Todo
Apuntes
Ejercicios
Exámenes
Otros
Prácticas
chevron_left
chevron_right

Apuntes de Fisica I de 1ª de Ingenieria mecanica UVA

23 páginas
Anónimo

@Anónimo

examen ordinario problemas 25-26 resuelto física I Ingeniería mecánica Universidad de Valladolid.

8 páginas
Anónimo

@Anónimo

Examen ordinario Cuestiones 25-26 Física I ingeniería mecánica

6 páginas

He publicado nuevos examenes de 1º Física I: Repaso-para-examen.pdf

11 páginas
Anónimo

@Anónimo

Ejercicios resueltos del tema 1 de física cinemática y dinámica de primero de ingeniería mecánica.

19 páginas
Anónimo

@Anónimo

Resumidos y explicados los conceptos de la mejor forma posible

2 páginas
Anónimo

@Anónimo

Resumido y explicados todos los conceptos de la mejor forma posible

2 páginas
Anónimo

@Anónimo

He publicado nuevos examenes de 1º Física I: EXAMEN-ORDINARIO-DE-FISICA-I-problemas-resolucion-reducido-002.pdf

4 páginas
Anónimo

@Anónimo

He publicado nuevos examenes de 1º Física I: Examen-ordinario-de-cuestiones-2324resolucion.pdf

7 páginas
Anónimo

@Anónimo

He publicado nuevos examenes de 1º Física I: Examen-extraordinario-problemas-2324resolucion.pdf

4 páginas
Anónimo

@Anónimo

He publicado nuevos examenes de 1º Física I: EXAMEN-EXTRAORDINARIO-DE-FISICA-Isolucion.pdf

3 páginas
Anónimo

@Anónimo

He publicado nuevos examenes de 1º Física I: EXAMEN-EXTRAORDINARIO-DE-FISICA-ICUESTIONES2024RESOLUCION.pdf

7 páginas
Anónimo

@Anónimo

He publicado nuevos examenes de 1º Física I: EXAMEN-EXTRAORDINARIO-DE-FISICA-I-resolucion-2021.pdf

4 páginas

He publicado nuevos apuntes de 1º Física I: Fisica-I.pdf

33 páginas

He publicado nuevos ejercicios de 1º Física I: ProblemasTema-2resueltos.pdf

11 páginas

He publicado nuevos ejercicios de 1º Física I: ProblemasTema-1resueltos.pdf

13 páginas

He publicado nuevos examenes de 1º Física I: PRIMER-EXAMEN-INTERMEDIO-DE-FISICA-I.-04112025.-MODELO-1.pdf

2 páginas

Práctica 12. VIBRACIÓN DE CUERDAS.

11 páginas

Práctica 9. Aparato de oscilación giratoria CALCULO DE MOMENTOS DE INERCIA

12 páginas

Práctica 7. Estudio de fuerzas.

11 páginas
Anónimo

@Anónimo

examenes

-

Examenes fisica 1

Ejemplos primeros test de fisica

1er-examen-test2324IM12.pdf
1ER-EXAMEN-TESTSOLUCIONES.pdf
1er-examen2223IM12Mod1.pdf
1er-examen2223IM12Mod2.pdf
1er-examen2223IQMod1.pdf
1er-examen2223IQMod2.pdf

He publicado nuevos otros de 1º Física I: Libro-Pocoyo-Fisica-2o-parte.pdf

88 páginas

He publicado nuevos otros de 1º Física I: Libro-Pocoyo-Fisica-I-1o-parte.pdf

86 páginas

He publicado nuevos examenes de 1º Física I: Solucion-Ordinario-25.pdf

2 páginas

He publicado nuevos examenes de 1º Física I: Enunciados-fis.ordi.2025.pdf

1 página

Ejercicios con solución

4 páginas

Examen problemas

2 páginas

Examen problemas

2 páginas

Examen problemas

2 páginas

Examen problemas

2 páginas

He publicado nuevos apuntes de 1º Física I: Formulario-Fisica.pdf

2 páginas

He publicado nuevos examenes de 1º Física I: Examen-ordinario-fisica.-Teoria..pdf

4 páginas

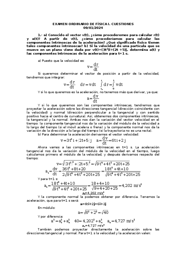
He publicado nuevos examenes de 1º Física I: examen-cuestiones-fisica-24-25.jpg

Imagen

He publicado nuevos examenes de 1º Física I: Examen-ordinario-de-fisica-I-problemas-resolucion2324.docx

word

He publicado nuevos examenes de 1º Física I: Examen-ordinario-de-cuestiones-2324resolucion.docx

word

He publicado nuevos examenes de 1º Física I: Examen-de-cuestionesresoluciAncurso2223.pdf

8 páginas

He publicado nuevos examenes de 1º Física I: EXAMEN-ORDINARIO-DE-FISICA-I2025resolucionproblemas.pdf

5 páginas

He publicado nuevos practicas de 1º Física I: Practica-15-Ondas-estacionarias.pdf

4 páginas

fisica

6 páginas

He publicado nuevos apuntes de 1º Física I: Formulario-Fisica-I.pdf

4 páginas

Práctica 6 Movimiento Circular Uniforme COMPLETA Y CORREGIDA con la máxima nota

4 páginas

Práctica 10 Rueda de Maxwell COMPLETA

3 páginas

Práctica 11 Vibración de Cuerdas COMPLETA Y CORREGIDA con la máxima nota

5 páginas

Práctica 3 Rozamiento por deslizamiento RESUELTA Y CALIFICADA con la máxima nota

5 páginas

apuntes

-

Teoria

He publicado nuevos apuntes de 1º Física I: Teoria

TEMA-1-fisica.pdf
TEMA-2-fisica.pdf
TEMA-3-fisica.pdf
TEMA-4-fisica.pdf
TEMA-5.pdf
Anónimo

@Anónimo

He publicado nuevos apuntes de 1º Física I: Test22223mod2-Solucion.docx

word
Anónimo

@Anónimo

He publicado nuevos apuntes de 1º Física I: Test22223mod1-Solucion.docx

word
Anónimo

@Anónimo

He publicado nuevos apuntes de 1º Física I: Test12223mod2-Solucion.docx

word
Anónimo

@Anónimo

He publicado nuevos apuntes de 1º Física I: Test12223mod1-Solucion.docx

word
Anónimo

@Anónimo

He publicado nuevos examenes de 1º Física I: ResolucionExamen-de-cuestioneconvextrcurso2223.pdf

7 páginas
Anónimo

@Anónimo

He publicado nuevos examenes de 1º Física I: Resolucion-problemas-extraordinario-2223.pdf

4 páginas
Anónimo

@Anónimo

He publicado nuevos examenes de 1º Física I: ResolucionExamen-de-cuestionesresolucioncurso2223.pdf

6 páginas
Anónimo

@Anónimo

He publicado nuevos examenes de 1º Física I: Resolucion-problemas-ordinario-2223.pdf

6 páginas

apuntes

-

Física 1

He publicado nuevos apuntes de 1º Física I: Física 1

Examen-Ordinaria-2015.pdf
Examen-Ordinaria-2016.pdf
Resolucion-problemas-Fisica-1-Extraordinario.pdf
Resolucion-cuestiones-Fisica-I-Ordinario.pdf
Examen-Ordinaria-2021.pdf
Resolucion-cuestiones-Fisica-I-Extraordinario.pdf

apuntes

-

Ejercicios resueltos

He publicado nuevos apuntes de 1º Física I: Ejercicios resueltos

EJ-RESUELTOS-cinematica.pdf
boletin-mov-vibratorio.pdf
Formulario-termo.pdf
Dinamica-2-resuelto.pdf
formulario-.pdf
Anónimo

@Anónimo

He publicado nuevos apuntes de 1º Física I: solucionario-6-tipler-mosca-.pdf

105 páginas

He publicado nuevos practicas de 1º Física I: Informe-carril-neumatico.pdf

12 páginas

He publicado nuevos apuntes de 1º Física I: FISICA-1.pdf

2 páginas

apuntes

-

Me_Llamo_Earl- Fisica 1

He publicado nuevos apuntes de 1º Física I: Me_Llamo_Earl- Fisica 1

Examenes-solucionadospart1.pdf
Libro-de-la-Asignatura-Tiplerpart1.pdf
Examenes-solucionadospart3.pdf
Libro-de-la-Asignatura-Tiplerpart3.pdf
Examenes-solucionadospart2.pdf
Libro-de-la-Asignatura-Tiplerpart2.pdf
¡Estás al día!

¡Estás al día!

Has visto todos los archivos