari ElectroMagnetisme

Formulari ElectroMagnetisme + Formulari Pràctiques

Formulari-Practiques.pdf
Formulari-ElectroMagnetisme.pdf
¡Estás al día!

¡Estás al día!

Has visto todos los archivos