chevron_left
chevron_right
Todo
Apuntes
Ejercicios
Exámenes
chevron_left
chevron_right
Anónimo

@Anónimo

He publicado nuevos examenes de 1º Física I: PEI-1-1.pdf

2 páginas

examenes

-

Examenes

He publicado nuevos examenes de 1º Física I: Examenes

PEI1-22-23.pdf
exam2-GIEAI-recu-pei123.pdf
exam-2-GIEAI-pei222-23.pdf
exam-2GIEAI-pei221-22.pdf
exam-2-GITI-ps222-23.pdf
exam-2GITI-pei222-23.pdf

apuntes

-

Ejercicios de clase

He publicado nuevos apuntes de 1º Física I: Ejercicios de clase

Fisica-I2-sol-T.8.pdf
Fisica-I2-sol-T.7.pdf
Fisica-I2-sol-Prob-adicionales.pdf
Fisica-I2-sol-T.6.pdf
Fisica-I2-sol-T.5.pdf
Fisica-I2-sol-T.4.pdf

examenes

-

Todos los exámenes

He publicado nuevos examenes de 1º Física I: Todos los exámenes

2020-21-extra-gieai.pdf
2020-21-parcial1-v4.pdf
2020-21-parcial1rec-gieai.pdf
2020-21-parcial2-gieai.pdf
2021-22-pe1rec.pdf
2021-22-ps1-v2.pdf

He publicado nuevos apuntes de 1º Física I: FISICA-I-resumen-todo-el-temario.pdf

16 páginas

He publicado nuevos ejercicios de 1º Física I: PROBLEMAS-TEMA-8.pdf

4 páginas

ejercicios

-

Ejercicios resueltos de la asignatura

He publicado nuevos ejercicios de 1º Física I: Ejercicios resueltos de la asignatura

Tema-2-Dinamica-de-particulas-.pdf
Tema-3-Dinamica-de-sistemas-de-particulas-.pdf
Tema-4-El-solido-rigido-.pdf
Tema-5-Movimiento-periodico-.pdf
Tema-6-Ondas-mecanicas-.pdf
Tema-7-Propiedades-termicas-.pdf

examenes

-

PARCIALES

He publicado nuevos examenes de 1º Física I: PARCIALES

solucionesparcial1.pdf
solucionesparcial2.pdf
soluciones2019-20-parcial1rec.pdf

examenes

-

MINIPRUEBAS

He publicado nuevos examenes de 1º Física I: MINIPRUEBAS

solucionesminiprueba2.pdf
solucionesminiprueba1.pdf

apuntes

-

Física I

He publicado nuevos apuntes de 1º Física I: Física I

apuntes-fisica-t.pdf
apuntes-fisica-t.pdf
apuntes-fisica-t.pdf

He publicado nuevos apuntes de 1º Física I: Resumen-T1-8.pdf

12 páginas

He publicado nuevos apuntes de 1º Física I: Solucion-junio2015.pdf

pdf

apuntes

-

Exámenes resueltos

He publicado nuevos apuntes de 1º Física I: Exámenes resueltos

Solucion-enero2015.pdf
Solucion-junio2018.pdf
Solucion-enero.pdf
Solucion-enero-2017.pdf
Solucion-FisicaI-junio2016.pdf
solucextraorFisicaI2017.pdf

apuntes

-

Examen sept2020

He publicado nuevos apuntes de 1º Física I: Examen sept2020

P1.pdf
P2.pdf
Cuestiones-.pdf

He publicado nuevos ejercicios de 1º Física I: ejsfisica.pdf

41 páginas

He publicado nuevos apuntes de 1º Física I: Soluciones-examen-Fisica-I-septiembre-2020.pdf

4 páginas

examenes

-

TODAS LAS PRACTICAS/EJERCICIOS DE EXAMEN

He publicado nuevos examenes de 1º Física I: TODAS LAS PRACTICAS/EJERCICIOS DE EXAMEN

3a-SEMANA.pdf
7a-SEMANA.pdf
5a-SEMANA.pdf
1a-SEMANA.pdf
6a-SEMANA.pdf
4a-SEMANA.pdf

He publicado nuevos ejercicios de 1º Física I: Ejemplos-de-poleas-con-masas.pdf

1 página

He publicado nuevos apuntes de 1º Física I: centro-de-masas-.pdf

1 página

He publicado nuevos apuntes de 1º Física I: movimiento-circular-y-cantidad-de-movimiento.pdf

1 página

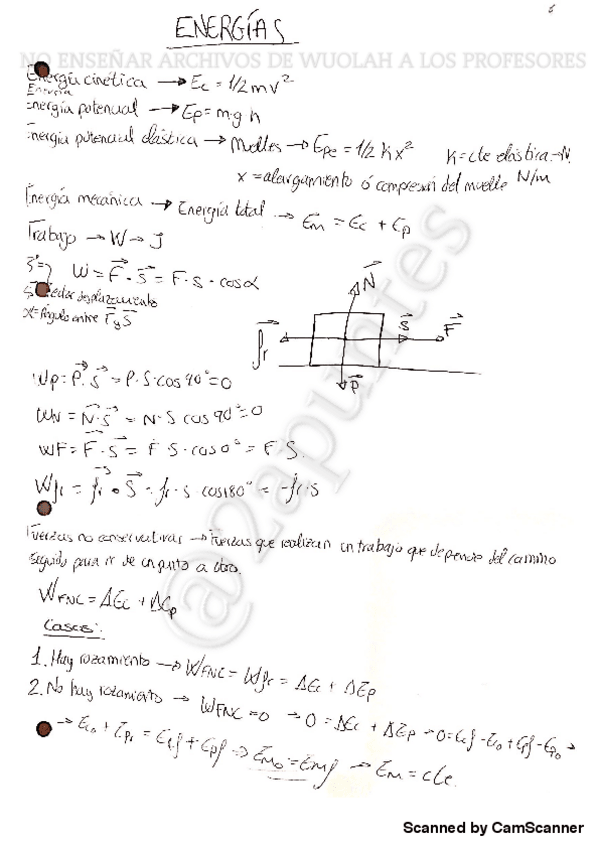
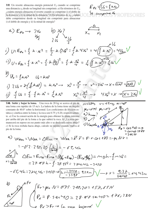
He publicado nuevos apuntes de 1º Física I: energias.pdf

2 páginas

He publicado nuevos apuntes de 1º Física I: dinamica-de-rotacion.pdf

3 páginas

apuntes

-

APUNTES POR TEMAS

He publicado nuevos apuntes de 1º Física I: APUNTES POR TEMAS

Tema-elasticidad.pdf
Tema-estatica.pdf
Tema-movimiento-circular.pdf
Tema-ondas-.pdf
Tema-sonido-.pdf
Tema-oscilaciones-.pdf

He publicado nuevos apuntes de 1º Física I: Formulas-de-fisica.pdf

2 páginas

He publicado nuevos apuntes de 1º Física I: Cinematica-.pdf

3 páginas

He publicado nuevos apuntes de 1º Física I: Dinamica-del-solido-rigido.pdf

4 páginas

He publicado nuevos apuntes de 1º Física I: Elasticidad.pdf

2 páginas

He publicado nuevos apuntes de 1º Física I: Apuntes-fisica-resumen-completo.pdf

16 páginas

He publicado nuevos ejercicios de 1º Física I: Ejercicios-tipo-EXAMEN.pdf

16 páginas

He publicado nuevos apuntes de 1º Física I: apuntes-teoria-de-medida.pdf

12 páginas

apuntes

-

Me_Llamo_Earl- Fisica 1

He publicado nuevos apuntes de 1º Física I: Me_Llamo_Earl- Fisica 1

Examenes-solucionadospart2.pdf
Libro-de-la-Asignatura-Tiplerpart3.pdf
Examenes-solucionadospart1.pdf
Libro-de-la-Asignatura-Tiplerpart1.pdf
Libro-de-la-Asignatura-Tiplerpart2.pdf
Examenes-solucionadospart3.pdf

Teoría resumida en academia con ejercicios resueltos.

26 páginas

Teoría resumida en academia con ejercicios resueltos.

24 páginas

Teoría resumida en academia con ejercicios resueltos.

25 páginas

He publicado nuevos apuntes de 1º Física I: Tema 1. Vectores Libres.pdf

22 páginas

Teoría resumida en academia con ejercicios resueltos.

34 páginas
¡Estás al día!

¡Estás al día!

Has visto todos los archivos