Todo
Apuntes
Ejercicios
Exámenes
Prácticas
chevron_left
chevron_right

He publicado nuevos examenes de 1º Física I: Examen-extraordinarioproblemas2425.pdf

4 páginas

He publicado nuevos examenes de 1º Física I: EXAMEN-EXTRAORDINARIO-DE-FISICA-ICUESTIONES2425.pdf

8 páginas

He publicado nuevos examenes de 1º Física I: EXAMEN-ORDINARIO-DE-FISICA-I2025cuestiones.pdf

9 páginas

He publicado nuevos apuntes de 1º Física I: Apuntes-laboratorio.pdf

5 páginas

DETERMINACIÓN DEL MOMENTO DE INERCIA DE UNA RUEDA DE MAXWELL

8 páginas

Práctica 15:ONDAS ESTACIONARIAS EN CUERDAS

13 páginas

Práctica 5 resortes helicoidales- LEY DE HOOKE

9 páginas

Nota: 10

7 páginas

Nota : 6,5

9 páginas

Nota: 8,5

7 páginas

practicas

-

Guiones de prácticas

He publicado nuevos practicas de 1º Física I: Guiones de prácticas

Practica1.pdf
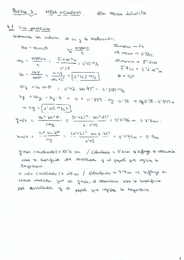
Practica2.pdf
Practica3.pdf
Practica4.pdf
Practica5.pdf
Practica6.pdf

He publicado nuevos ejercicios de 1º Física I: Cuestiones-corregidas-Tema-5-Solido-rigido.pdf

5 páginas

Laboratorio de física

15 páginas

He publicado nuevos practicas de 1º Física I: Informe-fisica-Vibracion-de-cuerdas-practica-12.pdf

5 páginas

He publicado nuevos ejercicios de 1º Física I: Cuestiones-corregida-Tema-4-Sistemas-de-particulas.pdf

4 páginas

He publicado nuevos ejercicios de 1º Física I: Cuestiones-resueltas-Tema-3-Trabajo-y-Energia.pdf

8 páginas

He publicado nuevos ejercicios de 1º Física I: Cuestiones-resueltas-Tema-2-Dinamica.pdf

6 páginas

He publicado nuevos ejercicios de 1º Física I: Cuestiones-resueltas-Tema-1-Cinematica.pdf

13 páginas

examenes

-

EXÁMNES ORDINARIOS/EXTRAORDINARIOS

He publicado nuevos examenes de 1º Física I: EXÁMNES ORDINARIOS/EXTRAORDINARIOS

EXTRAORDINARIOCUESTIONES22-23.pdf
EXTRAORDINARIOPROBLEMAS22-23.pdf
EXAMEN-CUESTIONES-EXTRAORDINARIO.pdf
EXAMEN-PROBLEMAS-EXTRAORDINARIO.pdf

examenes

-

EXÁMENES PARCIALES

He publicado nuevos examenes de 1º Física I: EXÁMENES PARCIALES

examentipotest4.pdf
examentipotest5.pdf
RESOLUCION-1-EXAMEN.pdf
2o-examen-test2223IEIM1113ModBresolucion.pdf
2o-examen-test2223IM2Mod1resolucion.pdf
2o-examen-test2223IM2Mod2resolucion.pdf

practicas

-

INFORMES FÍSICA I

He publicado nuevos practicas de 1º Física I: INFORMES FÍSICA I

informep1corregido.pdf
informep6corregido.pdf
practica8corregida.pdf
fisicap14.pdf

He publicado nuevos examenes de 1º Física I: 2o-examen-test2223IEIM1113ModAresolucion.pdf

7 páginas

He publicado nuevos examenes de 1º Física I: 1er-examen-intermedio2324IEsolucionesModA.pdf

3 páginas

He publicado nuevos examenes de 1º Física I: Examen-ordinario-de-problemas-2324resolucion.pdf

5 páginas

He publicado nuevos examenes de 1º Física I: Examen-ordinario-de-cuestiones-2324resolucion-2.pdf

7 páginas

He publicado nuevos examenes de 1º Física I: test1modelo114.pdf

3 páginas

He publicado nuevos examenes de 1º Física I: test1-viejos.pdf

21 páginas

He publicado nuevos examenes de 1º Física I: 1er-examen-test2324IM12.pdf

4 páginas

He publicado nuevos examenes de 1º Física I: test1-limpio.pdf

2 páginas

He publicado nuevos examenes de 1º Física I: 1er-examen-test2223IQMod2.pdf

6 páginas

He publicado nuevos examenes de 1º Física I: 1er-examen-test2324IQ.pdf

8 páginas

He publicado nuevos examenes de 1º Física I: 1er-examen-test2223IM12Mod2.pdf

7 páginas

He publicado nuevos examenes de 1º Física I: 1er-examen-test2223IQMod1.pdf

6 páginas

He publicado nuevos examenes de 1º Física I: 1er-examen-test2223IM13.pdf

6 páginas

He publicado nuevos examenes de 1º Física I: 1er-examen-test2223IEModB.pdf

11 páginas

He publicado nuevos examenes de 1º Física I: 1er-examen-test2223IM12Mod1.pdf

7 páginas

He publicado nuevos examenes de 1º Física I: 1er-examen-test2223IEModA.pdf

11 páginas

He publicado nuevos apuntes de 1º Física I: TEMA-6.pdf

5 páginas

He publicado nuevos examenes de 1º Física I: Resolucion-ProblemasConv.-Ordinaria-2223.pdf

10 páginas

He publicado nuevos examenes de 1º Física I: Cuestiones2.pdf

2 páginas

He publicado nuevos examenes de 1º Física I: Cuestiones1.pdf

1 página

examenes

-

Física I

He publicado nuevos examenes de 1º Física I: Física I

Examen-extraordinario-2122-resolucion.pdf
EXAMEN-EXTRAORDINARIO-DE-FISICA-Isolucion.pdf
EXAMEN-ORDINARIO-DE-FISICA-I-curso-2122cuestionesresolucion-2.pdf
EXAMEN-ORDINARIO-DE-FISICA-I-curso-2122resolucion-2.pdf
Resolucion-cuestiones-Conv.-ordinaria-2223.pdf
1er-examen-testRESOLUCModA.pdf

He publicado nuevos practicas de 1º Física I: practica-8.pdf

4 páginas

He publicado nuevos practicas de 1º Física I: PRACTICA-6.pdf

4 páginas

He publicado nuevos practicas de 1º Física I: practica-2.pdf

5 páginas
¡Estás al día!

¡Estás al día!

Has visto todos los archivos