Todo
Apuntes
Ejercicios
Exámenes
Prácticas
chevron_left
chevron_right
Anónimo

@Anónimo

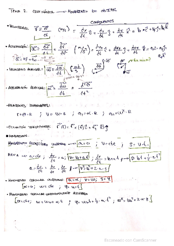
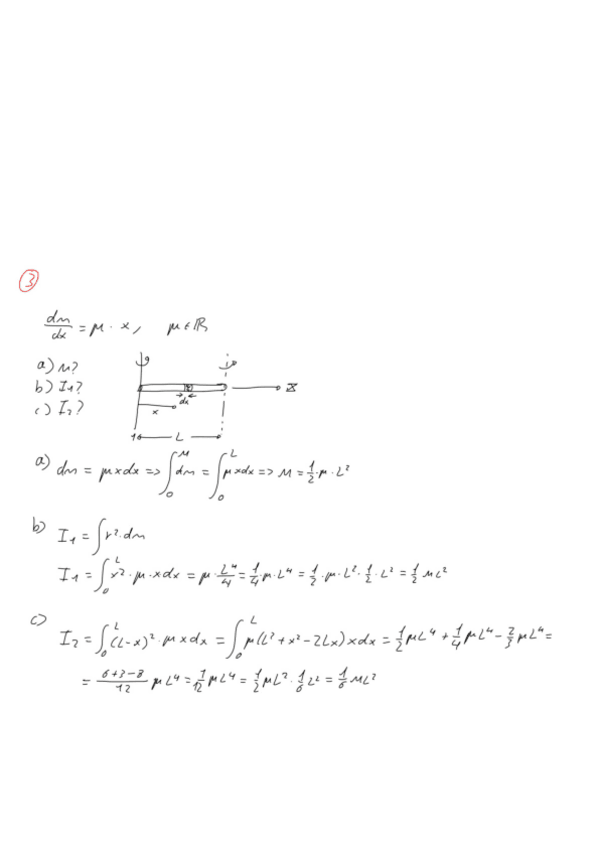
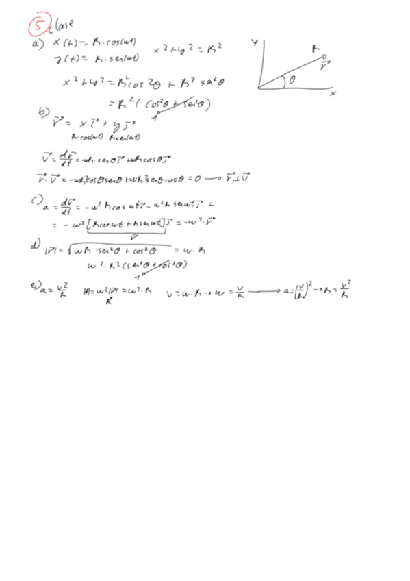
He publicado nuevos apuntes de 1º Física I: Rotacion-Rigidos-Tema4Fisica.pdf

2 páginas
Anónimo

@Anónimo

He publicado nuevos apuntes de 1º Física I: Teoria-Errores.pdf

1 página

Examen de teoria de errores de fisica I 2025

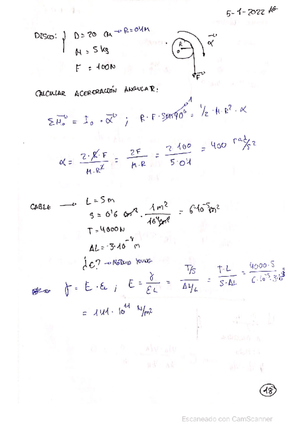
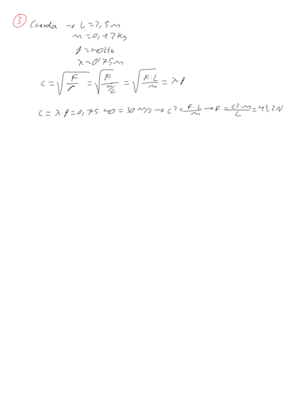
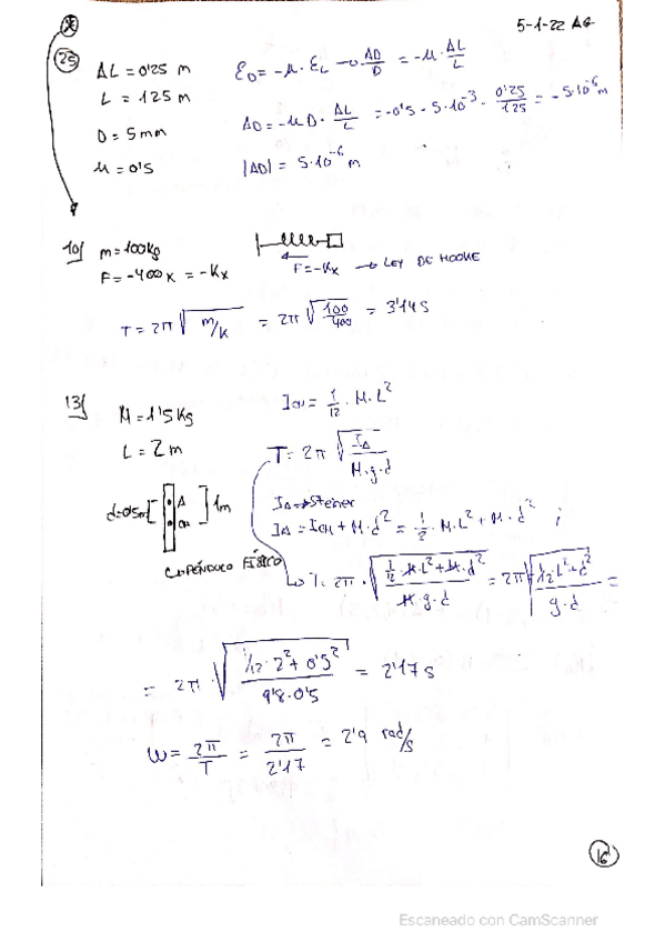
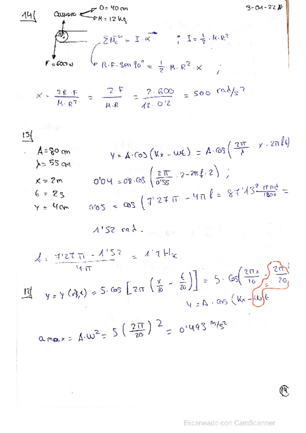
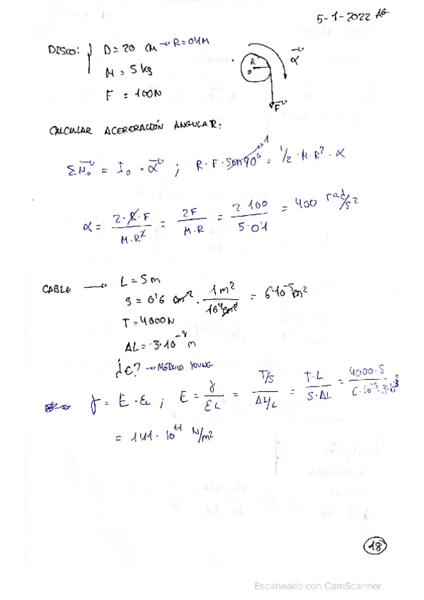
Imagen

He publicado nuevos examenes de 1º Física I: examen-teoria-de-errores-2024.jpg

Imagen

examenes

-

Examenes fisica I

Hay parciales del 2025, 2024 y examenes finales

Examen-fisica-I.jpg
Examen-fisica-I.jpg
IMG-20250923-WA0014.jpg
IMG-20250923-WA0013.jpg
IMG-20250923-WA0012.jpg
IMG-20251111-WA0062.jpg

Examen teoria de errores

Imagen
Anónimo

@Anónimo

He publicado nuevos apuntes de 1º Física I: Dinamica-resumido.pdf

1 página
Anónimo

@Anónimo

He publicado nuevos apuntes de 1º Física I: Dinamica.pdf

2 páginas

Tema 4: Trabajo y Energía

13 páginas

examenes

-

Parcial 2024-2025

Examen Parcial resuelto, Grupo B

PARCIAL2024-2025enunciado.pdf
PARCIAL2024-2025soluciones.pdf
PARCIAL2024-2025completo.pdf

Tema 5: Sistemas de Partículas

10 páginas
Anónimo

@Anónimo

He publicado nuevos apuntes de 1º Física I: Formulario-Cinematica.pdf

1 página

practicas

-

Péndulo simple

He publicado nuevos practicas de 1º Física I: Péndulo simple

Practica2pendulosimpleexcel.pdf
Practica2pendulosimpleword.pdf

practicas

-

Muelle dinámica

He publicado nuevos practicas de 1º Física I: Muelle dinámica

muelledinamicoexcel.pdf
Muelledinamicoword.pdf

practicas

-

Momento de una esfera

He publicado nuevos practicas de 1º Física I: Momento de una esfera

momentodeunaesferaexcel.pdf
momentodeunaesferaword.pdf

apuntes

-

TEMAS RESUMIDOS FISICA

He publicado nuevos apuntes de 1º Física I: TEMAS RESUMIDOS FISICA

T1-VECTORES-LIBRES.pdf
T2-CINEMATICA-DE-PARTICULA.pdf
T3-DINAMICA-DEL-PUNTO.pdf
T4-CINEMATICA-DE-SOLIDO-RIGIDO.pdf
T5-MOVIMIENTO-RELATIVO.pdf
T6-MOVIMIENTO-PLANO.pdf

apuntes

-

Física 1º Cuatrimestre

He publicado nuevos apuntes de 1º Física I: Física 1º Cuatrimestre

Libro-Fisica.pdf
TeoriaDeMedidas.pdf
Problemas-parcial-1.pdf
Problemas-parte-ondas-t8.pdf
Problemas-oscilaciones-t7.pdf
Problemas-elasticidad-t6.pdf

examenes

-

Examen Online resuelto

He publicado nuevos examenes de 1º Física I: Examen Online resuelto

Examen-Online.pdf
Examen-Online-resuelto.pdf

He publicado nuevos apuntes de 1º Física I: Formulario.pdf

4 páginas

He publicado nuevos examenes de 1º Física I: Examen-Extraordinario-2022-2023.pdf

2 páginas

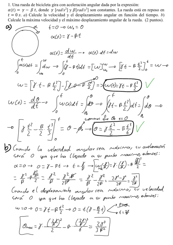
He publicado nuevos ejercicios de 1º Física I: Dinamica-del-movimiento-circular-uniforme.pdf

7 páginas

He publicado nuevos ejercicios de 1º Física I: Dinamica-de-la-particula.pdf

11 páginas

He publicado nuevos ejercicios de 1º Física I: Movimiento-relativo-de-traslacion-uniforme.pdf

2 páginas

He publicado nuevos ejercicios de 1º Física I: Movimiento-circular.pdf

2 páginas

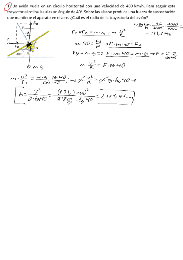
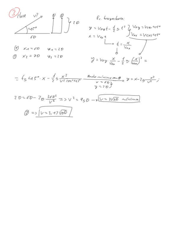
He publicado nuevos ejercicios de 1º Física I: Movimiento-curvilineo.pdf

8 páginas

He publicado nuevos apuntes de 1º Física I: Movimiento-rectilineo.pdf

3 páginas

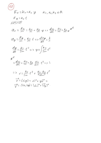
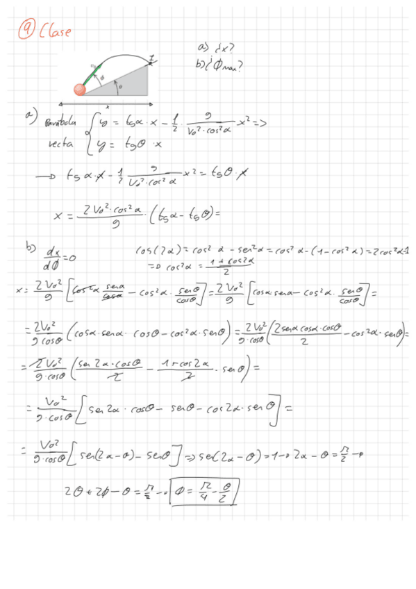
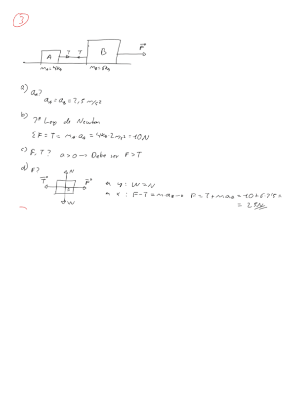
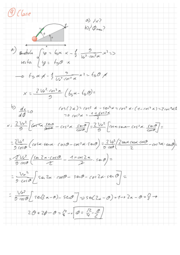
Gugugugjgkvu

Imagen

apuntes

-

Ima

He publicado nuevos apuntes de 1º Física I: Ima

examenfisicajun2019.pdf
solucion-examen-fisica-selectividad-andalucia-junio-2021.pdf
Anónimo

@Anónimo

examenes

-

EXAMEN SEPTIEMBRE 2012 + RESOLUCIONES

He publicado nuevos examenes de 1º Física I: EXAMEN SEPTIEMBRE 2012 + RESOLUCIONES

EXAMEN-SEPTIEMBRE-2012-PARTE-A-RESUELTA.pdf
EXAMEN-SEPTIEMBRE-2012-PARTE-A-E4.pdf
EXAMEN-SEPTIEMBRE-2012-PARTE-A-E1.pdf
EXAMEN-SEPTIEMBRE-2012-PARTE-A-E3.pdf
Miniatura no disponible
https://www.wuolah.com/apuntes-fisica-i/apuntes/grado-en-ingenieria-mecanica/ual-escuela-superior-de-ingenieria/1/apuntes-resumen-fisica-apuntes-de-todos-los-temaspdf-4439843
Anónimo

@Anónimo

examenes

-

EXAMEN SEPTIEMBRE 2020

He publicado nuevos examenes de 1º Física I: EXAMEN SEPTIEMBRE 2020

EXAMEN-SEPTIEMBRE-2020.pdf
Miniatura no disponible
https://www.wuolah.com/apuntes-fisica-i/apuntes/grado-en-ingenieria-mecanica/ual-escuela-superior-de-ingenieria/1/apuntes-resumen-fisica-apuntes-de-todos-los-temaspdf-4439843
Anónimo

@Anónimo

ejercicios

-

PROB T13 (OSCILACIONES) + SOL

He publicado nuevos ejercicios de 1º Física I: PROB T13 (OSCILACIONES) + SOL

RELACION-DE-PROBLEMAS-T13-RESUELTA.pdf
Miniatura no disponible
https://www.wuolah.com/apuntes-fisica-i/apuntes/grado-en-ingenieria-mecanica/ual-escuela-superior-de-ingenieria/1/apuntes-resumen-fisica-apuntes-de-todos-los-temaspdf-4439843
Anónimo

@Anónimo

ejercicios

-

PROB T12 (ELASTICIDAD) + SOL

He publicado nuevos ejercicios de 1º Física I: PROB T12 (ELASTICIDAD) + SOL

RELACION-DE-PROBLEMAS-T12-RESUELTA.pdf
Miniatura no disponible
https://www.wuolah.com/apuntes-fisica-i/apuntes/grado-en-ingenieria-mecanica/ual-escuela-superior-de-ingenieria/1/apuntes-resumen-fisica-apuntes-de-todos-los-temaspdf-4439843
Anónimo

@Anónimo

ejercicios

-

PROB T7 (ENG. POT. Y CONSERVACION) + SOL

He publicado nuevos ejercicios de 1º Física I: PROB T7 (ENG. POT. Y CONSERVACION) + SOL

RELACION-DE-PROBLEMAS-T7-RESUELTA.pdf
Miniatura no disponible
https://www.wuolah.com/apuntes-fisica-i/apuntes/grado-en-ingenieria-mecanica/ual-escuela-superior-de-ingenieria/1/apuntes-resumen-fisica-apuntes-de-todos-los-temaspdf-4439843
Anónimo

@Anónimo

ejercicios

-

PROB T6 (TRABAJO Y E. CINETICA) + SOL

He publicado nuevos ejercicios de 1º Física I: PROB T6 (TRABAJO Y E. CINETICA) + SOL

RELACION-DE-PROBLEMAS-T6-RESUELTA.pdf
Miniatura no disponible
https://www.wuolah.com/apuntes-fisica-i/apuntes/grado-en-ingenieria-mecanica/ual-escuela-superior-de-ingenieria/1/apuntes-resumen-fisica-apuntes-de-todos-los-temaspdf-4439843
Anónimo

@Anónimo

ejercicios

-

EJER RESUELTOS TIPO EXAMEN

He publicado nuevos ejercicios de 1º Física I: EJER RESUELTOS TIPO EXAMEN

EJER-RESUELTOS-TIPO-EXAMEN.pdf
Miniatura no disponible
https://www.wuolah.com/apuntes-fisica-i/apuntes/grado-en-ingenieria-mecanica/ual-escuela-superior-de-ingenieria/1/apuntes-resumen-fisica-apuntes-de-todos-los-temaspdf-4439843
Anónimo

@Anónimo

ejercicios

-

PROB T5 (LEYES NEWTON) + SOL

He publicado nuevos ejercicios de 1º Física I: PROB T5 (LEYES NEWTON) + SOL

RELACION-DE-PROBLEMAS-T5-RESUELTA.pdf
Miniatura no disponible
https://www.wuolah.com/apuntes-fisica-i/apuntes/grado-en-ingenieria-mecanica/ual-escuela-superior-de-ingenieria/1/apuntes-resumen-fisica-apuntes-de-todos-los-temaspdf-4439843

apuntes

-

PROBLEMAS CORTOS TIPO EXAMEN

He publicado nuevos apuntes de 1º Física I: PROBLEMAS CORTOS TIPO EXAMEN

PREG.pdf
PREG.pdf
PREG.pdf
PREG.pdf
PREG.pdf
PREG.pdf

He publicado nuevos apuntes de 1º Física I: problemas-cortos-oscilaciones-armonicas-1.pdf

pdf

He publicado nuevos apuntes de 1º Física I: problemas-cortos-oscilaciones-armonicas.pdf

pdf

He publicado nuevos apuntes de 1º Física I: fisica-I-formulario-completo.pdf

pdf

He publicado nuevos apuntes de 1º Física I: formulario-fisica-I.pdf

pdf

He publicado nuevos apuntes de 1º Física I: FORMULARIO-BASICO-FISICA-I.pdf

pdf
Anónimo

@Anónimo

He publicado nuevos practicas de 1º Física I: Examen-Practicas-Fisica.xlsx

excel

He publicado nuevos practicas de 1º Física I: PRACTICAFISICA.xlsx

excel

He publicado nuevos practicas de 1º Física I: PRACTICAFISICA.xlsx

excel

apuntes

-

RESUMENES TODOS LOS TEMAS

He publicado nuevos apuntes de 1º Física I: RESUMENES TODOS LOS TEMAS

Tema-5-APLICACION-DE-LAS-LEYES-DE-NEWTON.pdf
Tema-7-ENERGIA-POTENCIAL-Y-CONSERVACION-DE-LA-ENERGIA.pdf
Tema-8-MOMENTO-LINEAL-IMPULSO-Y-CHOQUES.pdf
Tema-6-TRABAJO-Y-ENERGIA-CINETICA.pdf
TEMA-9-ROTACION-DE-CUERPOS-RIGIDOS.pdf
TEMA-15-ONDAS-MECANICAS.pdf
Anónimo

@Anónimo

examenes

-

EXAMEN FEBRERO 2017 + RESOLUCIONES

He publicado nuevos examenes de 1º Física I: EXAMEN FEBRERO 2017 + RESOLUCIONES

EXAMEN-FEBRERO-2017-E2.pdf
EXAMEN-FEBRERO-2017-E4.pdf
EXAMEN-FEBRERO-2017-RESUELTO.pdf
EXAMEN-FEBRERO-2017-P2.pdf
EXAMEN-FEBRERO-2017-E1.pdf
https://www.wuolah.com/apuntes-fisica-i/apuntes/grado-en-ingenieria-mecanica/ual-escuela-superior-de-ingenieria/1/apuntes-resumen-fisica-apuntes-de-todos-los-temaspdf-4439843
Anónimo

@Anónimo

examenes

-

EXAMEN FEBRERO 2018 RESUELTO

He publicado nuevos examenes de 1º Física I: EXAMEN FEBRERO 2018 RESUELTO

EXAMEN-FEBRERO-2018-E3.pdf
EXAMEN-FEBRERO-2018-RESUELTO.pdf
EXAMEN-FEBRERO-2018-E4.pdf
EXAMEN-FEBRERO-2018-E2.pdf
EXAMEN-FEBRERO-2018-E1.pdf
https://www.wuolah.com/apuntes-fisica-i/apuntes/grado-en-ingenieria-mecanica/ual-escuela-superior-de-ingenieria/1/apuntes-resumen-fisica-apuntes-de-todos-los-temaspdf-4439843
Anónimo

@Anónimo

examenes

-

EVALUACION VOLUNTARIA 2018 + SOL

He publicado nuevos examenes de 1º Física I: EVALUACION VOLUNTARIA 2018 + SOL

EVALUACION-VOLUNTARIA-2018-P4.pdf
EVALUACION-VOLUNTARIA-2018-P1.pdf
EVALUACION-VOLUNTARIA-2018-P5.pdf
https://www.wuolah.com/apuntes-fisica-i/apuntes/grado-en-ingenieria-mecanica/ual-escuela-superior-de-ingenieria/1/apuntes-resumen-fisica-apuntes-de-todos-los-temaspdf-4439843
Anónimo

@Anónimo

ejercicios

-

PROB T14 (ONDAS Y SONIDO) + SOL

He publicado nuevos ejercicios de 1º Física I: PROB T14 (ONDAS Y SONIDO) + SOL

RELACION-DE-PROBLEMAS-T14-RESUELTOS.pdf
RELACION-DE-PROBLEMAS-T14-E8.pdf
RELACION-DE-PROBLEMAS-T14-E9.pdf
RELACION-DE-PROBLEMAS-T14-E4.pdf
RELACION-DE-PROBLEMAS-T14-E16.pdf
RELACION-DE-PROBLEMAS-T14-E3.pdf
Anónimo

@Anónimo

ejercicios

-

PROB T11 (ESTATICA) + SOL

He publicado nuevos ejercicios de 1º Física I: PROB T11 (ESTATICA) + SOL

RELACION-DE-PROBLEMAS-T11-RESUELTA.pdf
https://www.wuolah.com/apuntes-fisica-i/apuntes/grado-en-ingenieria-mecanica/ual-escuela-superior-de-ingenieria/1/apuntes-resumen-fisica-apuntes-de-todos-los-temaspdf-4439843
Anónimo

@Anónimo

ejercicios

-

PROB T9 (ROTACION) + SOL

He publicado nuevos ejercicios de 1º Física I: PROB T9 (ROTACION) + SOL

RELACION-DE-PROBLEMAS-T9-E2.pdf
RELACION-DE-PROBLEMAS-T9-E1.pdf
RELACION-DE-PROBLEMAS-T9-E3.pdf
RELACION-DE-PROBLEMAS-T9-E10.pdf
RELACION-DE-PROBLEMAS-T9-E4.pdf
RELACION-DE-PROBLEMAS-T9-RESUELTOS.pdf
Anónimo

@Anónimo

ejercicios

-

PROB T4 (LEYES MOV. NEWTON) + SOL

He publicado nuevos ejercicios de 1º Física I: PROB T4 (LEYES MOV. NEWTON) + SOL

RELACION-DE-PROBLEMAS-T4-E3.pdf
RELACION-DE-PROBLEMAS-T4-E7.pdf
RELACION-DE-PROBLEMAS-T4-E4.pdf
RELACION-DE-PROBLEMAS-T4-E8.pdf
RELACION-DE-PROBLEMAS-T4-E10.pdf
RELACION-DE-PROBLEMAS-T4-E5.pdf
Anónimo

@Anónimo

ejercicios

-

PROB T3 (MOVIMIENTO 2D y 3D) + SOL

He publicado nuevos ejercicios de 1º Física I: PROB T3 (MOVIMIENTO 2D y 3D) + SOL

RELACION-DE-PROBLEMAS-T3-E6.pdf
RELACION-DE-PROBLEMAS-T3-RESUELTA.pdf
RELACION-DE-PROBLEMAS-T3-E3.pdf
RELACION-DE-PROBLEMAS-T3-E5.pdf
RELACION-DE-PROBLEMAS-T3-E9.pdf
https://www.wuolah.com/apuntes-fisica-i/apuntes/grado-en-ingenieria-mecanica/ual-escuela-superior-de-ingenieria/1/apuntes-resumen-fisica-apuntes-de-todos-los-temaspdf-4439843
Anónimo

@Anónimo

ejercicios

-

PROB T2 (MOV. LINEAL) + SOL

He publicado nuevos ejercicios de 1º Física I: PROB T2 (MOV. LINEAL) + SOL

RELACION-DE-PROBLEMAS-T2-E7.pdf
RELACION-DE-PROBLEMAS-T2-E2.pdf
RELACION-DE-PROBLEMAS-T2-RESUELTA.pdf
RELACION-DE-PROBLEMAS-T2-E9.pdf
RELACION-DE-PROBLEMAS-T2-E3.pdf
https://www.wuolah.com/apuntes-fisica-i/apuntes/grado-en-ingenieria-mecanica/ual-escuela-superior-de-ingenieria/1/apuntes-resumen-fisica-apuntes-de-todos-los-temaspdf-4439843
Anónimo

@Anónimo

ejercicios

-

PROB T1 (VECTORES) + SOL

He publicado nuevos ejercicios de 1º Física I: PROB T1 (VECTORES) + SOL

RELACION-DE-PROBLEMAS-T1-E7.pdf
RELACION-DE-PROBLEMAS-T1-E15.pdf
RELACION-DE-PROBLEMAS-T1-E8.pdf
RELACION-DE-PROBLEMAS-T1-E11-y-E12.pdf
RELACION-DE-PROBLEMAS-T1-E4.pdf
RELACION-DE-PROBLEMAS-T1-E10.pdf
Anónimo

@Anónimo

ejercicios

-

EJER RESUELTOS POR TEMÁTICA

He publicado nuevos ejercicios de 1º Física I: EJER RESUELTOS POR TEMÁTICA

EJER-RESUELTOS-ELASTICIDAD.pdf
EJER-RESUELTOS-OSCILACIONES-ARMONICAS.pdf
EJER-RESUELTOS-MOMENTO-LINEAL-e-IMPULSO-Y-CHOQUES.pdf
EJER-RESUELTOS-DINAMICA-DEL-MOVIMIENTO-ROTACIONAL.pdf
EJER-RESUELTOS-ESTATICA.pdf
EJER-RESUELTOS-ENERGIA-POTENCIA-Y-CONSERVACION.pdf
Anónimo

@Anónimo

practicas

-

PRACTICA 7 RESUELTA

He publicado nuevos practicas de 1º Física I: PRACTICA 7 RESUELTA

Practica-7-Fisica-ajustes.xlsx
Practica-7-Fisica-ajustes.pdf
Practica-7-Fisica-memoria-y-calculos.pdf
Practica-7-Fisica-cuestiones.pdf
https://www.wuolah.com/apuntes-fisica-i/apuntes/grado-en-ingenieria-mecanica/ual-escuela-superior-de-ingenieria/1/apuntes-resumen-fisica-apuntes-de-todos-los-temaspdf-4439843
Anónimo

@Anónimo

practicas

-

PRACTICA 3 RESUELTA

He publicado nuevos practicas de 1º Física I: PRACTICA 3 RESUELTA

Practica-3-Fisica-Ajuste.pdf
Practica-3-Fisica-Ajuste.xlsx
Practica-3-Fisica-cuestiones.pdf
Practica-3-Fisica-memoria-y-calculos.pdf
https://www.wuolah.com/apuntes-fisica-i/apuntes/grado-en-ingenieria-mecanica/ual-escuela-superior-de-ingenieria/1/apuntes-resumen-fisica-apuntes-de-todos-los-temaspdf-4439843
Anónimo

@Anónimo

practicas

-

tabla ajuste minimos cuadrados

He publicado nuevos practicas de 1º Física I: tabla ajuste minimos cuadrados

Tabla-de-apoyo-ajustes.docx
Tabla-de-apoyo-ajustes.pdf
https://www.wuolah.com/apuntes-fisica-i/apuntes/grado-en-ingenieria-mecanica/ual-escuela-superior-de-ingenieria/1/apuntes-resumen-fisica-apuntes-de-todos-los-temaspdf-4439843