chevron_left
chevron_right
Todo
Apuntes
Ejercicios
Exámenes
Prácticas
chevron_left
chevron_right

Práctica 1 de Física 1 (politges). Como esta es la primera práctica que hicimos, no hicimos los cálculos con el Excel y los hicimos a mano. Los cálculos y los procedimientos están en las fotos de abajo. A nosotros nos pusieron un 9.

excel

He publicado nuevos apuntes de 1º Física I: Fundamentos de Mecánica: MecanicaClasicaGuiaVisual.pdf

13 páginas
Anónimo

@Anónimo

ejercicios

-

Problemas Extras

He publicado nuevos ejercicios de 1º Física I: Fundamentos de Mecánica: Problemas Extras

Extra-Tema-1.pdf
Extra-Tema-2.pdf
Extra-Tema-3.pdf

practicas

-

Practicas Fisica 1

He publicado nuevos practicas de 1º Física I: Fundamentos de Mecánica: Practicas Fisica 1

aPractica-1-Equilibri-del-solid-1-Censurado.pdf
Practica-1-Equilibri-del-solid-2Censurado.pdf
Pendol-simple-T22WPlatitudaltitudCensurado.pdf
Ones-sonores-estacionaries-1Censurado.pdf
Practica-3-OnesSonores-2-Censurado.pdf
Practica5-Rotacion-y-momentos-de-inerciaCensurado.pdf

apuntes

-

Física 1

He publicado nuevos apuntes de 1º Física I: Fundamentos de Mecánica: Física 1

Tema-2-Cinematica.pdf
Tema-1-errores.pdf
Tema-7-Oscilaciones-y-ondas.pdf
Tema-3-Dinamica.pdf
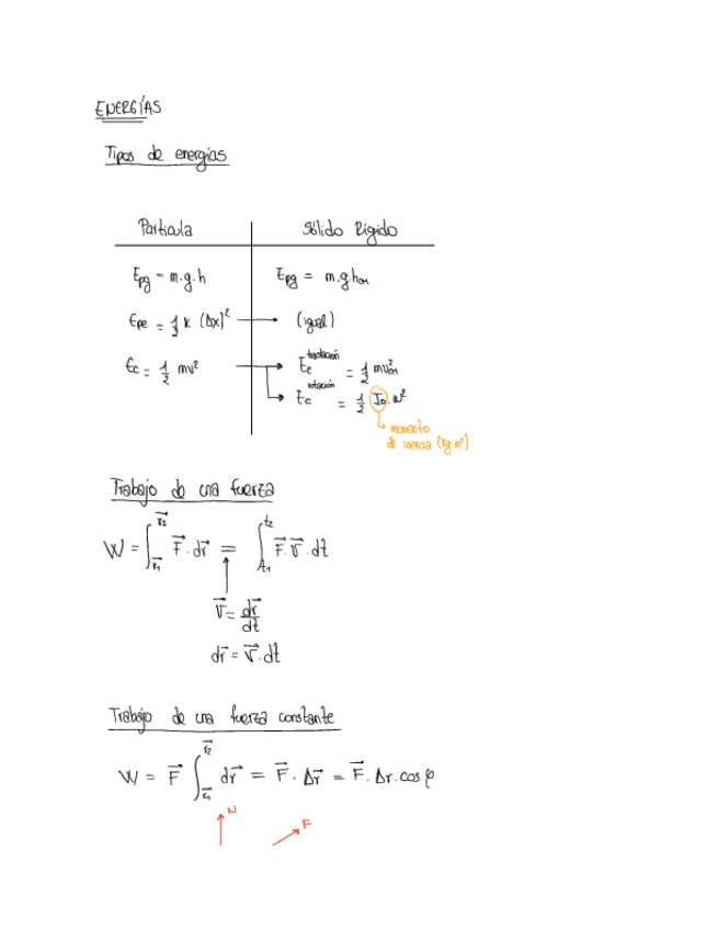
Tema-4-trabajo-y-Energia.pdf
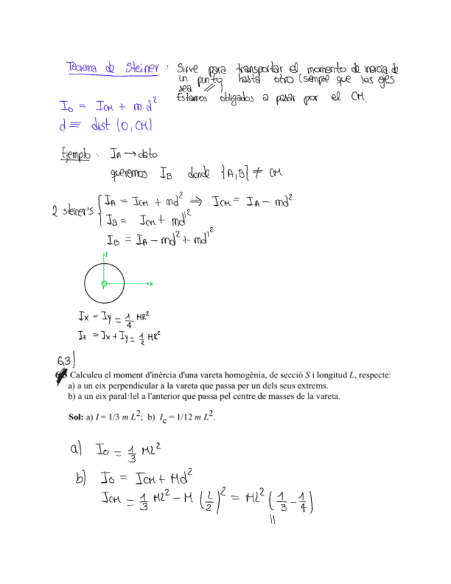
Tema-5-Sistemey-de-Particulas.pdf
Anónimo

@Anónimo

He publicado nuevos apuntes de 1º Física I: Fundamentos de Mecánica: Resum-Formulari-TOT.pdf

4 páginas
Anónimo

@Anónimo

practicas

-

Pràctiques F1

He publicado nuevos practicas de 1º Física I: Fundamentos de Mecánica: Pràctiques F1

1-Full-de-calcul-Politges.xlsx
2-Full-de-calcul-Molla.xlsx
3-Full-de-calcul-Ones-sonores.xlsx
4-Full-de-calcul-Xocs.xlsx
5-Full-de-calcul-Rotacio-i-Moments.xlsx
P1F1.pdf

He publicado nuevos examenes de 1º Física I: Fundamentos de Mecánica: T6-Problemas.pdf

14 páginas

He publicado nuevos examenes de 1º Física I: Fundamentos de Mecánica: T5-test.pdf

33 páginas

He publicado nuevos examenes de 1º Física I: Fundamentos de Mecánica: T6-Test.pdf

15 páginas

He publicado nuevos examenes de 1º Física I: Fundamentos de Mecánica: T4-test.pdf

53 páginas

He publicado nuevos ejercicios de 1º Física I: Fundamentos de Mecánica: T5-problemas.pdf

21 páginas

He publicado nuevos apuntes de 1º Física I: Fundamentos de Mecánica: Test4ENERGIA-2.pdf

4 páginas

He publicado nuevos apuntes de 1º Física I: Fundamentos de Mecánica: Test3DINAMICA-1.pdf

6 páginas

He publicado nuevos apuntes de 1º Física I: Fundamentos de Mecánica: Test2CINEMATICA-3.pdf

2 páginas

He publicado nuevos apuntes de 1º Física I: Fundamentos de Mecánica: Test1INTRO-2.pdf

3 páginas

He publicado nuevos ejercicios de 1º Física I: Fundamentos de Mecánica: Ejercicios-Academia.pdf

56 páginas

apuntes

-

Teoria

He publicado nuevos apuntes de 1º Física I: Fundamentos de Mecánica: Teoria

Tema5SPART.pdf
Tema6SOLID.pdf
Tema2CINEMATICA.pdf
Tema3DINAMICA.pdf
Anónimo

@Anónimo

He publicado nuevos practicas de 1º Física I: Fundamentos de Mecánica: Informe-P2-Pendol-Simple-Daniel-Diaz.pdf

11 páginas
Anónimo

@Anónimo

apuntes

-

T5 - Sistemas de Partículas

He publicado nuevos apuntes de 1º Física I: Fundamentos de Mecánica: T5 - Sistemas de Partículas

F1FM-T5261121211126225923.pdf
Ejercicios220110061114.pdf
F1FMT5161121211209031630.pdf
Anónimo

@Anónimo

apuntes

-

T4 - Trabajo y energía

He publicado nuevos apuntes de 1º Física I: Fundamentos de Mecánica: T4 - Trabajo y energía

Ejercicios-T4211130043750.pdf
F1FMT4261121211126225946.pdf
Anónimo

@Anónimo

apuntes

-

T3 - Dinámica

He publicado nuevos apuntes de 1º Física I: Fundamentos de Mecánica: T3 - Dinámica

F1FM--Repaso-Parcial-2--211221211221200713.pdf

He publicado nuevos apuntes de 1º Física I: Fundamentos de Mecánica: Documentos-escaneados.pdf

pdf

He publicado nuevos apuntes de 1º Física I: Fundamentos de Mecánica: FISICA-EXAMEN.pdf

2 páginas

He publicado nuevos apuntes de 1º Física I: Fundamentos de Mecánica: Practica-2-Pendol-simple.docx

word

He publicado nuevos apuntes de 1º Física I: Fundamentos de Mecánica: Practica-1-Equilibri-del-solid.docx

word

He publicado nuevos apuntes de 1º Física I: Fundamentos de Mecánica: P3-Laia-Sala-i-Liseth-Gutierrez.docx

word

He publicado nuevos apuntes de 1º Física I: Fundamentos de Mecánica: Practica-4-Rotacio-i-MdIOL.docx

word

apuntes

-

Apuntes Física I: Fonaments de Mecànica

He publicado nuevos apuntes de 1º Física I: Fundamentos de Mecánica: Apuntes Física I: Fonaments de Mecànica

Tema5SPART.pdf
Tema1INTRO.pdf
Tema4ENERGIA.pdf
Tema2CINEMATICA.pdf
Tema3DINAMICA.pdf
Tema7OSCILLACIONS-I-ONES.pdf

apuntes

-

FÍSICA 1

He publicado nuevos apuntes de 1º Física I: Fundamentos de Mecánica: FÍSICA 1

Problemas-resueltos-fisica-1Parte10.pdf
Problemas-resueltos-fisica-1Parte5.pdf
Problemas-resueltos-fisica-1Parte4.pdf
Problemas-resueltos-fisica-1Parte9.pdf
Problemas-resueltos-fisica-1Parte3.pdf
Problemas-resueltos-fisica-1Parte7.pdf
Anónimo

@Anónimo

apuntes

-

FÍSICA 1

He publicado nuevos apuntes de 1º Física I: Fundamentos de Mecánica: FÍSICA 1

Problemas-resueltos-fisica-1Parte35.pdf
Problemas-resueltos-fisica-1Parte32.pdf
Problemas-resueltos-fisica-1Parte33.pdf
Problemas-resueltos-fisica-1Parte39.pdf
Problemas-resueltos-fisica-1Parte38.pdf
Problemas-resueltos-fisica-1Parte37.pdf
Anónimo

@Anónimo

apuntes

-

FÍSICA 1

He publicado nuevos apuntes de 1º Física I: Fundamentos de Mecánica: FÍSICA 1

Problemas-resueltos-fisica-1Parte22.pdf
Problemas-resueltos-fisica-1Parte29.pdf
Problemas-resueltos-fisica-1Parte30.pdf
Problemas-resueltos-fisica-1Parte25.pdf
Problemas-resueltos-fisica-1Parte21.pdf
Problemas-resueltos-fisica-1Parte24.pdf
Anónimo

@Anónimo

apuntes

-

FÍSICA 1

He publicado nuevos apuntes de 1º Física I: Fundamentos de Mecánica: FÍSICA 1

Problemas-resueltos-fisica-1Parte13.pdf
Problemas-resueltos-fisica-1Parte17.pdf
Problemas-resueltos-fisica-1Parte14.pdf
Problemas-resueltos-fisica-1Parte20.pdf
Problemas-resueltos-fisica-1Parte12.pdf
Problemas-resueltos-fisica-1Parte19.pdf
Anónimo

@Anónimo

apuntes

-

fisica 2

He publicado nuevos apuntes de 1º Física I: Fundamentos de Mecánica: fisica 2

FISICA-2-Tema-1-questions.pdf
FISICA-2-Problemes-i-Tests.pdf
Formulari-Fisica.pdf
FISICA-2-Problemes-Examen-Resolts.pdf
FISICA-2-Tema-1-Classes.pdf

He publicado nuevos apuntes de 1º Física I: Fundamentos de Mecánica: FISICA-2-formulari.pdf

3 páginas

He publicado nuevos apuntes de 1º Física I: Fundamentos de Mecánica: FISICA-1-formulario--temario-.pdf

11 páginas

He publicado nuevos apuntes de 1º Física I: Fundamentos de Mecánica: Resum-Formulari-Fisica-1.pdf

6 páginas

He publicado nuevos apuntes de 1º Física I: Fundamentos de Mecánica: Resum-Formulari-Fisica-2.pdf

11 páginas

apuntes

-

Física

He publicado nuevos apuntes de 1º Física I: Fundamentos de Mecánica: Física

Examenes-solucionadospart3.pdf
Resumen-teoria-fisica-1.pdf
Libro-de-la-Asignatura-Tiplerpart3.pdf
Libro-de-la-Asignatura-Tiplerpart1.pdf
Examenes-solucionadospart2.pdf
Libro-de-la-Asignatura-Tiplerpart2.pdf

TEMA 4

11 páginas
Anónimo

@Anónimo

TEMA 6

8 páginas

TEMA 2

12 páginas

EJECICIO DEL EXAMEN FINAL DE AÑOS ANTERIORES DEL TEST

8 páginas

EJECICIO DEL EXAMEN FINAL DE AÑOS ANTERIORES

3 páginas

TEMA 1

16 páginas

EJECICIO DEL EXAMEN FINAL DE AÑOS ANTERIORES

3 páginas

EJECICIO DEL EXAMEN FINAL DE AÑOS ANTERIORES

3 páginas

TEMA 3

9 páginas

EJECICIO DEL EXAMEN FINAL DE AÑOS ANTERIORES

4 páginas

EJECICIO DEL EXAMEN FINAL DE AÑOS ANTERIORES

3 páginas

EJECICIO DEL EXAMEN FINAL DE AÑOS ANTERIORES

2 páginas

EJECICIO DEL EXAMEN FINAL DE AÑOS ANTERIORES

3 páginas

TEMA 6. Extensión de otro documento de solido rigido

10 páginas
¡Estás al día!

¡Estás al día!

Has visto todos los archivos