Física I

chevron_left
chevron_right
Todo
Apuntes
Preguntas
Ejercicios
Exámenes
Otros
Prácticas
publication
Trabajos
chevron_left
chevron_right

apuntes

-

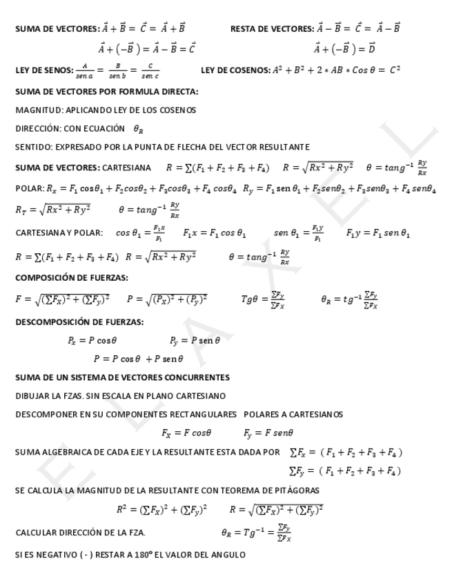
Formulario para exámenes

Puede ser una guía de estudio antes del examen de física y para resolver posibles problemas en el futuro de las actividades

formulario.jpeg
formulario.jpeg
formulario.jpeg
formulario.jpeg
formulario.jpeg

apuntes

-

Física

He publicado nuevos apuntes de 3º Física I: Física

Que-es-la-fisica.pdf
https://youtu.be/mgw5Awu8Sk4?si=r75chAuplhL-wTQL

¡Vamos a descubrir cómo funciona la energía en nuestro mundo!

2 páginas

Leyes de la termodinamica con cientificos

1 página

Termodinamica: Procesos y sistemas

5 páginas

Son definiciones de los tipos de Fisica, hecho a mano, sin uso de IA

3 páginas

Documento que habla de la electricidad, la electrostática y leyes como la de Coulomb, así como circuitos y un poco de relatividad especial

15 páginas

Documento que trata la densidad y la presión, así como el cómo los objetos flotan y los gases ideales

14 páginas

Documento que trata la energía, la gravedad y sus ecuaciones, así como el trabajo y la fricción

17 páginas

Documento que trata en forma profunda y con ejemplos los usos del MRU, MRUA y un poco de historia de la física

18 páginas

Documento que se enfoca en las bases de la física aplicada a movimiento

13 páginas

CUESTIONARIO SOBRE LA VIDA DE NEWTON

3 páginas

He publicado nuevos apuntes de 3º Física I: elementos-del-MRUV.pdf

1 página

He publicado nuevos apuntes de 3º Física I: Elementos-basicos-del-movimiento.pdf

1 página

He publicado nuevos apuntes de 3º Física I: movimiento-cicular.pdf

7 páginas

Un recopilatorio de los temas y formulas vistas en la primera unidad de fisica 1 "Cinematica", los temas contenidos son: MRU, Velocidad media, MRUA, caida libre y tiro vertical, movimiento parabolico, MCU y MCUA

7 páginas

conceptos de física (que es velocidad, trayectoria, peso, etc.)

2 páginas

apuntes

-

fisca conversiones de unidades

conversiones

area.docx
longitud.docx
tiempo.docx

tipos de variables y su relación entre ellas

1 página

Tipos de sistema y Magnitud física.

2 páginas

electromagnetismo, CONSERVACIÓN DE LA CARGA ELÉCTRICA, ley de interacción de las cargas electricas

3 páginas

He publicado nuevos apuntes de 3º Física I: Campo-electrico.pdf

1 página

He publicado nuevos apuntes de 3º Física I: Movimiento-MRUA.pdf

8 páginas

He publicado nuevos apuntes de 3º Física I: Guia-UNAM-fisica.-Tema-2-Fuerzas-leyes-de-Newton-ley-de-la-Gravitacion-Universal.pdf

12 páginas

He publicado nuevos apuntes de 3º Física I: Resumen-Vectores.pdf

3 páginas

He publicado nuevos apuntes de 3º Física I: Resumen-Leyes-de-Kepler.pdf

3 páginas

He publicado nuevos apuntes de 3º Física I: Estatica.pdf

1 página

He publicado nuevos apuntes de 3º Física I: Cinematica.pdf

1 página

Definición, clasificación, importancia, magnitudes y método científico

1 página

He publicado nuevos examenes de 3º Física I: 6f01d40e-f84a-4b9e-9427-66c4360546c5.jpeg

Imagen

He publicado nuevos apuntes de 3º Física I: Anatomy-Review.pdf

4 páginas

Historia de la electricidad

Imagen

Guia de estudio modulo 1 y 2 + formulario

2 páginas

He publicado nuevos apuntes de 3º Física I: cualidades-del-sonido.pdf

1 página

He publicado nuevos apuntes de 3º Física I: espectroscopio.pdf

1 página

He publicado nuevos apuntes de 3º Física I: cargas-fisicas.pdf

1 página

He publicado nuevos apuntes de 3º Física I: Electromagnetismo.pdf

2 páginas

He publicado nuevos apuntes de 3º Física I: cantidades-vectoriales.pdf

2 páginas

He publicado nuevos apuntes de 3º Física I: Notacion-cientifica-y-ejercicios.pdf

3 páginas

He publicado nuevos apuntes de 3º Física I: Magnitudes-fisicas-y-conversiones.pdf

4 páginas

He publicado nuevos apuntes de 3º Física I: Historia-de-la-fisica.pdf

2 páginas

He publicado nuevos apuntes de 3º Física I: Fisica-Universitaria-Vol.-1-12a-Edicion-Sears-Zemansky-Young-and-Freedman.pdf

763 páginas

He publicado nuevos apuntes de 3º Física I: Electricidad.pdf

8 páginas

Investigar los pasos del método científico con ejemplos y Características de un pregunta investigable y ejemplo

1 página

He publicado nuevos apuntes de 3º Física I: Speed-Of-Light-Contstant.pdf

1 página

He publicado nuevos apuntes de 3º Física I: Plank-Contstant.pdf

2 páginas

He publicado nuevos trabajos de 3º Física I: Impulso-Mecanico.pdf

5 páginas

He publicado nuevos otros de 3º Física I: Formulario.pdf

1 página

He publicado nuevos apuntes de 3º Física I: Newtons-laws-and-definitions.pdf

1 página

He publicado nuevos apuntes de 3º Física I: Cinematica-apunte.pdf

8 páginas

ejercicios

-

Física II

Holaa te dejo algunas de mis tareas. Espero te sirvan. ?

PORTAFOLIO-DE-EVIDENCIAS-FISICA-II.pdf

He publicado nuevos apuntes de 3º Física I: Modelos-Atomicos.pdf

1 página

Situación de aprendizaje

Dos trenes se aproximan uno contra el otro en Vías paralelas .Ambos se mueven a 70 km/h. Si inicialmente están separados por cinco kilómetros, ¿cuánto tiempo pasará antes de que se alcancen?

Dos trenes se aproximan uno contra el otro en vías pa- 18. Un automóvil y u ralelas. Ambos se mueven a 70 km/h. Si inicialmente están separados por cinco kilómetros, ¿cuánto tiempo pasará antes de que se alcancen?

Dos trenes se aproximan uno contra el otro en vías pa- 18. Un automóvil y u ralelas. Ambos se mueven a 70 km/h. Si inicialmente están separados por cinco kilómetros, ¿cuánto tiempo pasará antes de que se alcancen?

He publicado nuevos ejercicios de 3º Física I: GUIA-DE-FISICA-I.pdf

5 páginas

He publicado nuevos ejercicios de 3º Física I: GUIA-DE-FISICA-I.pdf

6 páginas

He publicado nuevos ejercicios de 3º Física I: GUIA-DE-ESTUDIO-EXAMEN-SEGUNDO-PARCIAL-DE-FISICA-I.pdf

5 páginas

He publicado nuevos apuntes de 3º Física I: FVGowin.pdf

2 páginas

He publicado nuevos practicas de 3º Física I: Relacion-entre-variables-.pdf

7 páginas

Mapa conceptual

Imagen