Todo
Apuntes
Exámenes
chevron_left
chevron_right
Anónimo

@Anónimo

Prueba de cinemática de la partícula (tema 2) de física I

1 página

apuntes

-

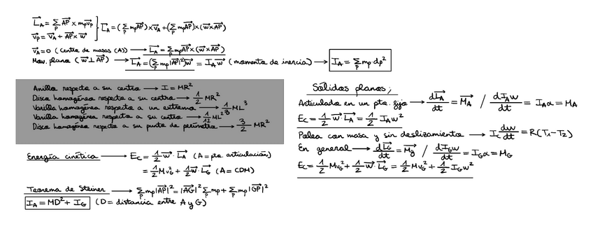
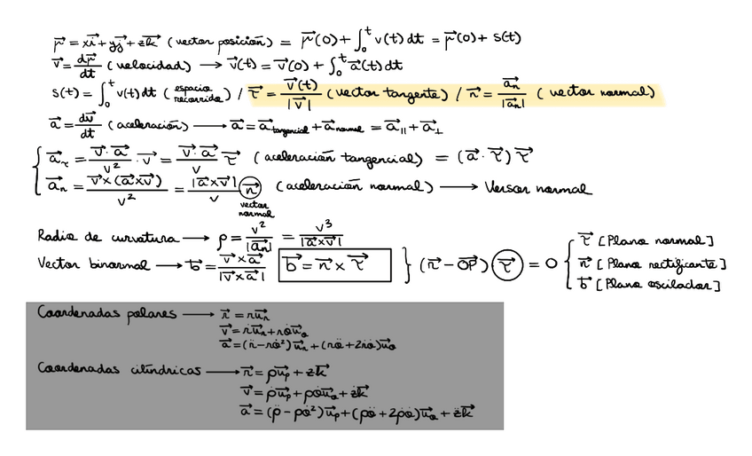
Formulario Física I por temas

He publicado nuevos apuntes de 1º Física I: Formulario Física I por temas

Tema-4.-Movimiento-relativo.pdf
Tema-3.-Cinematica-del-solido.pdf
Tema-2.-Cinematica-de-la-particula.pdf
Tema-1.-Vectores.pdf

apuntes

-

Resumen temas Física I

CURSO COMPLETO

Tema-1-Vectores.pdf
Tema-2-Cinematica-de-la-particula.pdf
Tema-3-Cinematica-del-solido.pdf
Tema-4-Movimiento-relativo.pdf
Tema-5-Dinamica-I.pdf
Tema-6-Dinamica-del-solido.pdf

He publicado nuevos apuntes de 1º Física I: Apuntes-completos.pdf

15 páginas

He publicado nuevos apuntes de 1º Física I: Fisica-I-curso-completo-apuntes-muy-resumidos.pdf

7 páginas