user_3688567
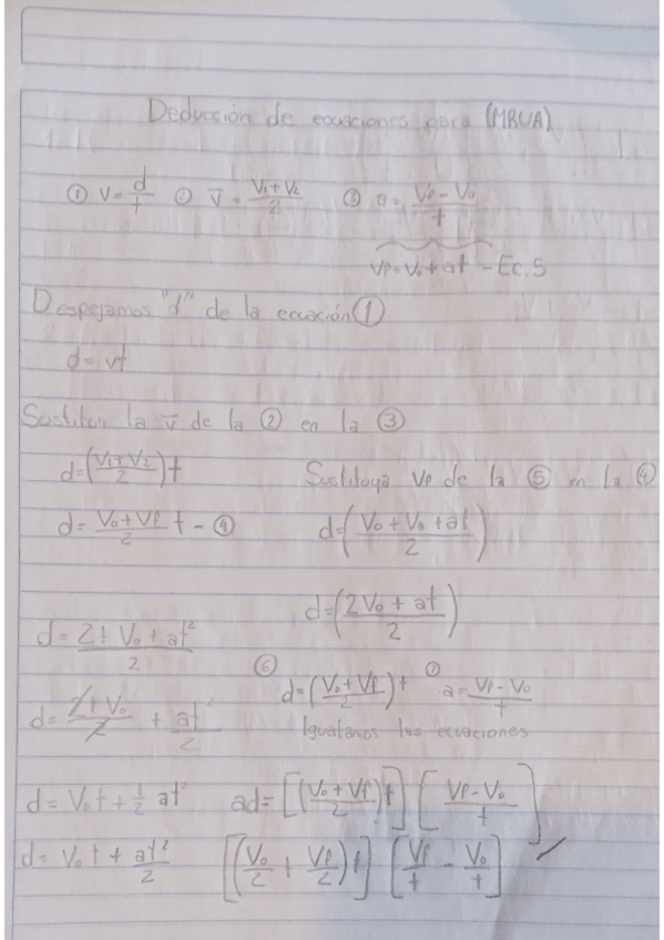
deduccion-de-ecuaciones-para-MRUA.pdf
3 páginas
Apuntes - I.C.M.pdf
pdf
2 páginas
12
0
Apuntes - Linea-del-tiempo-sobre-los-antecedentes-de-la-electricidad.pdf
1 página
10
Ejercicios - Tiro-Vertical-Caida-Libre.pdf
8
1
Apuntes - Ondas-magneticas-y-electromagneticas.pdf
4 páginas
6
Ejercicios - Leyes-de-Newton-y-Diagramas-de-Cuerpo-Libre.pdf
5
Otros - Proyecto-fisica.pptx
pptx
Apuntes - PESO-ESPECIFICO.pdf
Ejercicios - EJERCICIOS-DE-PRACTICA-CONVERSIONES.pdf
4
Exámenes - EXAMEN-FINAL-4TO-SEMESTRE-PREPA-MATERIA-Y-ENERGIA.pdf
10 páginas
Apuntes - Ley-de-Coulomb.pdf
Apuntes - CARACTERISTICAS-FLUIDOS.pdf
Ejercicios - PRESENTACION.pdf
14 páginas
Apuntes - Cuaderno-Fisica-3.pdf
75 páginas
2
Apuntes - Ejercicios-resueltos-de-presion-y-profundidad.pdf
3
Ejercicios - Ejercicios-sobre-Presion.pdf
Apuntes - Onda-mecanica-y-electrodomestica.pdf
Apuntes - Sistema-internacional.pdf
Exámenes - Ejercicios-y-preguntas-de-calor-resueltos.pdf
Apuntes - que-es-la-fisica.pdf
Exámenes - Examen-fisica-III-parcial-3.pdf