Todo
Apuntes
Ejercicios
Exámenes
PEC
Prácticas
chevron_left
chevron_right

Resumen de los temas 3 y 4 - Campo Eléctrico, con las fórmulas principales destacadas y los conceptos importantes explicados

4 páginas

ejercicios

-

Apuntes y ejers academia

He publicado nuevos ejercicios de 1º Física General II: Apuntes y ejers academia

Fisica-IIT1.pdf
Fisica-IIT2.pdf
Fisica-IIT3.pdf
Fisica-IIT4.pdf
Fisica-IIT5.pdf
Fisica-IIT6.pdf

He publicado nuevos apuntes de 1º Física General II: Espejos-esfericos.pdf

2 páginas

Resumen de los temas 1 y 2 - Termodinámica, con las fórmulas principales destacadas y los conceptos importantes explicados

3 páginas

apuntes

-

APUNTES Y EJERC FISICA II

Apuntes y ejercicios finales de cada tema

Tema-1-TERMODINAMICA-1.pdf
Tema-2-TERMODINAMICA-II.pdf
Tema-4-CAMPO-ELECTRICO-II.pdf
Tema-5-CORRIENTE-ELECTRICA.pdf
Tema-3-CAMPO-ELECTRICO-I.pdf

apuntes

-

Física II

Apuntes de física II

Bloque-4-Fisica-II.pdf
Bloque-6-Fisica-II.pdf
Bloque-5-Fisica-II.pdf
Bloque-1-Fisica-II.pdf
Bloque-3-Fisica-II.pdf
Bloque-2-Fisica-II.pdf

apuntes

-

FORMULARIOS FÍSICA II

He publicado nuevos apuntes de 1º Física General II: FORMULARIOS FÍSICA II

FORMULARIO-FISICA-II-REDUCIDO.pdf
FORMULARIO-INDUCCION-ELECTROMAGNETICA-FISICA-II.pdf
FORMULARIO-CAMPO-MAGNETICO-FISICA-II.pdf
FORMULARIO-CORRIENTE-ALTERNA-FISICA-II.pdf
FORMULARIO-CORRIENTE-ELECTRICA-FISICA-II.pdf
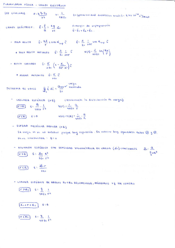
FORMULARIO-CAMPO-ELECTRICO-FISICA-II.pdf

He publicado nuevos apuntes de 1º Física General II: fisica-ii-formulario-TEMA-10.-ONDAS-MECANICAS.pdf

3 páginas

He publicado nuevos apuntes de 1º Física General II: fisica-ii-formulario-TEMA-11.-ONDAS-ELECTROMAGNETICAS..pdf

1 página

He publicado nuevos ejercicios de 1º Física General II: fisica-ii-ejercicios-TEMA-10.pdf

2 páginas

He publicado nuevos ejercicios de 1º Física General II: fisica-ii-ejercicios-TEMA-12.pdf

3 páginas

He publicado nuevos ejercicios de 1º Física General II: fisica-ii-ejercicios-TEMA-11.pdf

1 página

He publicado nuevos apuntes de 1º Física General II: fisica-ii-formulario-tema-5.pdf

4 páginas

He publicado nuevos apuntes de 1º Física General II: fisica-ii-formulario-tema-6.pdf

2 páginas

He publicado nuevos ejercicios de 1º Física General II: fisica-ii-ejercicios-tema-6.pdf

4 páginas
Anónimo

@Anónimo

He publicado nuevos examenes de 1º Física General II: FISICA-II-EXAMENES-2011-2024.pdf

146 páginas

Todas las fórmulas de física general 2, así como alguna explicación.

12 páginas

He publicado nuevos apuntes de 1º Física General II: IMG4868.jpeg

Imagen

He publicado nuevos apuntes de 1º Física General II: FORMULARIO-FISICA-II.pdf

11 páginas

Apuntes Tema 12 Óptica

2 páginas

Apuntes Tema 11 Ondas Electromagnéticas

1 página

Apuntes Tema 10 Ondas Mecánicas

3 páginas

He publicado nuevos apuntes de 1º Física General II: Fisica-II-Formularios.pdf

13 páginas

He publicado nuevos apuntes de 1º Física General II: Tema-12-Fisica-II-Formulario.pdf

1 página

He publicado nuevos apuntes de 1º Física General II: Tema-11-Fisica-II-Formulario.pdf

1 página

He publicado nuevos apuntes de 1º Física General II: Tema-10-Fisica-II-Formulario-1.pdf

1 página

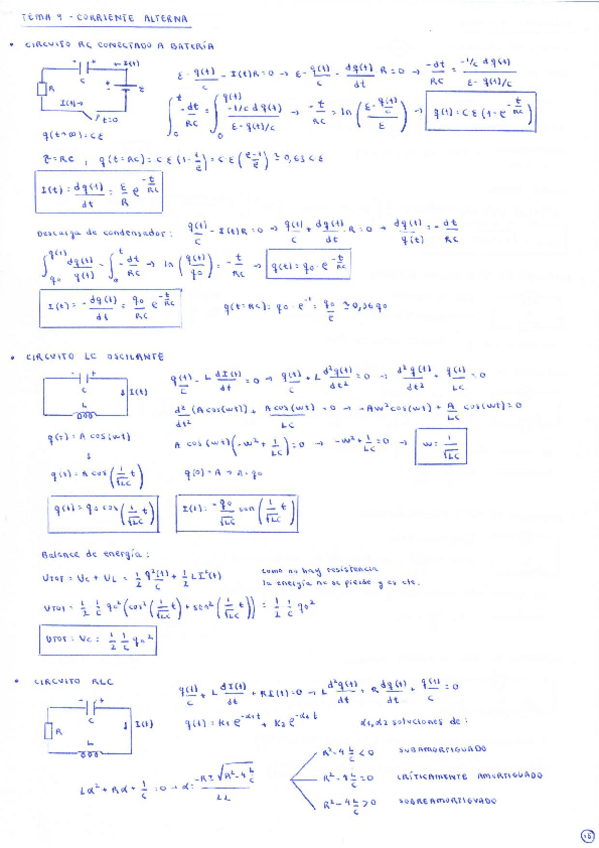
Apuntes Tema 9 Corriente Alterna

3 páginas

Todos los contenidos de la PEC-3 del T1

13 páginas

He publicado nuevos apuntes de 1º Física General II: Tema-9-Fisica-II-Formulario.pdf

1 página

He publicado nuevos apuntes de 1º Física General II: Tema-8-Fisica-II-Formulario.pdf

1 página

Apuntes Tema 8 Inducción Electromagnética

4 páginas

Apuntes Tema 7 Campo Magnético II

3 páginas

He publicado nuevos apuntes de 1º Física General II: ResumenFormulas-Fisica-II.pdf

29 páginas

apuntes

-

Todo Física II

He publicado nuevos apuntes de 1º Física General II: Todo Física II

Tema-1.-Termodinamica-I.pdf
Tema-2.-Termodinamica-II.pdf
Tema-3.-Campo-electrico-I.pdf
Tema-4.-Campo-electrico-II.pdf
Tema-5.-Corriente-electrica.pdf
Tema-6.-Campo-magnetico-I.pdf

apuntes

-

Fisica II

He publicado nuevos apuntes de 1º Física General II: Fisica II

Apuntes-Fisica-II.pdf

He publicado nuevos apuntes de 1º Física General II: Tema-7-Fisica-II-Formulario.pdf

1 página

He publicado nuevos apuntes de 1º Física General II: Tema-6-Fisica-II-Formulario.pdf

1 página

practicas

-

TODAS LAS PRACTICAS

He publicado nuevos practicas de 1º Física General II: TODAS LAS PRACTICAS

Practica-1-Fisica-II.pdf
Practica-2-Fisica-II.pdf
Practica-3-Fisica-II.pdf

apuntes

-

TODO FISICA II (Apuntes + ejercicios examen)

He publicado nuevos apuntes de 1º Física General II: TODO FISICA II (Apuntes + ejercicios examen)

Tema-1 Termodinamica I.pdf
Tema-2-Termodinamica-II.pdf
Tema-3-Campo-Electrico-I.pdf
Tema-4-Campo-Electrico-II.pdf
Tema-6-Campo-Magnetico-I.pdf
Tema-7-Campo-Magnetico-II.pdf

Tema 6 Campo Magnético I

3 páginas

Apuntes de Termodinámica completos, con dibujos y ejemplos.

6 páginas

Este es todo el contenido que entra en la PEP-2 de Física

13 páginas

He publicado nuevos apuntes de 1º Física General II: Tema-5-Fisica-II-Formulario.pdf

1 página

apuntes

-

1º GITI- FÍSICA II- APUNTES COMPLETOS POR TEMAS

He publicado nuevos apuntes de 1º Física General II: 1º GITI- FÍSICA II- APUNTES COMPLETOS POR TEMAS

FISICA-II-TEMAS-1-Y-2-TERMODINAMICA.pdf
FISICA-II-TEMAS-3-Y-4-CAMPO-ELECTRICO.pdf
FISICA-II-TEMA-5-CORRIENTE-ELECTRICA.pdf
FISICA-II-TEMAS-6-Y-7-CAMPO-MAGNETICO.pdf
FISICA-II-TEMA-8-INDUCCION-ELECTROMAGNETICA.pdf
FISICA-II-TEMA-9-CORRIENTE-ALTERNA.pdf

Tema 5 Corriente Eléctrica

2 páginas

Apuntes Tema 4 Campo Eléctrico II

4 páginas

He publicado nuevos apuntes de 1º Física General II: Tema-5-Fisica-II-Apuntes.pdf

4 páginas

Recopilación de las fórmulas del tema 3

2 páginas

Apuntes Tema 3 Campo eléctrico I

5 páginas

He publicado nuevos apuntes de 1º Física General II: Tema-4-Fisica-II-Formulario.pdf

1 página

He publicado nuevos apuntes de 1º Física General II: Tema-4-Fisica-II-Apuntes.pdf

4 páginas

He publicado nuevos apuntes de 1º Física General II: Tema-3-Fisica-II-Formulario.pdf

1 página

Recopilación de las fórmulas necesarias termodinámica

2 páginas

He publicado nuevos apuntes de 1º Física General II: Tema-3-Fisica-II-Apuntes.pdf

4 páginas

He publicado nuevos apuntes de 1º Física General II: Tema-2-Fisica-II-Formulario.pdf

1 página

Hubo un error en los anteriores archivos de este tema que subí, ahora está perfecto

4 páginas

He publicado nuevos apuntes de 1º Física General II: Apuntes-Tema 1 Y 2 -Termodinámica.pdf

5 páginas

He publicado nuevos apuntes de 1º Física General II: Formulario-fisica-II.pdf

2 páginas

He publicado nuevos apuntes de 1º Física General II: Fisica-II.pdf

10 páginas

He publicado nuevos apuntes de 1º Física General II: Tema-1-Fisica-II-Formulario.pdf

1 página