Todo
Apuntes
Ejercicios
Exámenes
Prácticas
chevron_left
chevron_right

Están todas las fórmulas usadas en los ejercicios de temas de cinemática, dinámica, trabajo y energía, momento lineal, impulso, choques, rotación, oscilaciones, estática y elasticidad; así como lo necesario para superar el examen de teoría de medidas o de

8 páginas

apuntes

-

TEMAS RESUMIDOS FISICA

He publicado nuevos apuntes de 1º Física I: TEMAS RESUMIDOS FISICA

T1-VECTORES-LIBRES.pdf
T2-CINEMATICA-DE-PARTICULA.pdf
T3-DINAMICA-DEL-PUNTO.pdf
T4-CINEMATICA-DE-SOLIDO-RIGIDO.pdf
T5-MOVIMIENTO-RELATIVO.pdf
T6-MOVIMIENTO-PLANO.pdf

examenes

-

EXAMENES ANTERIORES

He publicado nuevos examenes de 1º Física I: EXAMENES ANTERIORES

EXAMEN-FEBRERO-2012-PA.pdf
EXAMEN-SEPTIEMBRE-2013-PA.pdf
EXAMEN-SEPTIEMBRE-2013-PB.pdf
EXAMEN-SEPTIEMBRE-2015.pdf
EXAMEN-SEPTIEMBRE-2016.pdf

He publicado nuevos apuntes de 1º Física I: Tema-5-8-Parcial-2.pdf

14 páginas

He publicado nuevos apuntes de 1º Física I: Tema-1-teoria--ejercicios.pdf

10 páginas

He publicado nuevos apuntes de 1º Física I: ejercicios-temas-7-8-fisica-1-23-24.pdf

16 páginas

He publicado nuevos apuntes de 1º Física I: ejercicios-tema-6A-fisica-1-23-24.pdf

14 páginas

He publicado nuevos apuntes de 1º Física I: ejercicios-tema-6B-fisica-1-23-24.pdf

7 páginas

He publicado nuevos apuntes de 1º Física I: apuntes-fisica-1-temas-5-a-8-23-24.pdf

21 páginas

He publicado nuevos apuntes de 1º Física I: Tema-1.pdf

4 páginas

He publicado nuevos apuntes de 1º Física I: Tema-1-Teoria--Ejercicios.pdf

6 páginas

He publicado nuevos apuntes de 1º Física I: Tema-4.pdf

3 páginas

He publicado nuevos apuntes de 1º Física I: Tema-3.1.pdf

4 páginas

He publicado nuevos apuntes de 1º Física I: Tema-3.2.pdf

3 páginas

He publicado nuevos apuntes de 1º Física I: Tema-2.pdf

4 páginas

He publicado nuevos apuntes de 1º Física I: Apuntes-Completos-Fisica-I.pdf

19 páginas

apuntes

-

Resumen Temas 1-15 Física 1 (2022-23)

Os recomiendo el link de YouTube, es un catedrático que grababa sus clases hace unos años, sus explicaciones y resúmenes son muy útiles si quieres entender mejor la asignatura. Mucha suerte en los exámenes!!

Resumen-Temas-1-8.-Fisica-1-2022-23.pdf
Resumen-Temas-9-15.-Fisica-1-2022-23.pdf
Miniatura no disponible
https://www.youtube.com/IzquierdoCesar/playlists

ejercicios

-

Relacion 14. Fisica 1 (2022-23)

He publicado nuevos ejercicios de 1º Física I: Relacion 14. Fisica 1 (2022-23)

Relacion-14.-Fisica-1-2022-23.pdf

ejercicios

-

Relacion 13. Fisica 1 (2022-23)

He publicado nuevos ejercicios de 1º Física I: Relacion 13. Fisica 1 (2022-23)

Relacion-13.-Fisica-1-2022-23.pdf

ejercicios

-

Relacion 12. Fisica 1 (2022-23)

He publicado nuevos ejercicios de 1º Física I: Relacion 12. Fisica 1 (2022-23)

Relacion-12.-Fisica-1-2022-23.pdf

ejercicios

-

Relacion 11. Fisica 1 (2022-23)

He publicado nuevos ejercicios de 1º Física I: Relacion 11. Fisica 1 (2022-23)

Relacion-11.-Fisica-1-2022-23.pdf

ejercicios

-

Relacion 10. Fisica 1 (2022-23)

He publicado nuevos ejercicios de 1º Física I: Relacion 10. Fisica 1 (2022-23)

Relacion-10.-Fisica-1-2022-23.pdf

ejercicios

-

Relacion 9. Fisica 1 (2022-23)

He publicado nuevos ejercicios de 1º Física I: Relacion 9. Fisica 1 (2022-23)

Relacion-9.-Fisica-1-2022-23.pdf

ejercicios

-

Relacion 8. Fisica 1 (2022-23)

He publicado nuevos ejercicios de 1º Física I: Relacion 8. Fisica 1 (2022-23)

Relacion-8.pdf

ejercicios

-

Relacion 7. Fisica 1 (2022-23)

He publicado nuevos ejercicios de 1º Física I: Relacion 7. Fisica 1 (2022-23)

Relacion-7.pdf

ejercicios

-

Relacion 6. Fisica 1 (2022-23)

He publicado nuevos ejercicios de 1º Física I: Relacion 6. Fisica 1 (2022-23)

Relacion-6.pdf

ejercicios

-

Relacion 5. Fisica 1 (2022-23)

He publicado nuevos ejercicios de 1º Física I: Relacion 5. Fisica 1 (2022-23)

Relacion-5.pdf

ejercicios

-

Relacion 4. Fisica 1 (2022-23)

He publicado nuevos ejercicios de 1º Física I: Relacion 4. Fisica 1 (2022-23)

Relacion-4.pdf

ejercicios

-

Relacion 3. Fisica 1 (2022-23)

He publicado nuevos ejercicios de 1º Física I: Relacion 3. Fisica 1 (2022-23)

Relacion-3.pdf

ejercicios

-

Relacion 2. Fisica 1 (2022-23)

He publicado nuevos ejercicios de 1º Física I: Relacion 2. Fisica 1 (2022-23)

Relacion-2.pdf

ejercicios

-

Relacion 1. Fisica 1 (2022-23)

He publicado nuevos ejercicios de 1º Física I: Relacion 1. Fisica 1 (2022-23)

Relacion-1.pdf

He publicado nuevos apuntes de 1º Física I: formulario-fisica-I.pdf

pdf

practicas

-

Excel practicas (puede que sea el examen de practicas)

He publicado nuevos practicas de 1º Física I: Excel practicas (puede que sea el examen de practicas)

practica-pendulo.xlsx
Anónimo

@Anónimo

examenes

-

EVALUACION VOLUNTARIA 2018 + SOL

He publicado nuevos examenes de 1º Física I: EVALUACION VOLUNTARIA 2018 + SOL

EVALUACION-VOLUNTARIA-2018-P5.pdf
EVALUACION-VOLUNTARIA-2018-P1.pdf
EVALUACION-VOLUNTARIA-2018-P4.pdf
https://www.wuolah.com/apuntes-fisica-i/apuntes/grado-en-ingenieria-mecanica/ual-escuela-superior-de-ingenieria/1/apuntes-resumen-fisica-apuntes-de-todos-los-temaspdf-4439843
Anónimo

@Anónimo

ejercicios

-

PROB T14 (ONDAS Y SONIDO) + SOL

He publicado nuevos ejercicios de 1º Física I: PROB T14 (ONDAS Y SONIDO) + SOL

RELACION-DE-PROBLEMAS-T14-E16.pdf
RELACION-DE-PROBLEMAS-T14-E9.pdf
RELACION-DE-PROBLEMAS-T14-E8.pdf
RELACION-DE-PROBLEMAS-T14-E4.pdf
RELACION-DE-PROBLEMAS-T14-E3.pdf
RELACION-DE-PROBLEMAS-T14-RESUELTOS.pdf
Anónimo

@Anónimo

ejercicios

-

PROB T9 (ROTACION) + SOL

He publicado nuevos ejercicios de 1º Física I: PROB T9 (ROTACION) + SOL

RELACION-DE-PROBLEMAS-T9-E3.pdf
RELACION-DE-PROBLEMAS-T9-RESUELTOS.pdf
RELACION-DE-PROBLEMAS-T9-E10.pdf
RELACION-DE-PROBLEMAS-T9-E2.pdf
RELACION-DE-PROBLEMAS-T9-E4.pdf
RELACION-DE-PROBLEMAS-T9-E1.pdf
Anónimo

@Anónimo

ejercicios

-

PROB T4 (LEYES MOV. NEWTON) + SOL

He publicado nuevos ejercicios de 1º Física I: PROB T4 (LEYES MOV. NEWTON) + SOL

RELACION-DE-PROBLEMAS-T4-E10.pdf
RELACION-DE-PROBLEMAS-T4-E8.pdf
RELACION-DE-PROBLEMAS-T4-E3.pdf
RELACION-DE-PROBLEMAS-T4-E4.pdf
RELACION-DE-PROBLEMAS-T4-E9.pdf
RELACION-DE-PROBLEMAS-T4-RESUELTOS.pdf
Anónimo

@Anónimo

ejercicios

-

PROB T3 (MOVIMIENTO 2D y 3D) + SOL

He publicado nuevos ejercicios de 1º Física I: PROB T3 (MOVIMIENTO 2D y 3D) + SOL

RELACION-DE-PROBLEMAS-T3-E9.pdf
RELACION-DE-PROBLEMAS-T3-E6.pdf
RELACION-DE-PROBLEMAS-T3-E5.pdf
RELACION-DE-PROBLEMAS-T3-E3.pdf
RELACION-DE-PROBLEMAS-T3-RESUELTA.pdf
https://www.wuolah.com/apuntes-fisica-i/apuntes/grado-en-ingenieria-mecanica/ual-escuela-superior-de-ingenieria/1/apuntes-resumen-fisica-apuntes-de-todos-los-temaspdf-4439843
Anónimo

@Anónimo

ejercicios

-

PROB T2 (MOV. LINEAL) + SOL

He publicado nuevos ejercicios de 1º Física I: PROB T2 (MOV. LINEAL) + SOL

RELACION-DE-PROBLEMAS-T2-RESUELTA.pdf
RELACION-DE-PROBLEMAS-T2-E7.pdf
RELACION-DE-PROBLEMAS-T2-E3.pdf
RELACION-DE-PROBLEMAS-T2-E9.pdf
RELACION-DE-PROBLEMAS-T2-E2.pdf
https://www.wuolah.com/apuntes-fisica-i/apuntes/grado-en-ingenieria-mecanica/ual-escuela-superior-de-ingenieria/1/apuntes-resumen-fisica-apuntes-de-todos-los-temaspdf-4439843
Anónimo

@Anónimo

ejercicios

-

PROB T1 (VECTORES) + SOL

He publicado nuevos ejercicios de 1º Física I: PROB T1 (VECTORES) + SOL

RELACION-DE-PROBLEMAS-T1-E11-y-E12.pdf
RELACION-DE-PROBLEMAS-T1-E10.pdf
RELACION-DE-PROBLEMAS-T1-E9.pdf
RELACION-DE-PROBLEMAS-T1-E16.pdf
RELACION-DE-PROBLEMAS-T1-E8.pdf
RELACION-DE-PROBLEMAS-T1-E4.pdf
Anónimo

@Anónimo

ejercicios

-

EJER RESUELTOS POR TEMÁTICA

He publicado nuevos ejercicios de 1º Física I: EJER RESUELTOS POR TEMÁTICA

EJER-RESUELTOS-ESTATICA.pdf
EJER-RESUELTOS-OSCILACIONES-ARMONICAS.pdf
EJER-RESUELTOS-ENERGIA-POTENCIA-Y-CONSERVACION.pdf
EJER-RESUELTOS-MOMENTO-LINEAL-e-IMPULSO-Y-CHOQUES.pdf
EJER-RESUELTOS-ONDAS.pdf
EJER-RESUELTOS-LEYES-NEWTON.pdf
Anónimo

@Anónimo

practicas

-

PRACTICA 7 RESUELTA

He publicado nuevos practicas de 1º Física I: PRACTICA 7 RESUELTA

Practica-7-Fisica-memoria-y-calculos.pdf
Practica-7-Fisica-ajustes.xlsx
Practica-7-Fisica-cuestiones.pdf
Practica-7-Fisica-ajustes.pdf
https://www.wuolah.com/apuntes-fisica-i/apuntes/grado-en-ingenieria-mecanica/ual-escuela-superior-de-ingenieria/1/apuntes-resumen-fisica-apuntes-de-todos-los-temaspdf-4439843
Anónimo

@Anónimo

practicas

-

PRACTICA 3 RESUELTA

He publicado nuevos practicas de 1º Física I: PRACTICA 3 RESUELTA

Practica-3-Fisica-Ajuste.xlsx
Practica-3-Fisica-memoria-y-calculos.pdf
Practica-3-Fisica-Ajuste.pdf
Practica-3-Fisica-cuestiones.pdf
https://www.wuolah.com/apuntes-fisica-i/apuntes/grado-en-ingenieria-mecanica/ual-escuela-superior-de-ingenieria/1/apuntes-resumen-fisica-apuntes-de-todos-los-temaspdf-4439843
Anónimo

@Anónimo

practicas

-

tabla ajuste minimos cuadrados

He publicado nuevos practicas de 1º Física I: tabla ajuste minimos cuadrados

Tabla-de-apoyo-ajustes.docx
Tabla-de-apoyo-ajustes.pdf
https://www.wuolah.com/apuntes-fisica-i/apuntes/grado-en-ingenieria-mecanica/ual-escuela-superior-de-ingenieria/1/apuntes-resumen-fisica-apuntes-de-todos-los-temaspdf-4439843
Anónimo

@Anónimo

practicas

-

examenes teoria de errores

He publicado nuevos practicas de 1º Física I: examenes teoria de errores

Examen-2-teoria-de-errores.pdf
Examen-10-teoria-de-errores.pdf
Examen-8-teoria-de-errores-resuelto.pdf
Examen-4-teoria-de-errores.pdf
Examen-1-teoria-de-errores.pdf
Examen-3-teoria-de-errores.pdf
Anónimo

@Anónimo

apuntes

-

APUNTES RESUMEN FISICA

He publicado nuevos apuntes de 1º Física I: APUNTES RESUMEN FISICA

Tema-11-estatica.pdf
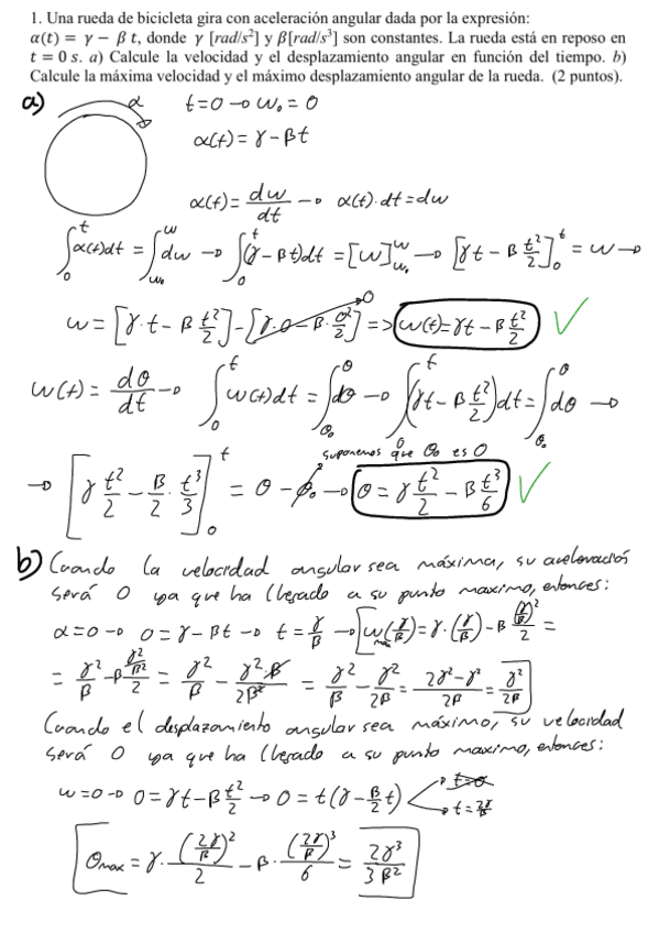
Tema-9y10-movimiento-circular.pdf
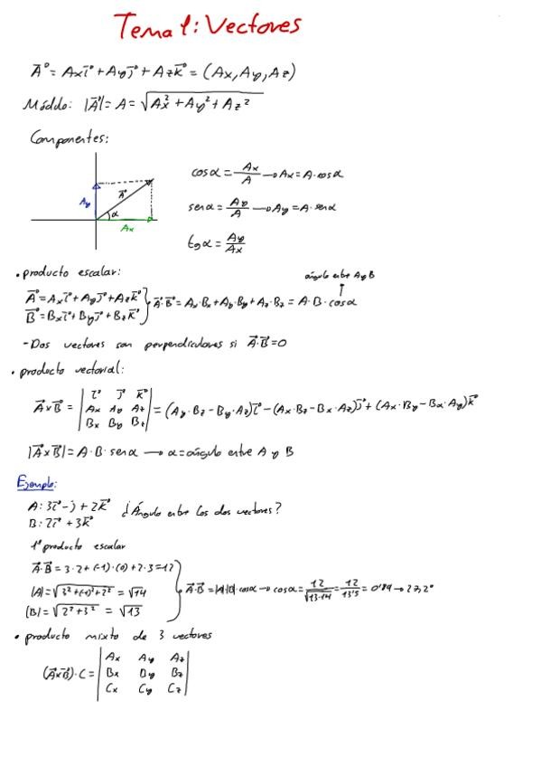
Tema-1-vectores.pdf
Tema-2al8-cinematica-y-dinamica.pdf
Tema-12-elasticidad.pdf
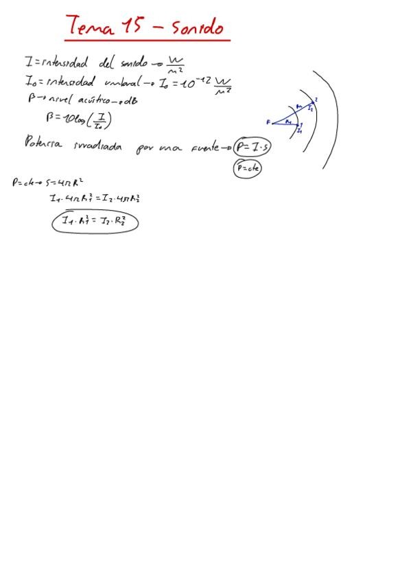
Tema-15-sonido.pdf
Anónimo

@Anónimo

apuntes

-

APUNTES DE CLASE

He publicado nuevos apuntes de 1º Física I: APUNTES DE CLASE

9-energias.pdf
3-dinamica-de-la-particula.pdf
4-Dinamica-de-sistemas-de-particulas-clase.pdf
8-dinamica-de-rotacion.pdf
1-Cinematica-composicion-de-movimientos.pdf
7-centro-de-masas.pdf
Anónimo

@Anónimo

He publicado nuevos ejercicios de 1º Física I: EJER-RESUELTOS-TIPO-EXAMEN.pdf

16 páginas
Anónimo

@Anónimo

He publicado nuevos ejercicios de 1º Física I: RELACION-DE-PROBLEMAS-T5-RESUELTA.pdf

8 páginas
Anónimo

@Anónimo

He publicado nuevos ejercicios de 1º Física I: RELACION-DE-PROBLEMAS-T6-RESUELTA.pdf

8 páginas
Anónimo

@Anónimo

He publicado nuevos ejercicios de 1º Física I: RELACION-DE-PROBLEMAS-T7-RESUELTA.pdf

8 páginas
Anónimo

@Anónimo

ejercicios

-

PROB T10 (M. ROTATORIO) + SOL

He publicado nuevos ejercicios de 1º Física I: PROB T10 (M. ROTATORIO) + SOL

RELACION-DE-PROBLEMAS-T10-E7.pdf
RELACION-DE-PROBLEMAS-T10-E9.pdf
Anónimo

@Anónimo

He publicado nuevos ejercicios de 1º Física I: RELACION-DE-PROBLEMAS-T11-RESUELTA.pdf

5 páginas
Anónimo

@Anónimo

He publicado nuevos ejercicios de 1º Física I: RELACION-DE-PROBLEMAS-T12-RESUELTA.pdf

4 páginas
Anónimo

@Anónimo

He publicado nuevos ejercicios de 1º Física I: RELACION-DE-PROBLEMAS-T13-RESUELTA.pdf

5 páginas
Anónimo

@Anónimo

He publicado nuevos examenes de 1º Física I: EXAMEN-SEPTIEMBRE-2020.pdf

1 página
Anónimo

@Anónimo

examenes

-

EXAMEN FEBRERO 2018 RESUELTO

He publicado nuevos examenes de 1º Física I: EXAMEN FEBRERO 2018 RESUELTO

EXAMEN-FEBRERO-2018-E2.pdf
EXAMEN-FEBRERO-2018-RESUELTO.pdf
EXAMEN-FEBRERO-2018-E3.pdf
EXAMEN-FEBRERO-2018-E1.pdf
EXAMEN-FEBRERO-2018-E4.pdf
Anónimo

@Anónimo

examenes

-

EXAMEN SEPTIEMBRE 2018 RESUELTO

He publicado nuevos examenes de 1º Física I: EXAMEN SEPTIEMBRE 2018 RESUELTO

EXAMEN-SEPTIEMBRE-2018-E4.pdf
EXAMEN-SEPTIEMBRE-2018-E2.pdf
EXAMEN-SEPTIEMBRE-2018-E3.pdf
EXAMEN-SEPTIEMBRE-2018-E1.pdf
EXAMEN-SEPTIEMBRE-2018-RESUELTO.pdf
Anónimo

@Anónimo

examenes

-

EXAMEN FEBRERO 2017 + RESOLUCIONES

He publicado nuevos examenes de 1º Física I: EXAMEN FEBRERO 2017 + RESOLUCIONES

EXAMEN-FEBRERO-2017-P2.pdf
EXAMEN-FEBRERO-2017-E2.pdf
EXAMEN-FEBRERO-2017-E4.pdf
EXAMEN-FEBRERO-2017-E1.pdf
EXAMEN-FEBRERO-2017-RESUELTO.pdf
Anónimo

@Anónimo

examenes

-

EXAMEN SEPTIEMBRE 2017 + RESOLUCIONES

He publicado nuevos examenes de 1º Física I: EXAMEN SEPTIEMBRE 2017 + RESOLUCIONES

EXAMEN-SEPTIEMBRE-2017-E2.pdf
EXAMEN-SEPTIEMBRE-2017-E6.pdf
EXAMEN-SEPTIEMBRE-2017-RESUELTO.pdf
EXAMEN-SEPTIEMBRE-2017-E1.pdf