chevron_left
chevron_right
Todo
Apuntes
Ejercicios
Exámenes
chevron_left
chevron_right

He publicado nuevos ejercicios de 4º Física II: SOLUCIONARIO DE ALGUNOS EJERCICIOS DE LAS GUIAS 4, 5, 6 Y 7 DE FISICA II UDA.pdf

153 páginas

He publicado nuevos examenes de 4º Física II: PRUEBA 3 RECUPERATIVA DE FISICA II: RESISTENCIAS / CAMPO Y FUERZA MAGNETICA.pdf

4 páginas

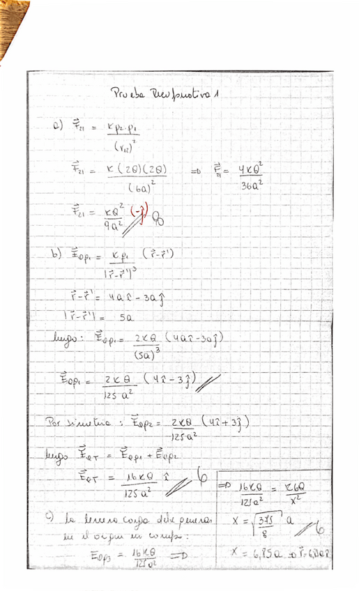
He publicado nuevos examenes de 4º Física II: PRUEBA 2 RECUPERATIVA DE FISICA II: POTENCIAL ELECTRICO / CAPACITORES / DENSIDAD DE CORRIENTE.pdf

4 páginas

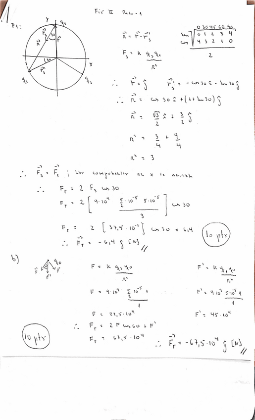
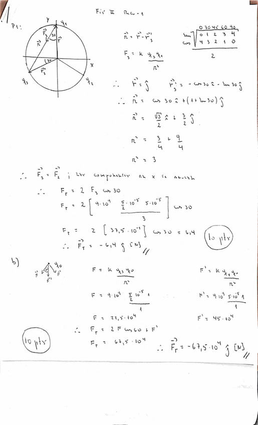
He publicado nuevos examenes de 4º Física II: PRUEBA 1 RECUPERATIVA DE FISICA II: FUERZA Y CAMPO ELECTRICO.pdf

4 páginas

He publicado nuevos examenes de 4º Física II: EXAMEN FISICA II: CAMPO ELECTRICO / FUERZA ELECTRICA / TRABAJO REQUERIDO.pdf

5 páginas

He publicado nuevos examenes de 4º Física II: PRUEBA PARCIAL 3 DE FISICA II- RESISTENCIA / FUERZA Y CAMPO MAGNETICO.pdf

4 páginas

He publicado nuevos examenes de 4º Física II: PRUEBA PARCIAL 2 DE FISICA II - POTENCIAL ELECTRICO / CONDENSDORES / RESISTENCIA / DENSIDAD DE CORRIENTE.pdf

4 páginas

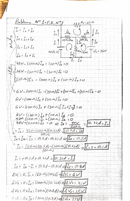
He publicado nuevos ejercicios de 4º Física II: GUIA DE TRABAJO DE FISICA II : RESISTENCIAS / LEYES DE KIRCHHOFF /CAMPO ELECTRICO.pdf

14 páginas

He publicado nuevos ejercicios de 4º Física II: GUIA DE TRABAJO DE FISICA II: POTENCIAL ELECTRICO / DENSIDAD DE CARGA / CAPACITORES.pdf

21 páginas

apuntes

-

FISICA II - PPTs Y APUNTES DE CLASE

He publicado nuevos apuntes de 4º Física II: FISICA II - PPTs Y APUNTES DE CLASE

FISICA-II-CLASE-2-CAMPO-ELECTRICO.pdf
FISICA-II-CLASE-3-EJERCICIOS-DE-CAMPO-ELECTRICO.pdf
FISICA-II-CLASE-4-DIPOLO-Y-FLUJO-ELECTRICO.pdf
FISICA-II-CLASE-5-LEY-DE-GAUSS.pdf
FISICA-II-CLASE-6-APLICACION-DE-LA-LEY-DE-GAUSS-CARGAS-EN-CONDUCTORES.pdf
FISICA-II-CLASE-1-CONCEPTOS-BASICOS-CARGA-ELECTRICA-LEY-DE-COULOMB.pdf

He publicado nuevos ejercicios de 4º Física II: GUIA DE TRABAJO DE FISICA II: LEY DE COULOMB / CAMPO ELECTRICO / LEY DE GAUSS.pdf

25 páginas

He publicado nuevos examenes de 4º Física II: PRUEBA RECUPERATIVA DE FISICA II - FUERZA , CAMPO Y POTENCIAL-ELECTRICO.pdf

4 páginas

He publicado nuevos examenes de 4º Física II: PRUEBA RECUPERATIVA DE FISICA II - CARGA/ CAPACIDAD/ RESISTENCIA Y CORRIENTE.pdf

4 páginas

He publicado nuevos ejercicios de 4º Física II: TALLER REFORZAMIENTO FÍSICA II : CAPACITORES / CAMPO ELECTRICO / FUERZA ELECTRICA / POTENCIAL Y TRABAJOELECTRICO.pdf

61 páginas

He publicado nuevos examenes de 4º Física II: PRUEBA 2 DE FISICA II- CIRCUITOS ELECTRICOS / CAPACITADORES Y RESISTENCIAS.pdf

5 páginas

He publicado nuevos examenes de 4º Física II: PRUEBA 1 DE FISICA II - LEY DE COULOMB Y CAMPO ELECTRICO.pdf

6 páginas

He publicado nuevos ejercicios de 4º Física II: GUIA FISICA II -CONDENSADORES / CORRIENTE, VOLTAJE Y POTENCIA.pdf

3 páginas

He publicado nuevos ejercicios de 4º Física II: GUIAS-FISICA II UDA - CONDENSADORES / CIRCUITOS / LEYES DE KIRCHHOFF.pdf

9 páginas

He publicado nuevos ejercicios de 4º Física II: GUIA-FISICA-II-CAMPO-ELECTRICO-Y-CAMPO-ELECTRICO-ENTRE-PLACAS-PARALELAS.pdf

2 páginas

He publicado nuevos ejercicios de 4º Física II: GUIA PRACTICA DE LA LEY DE GAUSS- EJERCICIOS AUTODIDACTAS.pdf

59 páginas

He publicado nuevos examenes de 4º Física II: PRUEBA DE FISICA II- FUERZA ELECTRICA, CAMPO ELECTRICO Y LEY DE GAUSS.pdf

2 páginas

He publicado nuevos ejercicios de 4º Física II: Guía Energía y Potencial Eléctrico - 33 ejercicios propuestos.pdf

6 páginas

He publicado nuevos apuntes de 4º Física II: GUIA TEORICO - PRACTICO DE LA LEY DE GAUSS.pdf

76 páginas
¡Estás al día!

¡Estás al día!

Has visto todos los archivos