chevron_left
chevron_right
Todo
Apuntes
Ejercicios
chevron_left
chevron_right

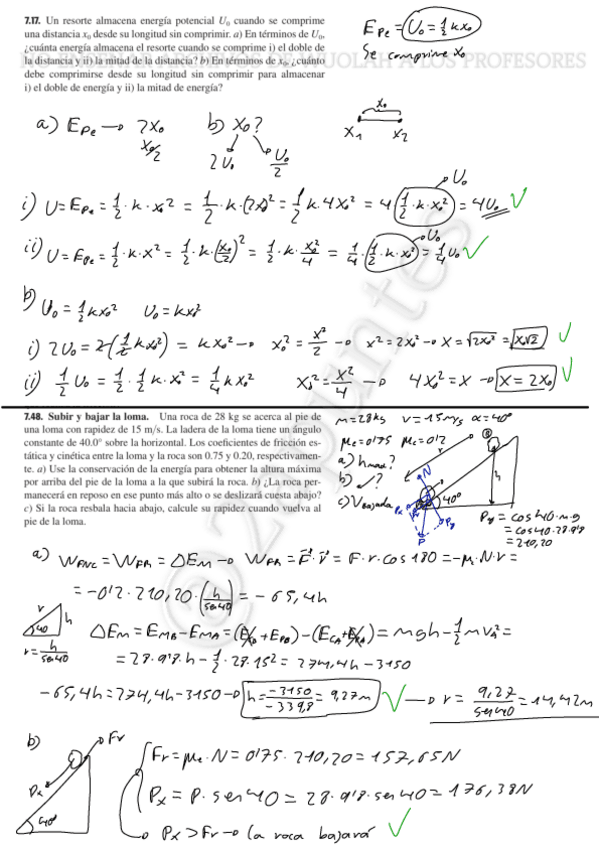
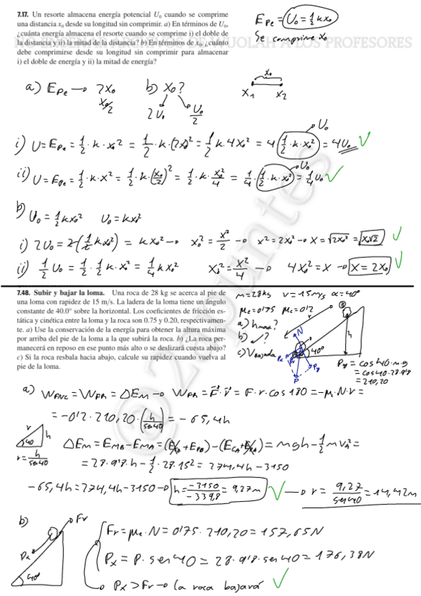
He publicado nuevos ejercicios de 1º Física I: Ejemplos-de-poleas-con-masas.pdf

1 página

apuntes

-

resumen fisica

He publicado nuevos apuntes de 1º Física I: resumen fisica

Elasticidad.pdf
Dinamica-del-solido-rigido.pdf
Cinematica-.pdf
sonido-.pdf
ondas-.pdf
centro-de-masas-.pdf

He publicado nuevos apuntes de 1º Física I: FORMULARIO-FISICA.pdf

2 páginas

He publicado nuevos apuntes de 1º Física I: Apuntes-fisica-resumen-completo.pdf

16 páginas

He publicado nuevos ejercicios de 1º Física I: Ejercicios-tipo-EXAMEN.pdf

16 páginas
¡Estás al día!

¡Estás al día!

Has visto todos los archivos