Todo
Apuntes
Ejercicios
Exámenes
Prácticas
Test
Trabajos
chevron_left
chevron_right

He publicado nuevos apuntes de 1º Física I: Dinamica-bloque-1.3-fisica-1.pdf

2 páginas

He publicado nuevos apuntes de 1º Física I: FISICA-I-Bloque-1i-iia-iib-iic.pdf

17 páginas

He publicado nuevos apuntes de 1º Física I: bloque-1.2-fisica.pdf

5 páginas

He publicado nuevos apuntes de 1º Física I: Bloque 1.1 física.pdf

6 páginas

He publicado nuevos apuntes de 1º Física I: MRU-apuntes-y-ejercicios.pdf

7 páginas

ejercicios

-

Ejercicios seminarios resueltos por temas

He publicado nuevos ejercicios de 1º Física I: Ejercicios seminarios resueltos por temas

Tema-1-fisica.pdf
tema-2-fisica.pdf
tema-3-fisica.pdf
Tema-4-fisica.pdf
Tema-5-y-6-fisica.pdf
Enunciados-tema-3.pdf

He publicado nuevos apuntes de 1º Física I: TEMA-2-FISICA.pdf

23 páginas

apuntes

-

Física I

He publicado nuevos apuntes de 1º Física I: Física I

TEMA-1-La-fisica-y-su-metodo.pdf
TEMA-2-MOVIMIENTO-EN-UNA-DIMENSION.pdf
TEMA-3-movimiento-en-dos-dimensiones.pdf
CUESTIONARIO-DEL-TEMA-1.pdf
Examen-Final-enero-24-25.pdf
examen-fisica-junio-2025.pdf

Recopilación de ejercicios teóricos de algunos exámenes

12 páginas

He publicado nuevos examenes de 1º Física I: Ejercicios-examenes.pdf

34 páginas

He publicado nuevos apuntes de 1º Física I: Ejercicios-todos-los-temas.pdf

19 páginas

He publicado nuevos ejercicios de 1º Física I: Problemas-tema-7-y-9.-Trabajo-energia.-Cantidad-de-movimiento-e-impulso.pdf

14 páginas

He publicado nuevos ejercicios de 1º Física I: Problemas-tema-6-y-8.-Movimiento-rotacional-y-solido-rigido..pdf

7 páginas

He publicado nuevos ejercicios de 1º Física I: Problemas-tema-5.-MRUA.pdf

28 páginas

He publicado nuevos ejercicios de 1º Física I: Problemas-tema-4.-Mecanica-III.-Dinamica-II.-2-y-3-leyes-de-Newton-y-aplicacion-de-las-leyes-de-Newton.pdf

16 páginas

He publicado nuevos ejercicios de 1º Física I: Problemas-tipo-examen.pdf

4 páginas

He publicado nuevos ejercicios de 1º Física I: Problemas tema 3. Dinámica II. Cinemática I. MRU.pdf

10 páginas

He publicado nuevos ejercicios de 1º Física I: Problemas tema 2. Dinámica. Ley3s de Newton y aplicación de las leyes de Newton.pdf

17 páginas

He publicado nuevos ejercicios de 1º Física I: Problemas tema 10 y 11. Sistemas de partículas, centro de masas y colisiones entre partículas.pdf

13 páginas

He publicado nuevos apuntes de 1º Física I: Esquema-cinematica-y-dinamica.pdf

4 páginas

He publicado nuevos apuntes de 1º Física I: Formulario-Fisica-II-T1.pdf

2 páginas

He publicado nuevos examenes de 1º Física I: Examen-fisica-I-junio-2024.pdf

4 páginas

He publicado nuevos apuntes de 1º Física I: Informe-movimiento-circular.pdf

8 páginas

He publicado nuevos apuntes de 1º Física I: Informe-caida-libre.pdf

6 páginas

He publicado nuevos apuntes de 1º Física I: Informe-plano-inclinado.pdf

17 páginas

He publicado nuevos apuntes de 1º Física I: Informe-Ley-de-Hooke.pdf

15 páginas

He publicado nuevos practicas de 1º Física I: Informe-principio-de-arquimedes.pdf

9 páginas
Anónimo

@Anónimo

He publicado nuevos test de 1º Física I: cuestionario-online-10-y-11.pdf

6 páginas
Anónimo

@Anónimo

He publicado nuevos test de 1º Física I: cuestionario-online-7-y-9.pdf

5 páginas
Anónimo

@Anónimo

He publicado nuevos test de 1º Física I: cuestionario-online-6-y-8.pdf

4 páginas
Anónimo

@Anónimo

He publicado nuevos test de 1º Física I: cuestionario-online-tema-4.pdf

4 páginas

He publicado nuevos examenes de 1º Física I: Examenes-Fisica-I.pdf

10 páginas

He publicado nuevos apuntes de 1º Física I: Fisica-I-enero.pdf

44 páginas
Anónimo

@Anónimo

test

-

Cuestionarios fisica 1,2,3

He publicado nuevos test de 1º Física I: Cuestionarios fisica 1,2,3

cuestionario-tema-1.pdf
cuestionario-tema-3.pdf
cuestionario-tema-2.pdf
Anónimo

@Anónimo

He publicado nuevos test de 1º Física I: cuestionario-online-fisica-tema-5.pdf

6 páginas

He publicado nuevos apuntes de 1º Física I: resumen-tema-1-Fisica.pdf

3 páginas

He publicado nuevos practicas de 1º Física I: Informe-Practica-3-Pendulo-conico.pdf

8 páginas

He publicado nuevos practicas de 1º Física I: Informe-Practica-1-Plano-Inclinado.pdf

11 páginas

He publicado nuevos practicas de 1º Física I: Informe-Practica-2-Muelle-Ley-de-Hoocke.pdf

13 páginas

He publicado nuevos apuntes de 1º Física I: Apuntes-fisica-enero.pdf

38 páginas

He publicado nuevos apuntes de 1º Física I: Practica-plano-inclinado-95.pdf

14 páginas

He publicado nuevos practicas de 1º Física I: Informe-practicas-ley-Hooke-9,5.pdf

13 páginas

He publicado nuevos practicas de 1º Física I: Informe-practicas-péndulo (9,5).pdf

5 páginas

He publicado nuevos examenes de 1º Física I: Primer-examen-parcial-fisica-con-soluciones.pdf

2 páginas

He publicado nuevos ejercicios de 1º Física I: ADD4.-Ejercicio-Sistema-de-particulas.pdf

1 página

He publicado nuevos ejercicios de 1º Física I: ADD1.-Ejercicio-Gravitacion.pdf

1 página

He publicado nuevos apuntes de 1º Física I: Resumen-asignatura.pdf

16 páginas

He publicado nuevos apuntes de 1º Física I: Tema-1-Magnitudes-fisicas.pdf

6 páginas

He publicado nuevos apuntes de 1º Física I: Apuntes-Tema-3-fisica.pdf

2 páginas

He publicado nuevos apuntes de 1º Física I: Tema-2.pdf

3 páginas

He publicado nuevos apuntes de 1º Física I: Fisica-Tema-1.pdf

4 páginas

He publicado nuevos examenes de 1º Física I: EXAMEN-FEBRERO-2023-FISICA-I.pdf

5 páginas

He publicado nuevos test de 1º Física I: CUESTIONARIO-TEMA-3.pdf

7 páginas

He publicado nuevos test de 1º Física I: Cuestionario-tema-2.pdf

6 páginas

He publicado nuevos test de 1º Física I: Cuestionario-tema-1.pdf

6 páginas

practicas

-

Prácticas de Física I

He publicado nuevos practicas de 1º Física I: Prácticas de Física I

INFORME-PRACTICA-1.pdf
INFORME-PRACTICA-3.pdf
Informe-de-la-ley-de-Hooke.pdf

He publicado nuevos ejercicios de 1º Física I: PROB-E.pdf

4 páginas

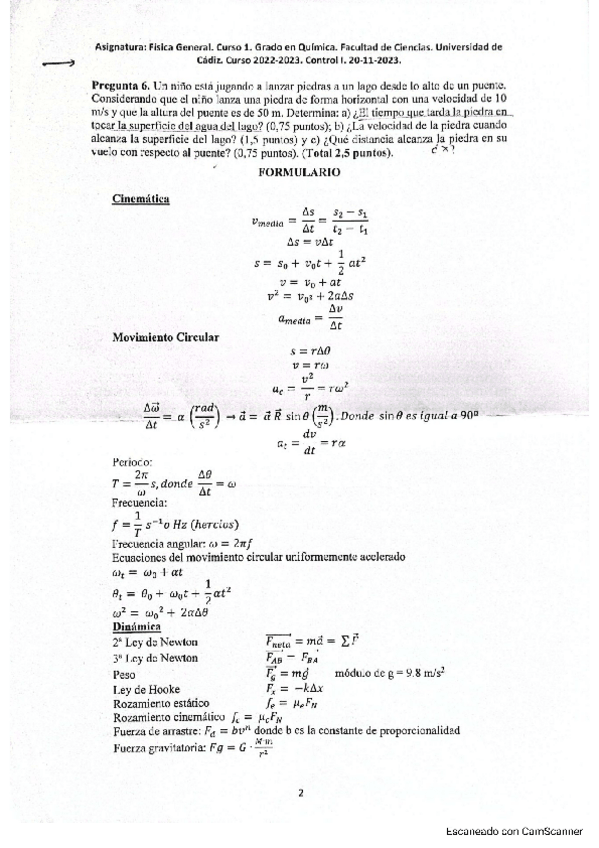
He publicado nuevos examenes de 1º Física I: Formulario examen.pdf

3 páginas

He publicado nuevos examenes de 1º Física I: Examen junio 2022.pdf

3 páginas

He publicado nuevos examenes de 1º Física I: Examen febrero 2022.pdf

3 páginas