Física II
He publicado nuevos ejercicios de 1º Física II: Ejercicios-tema-1.pdf
INICIO DE CURSO FÍSICA II Resumen de cada tema. Resolución de ejercicios y exámenes de convocatorias anteriores. Clases grabadas hasta el día del examen. Profesor a tu disposición en cualquier momento para dudas. INFÓRMATE SIN COMPROMISO Y DA UNA CLASE DE PRUEBA EN GRUPO.

examenes
-
Física II
He publicado nuevos examenes de 1º Física II: Física II
He publicado nuevos practicas de 1º Física II: practicas-fisica-II-2025.pdf
ejercicios
-
Ejercicios resueltos
Ejercicios resueltos de los Temas 1, 2, 4 y 5
apuntes
-
Temas Resumidos
Resúmenes del temario completo de Física II con algunos ejemplos de ejercicios de examen entre la teoría
He publicado nuevos apuntes de 1º Física II: Ejercicios-resueltos-tema-5.pdf
He publicado nuevos apuntes de 1º Física II: Ejercicios-resueltos-tema-4.pdf
He publicado nuevos apuntes de 1º Física II: Ejercicios-resueltos-tema-3.pdf
He publicado nuevos apuntes de 1º Física II: Ejercicios-resueltos-tema-2.pdf
He publicado nuevos apuntes de 1º Física II: PRACTICA-5.-FISICA-II.pdf
He publicado nuevos apuntes de 1º Física II: TEMA-5-FENOMENOS-DE-PROPAGACION.pdf
He publicado nuevos apuntes de 1º Física II: RESUMEN-TEMA-2-ELASTICIDAD.pdf
He publicado nuevos apuntes de 1º Física II: RESUMEN-TEMA-4-ONDAS.pdf
He publicado nuevos apuntes de 1º Física II: RESUMEN-TEMA-3-OSCILACIONES.pdf
He publicado nuevos apuntes de 1º Física II: Examen-Fisica-II-ordinaria-2023-2024.pdf
He publicado nuevos ejercicios de 1º Física II: tema-4-problemas-fisica.pdf
¿Más motivos para matricularte en nuestra academia?
Si te matriculas con nosotros te REGALAMOS el PLAN PRO+ para que navegues por Wuolah SIN ANUNCIOS y SIN ESPERAS. 🎉🎉 *Promoción Válida hasta el 03 de Marzo.

He publicado nuevos ejercicios de 1º Física II: Ejercicios-Tema-2.pdf
He publicado nuevos ejercicios de 1º Física II: Ejercicios-Tema-3.pdf
He publicado nuevos ejercicios de 1º Física II: Ejercicios-Tema-4.pdf
He publicado nuevos practicas de 1º Física II: PRACTICA-4-FISICA-II.pdf
He publicado nuevos apuntes de 1º Física II: PRACTICA-3-FISICA-II.pdf
He publicado nuevos practicas de 1º Física II: PRACTICA-2-FISICA-II.pdf
He publicado nuevos apuntes de 1º Física II: PRACTICA-1-FISICA-II.pdf
He publicado nuevos apuntes de 1º Física II: PRACTICA-5-FISICA-II.pdf
practicas
-
prácticas física II
He publicado nuevos practicas de 1º Física II: prácticas física II
He publicado nuevos apuntes de 1º Física II: tema-4.-oscilaciones.pdf
He publicado nuevos ejercicios de 1º Física II: relacion-ejercicios-0.pdf
He publicado nuevos ejercicios de 1º Física II: FORMULAS-FISICA-II.pdf
He publicado nuevos ejercicios de 1º Física II: FISICA-II-EJERCICIOS-TEMA-4.pdf
He publicado nuevos ejercicios de 1º Física II: FISICA-II-EJERCICIOS-TEMA-2.pdf
He publicado nuevos apuntes de 1º Física II: Examen-fisica-junio-2024.pdf
apuntes
-
OSCILACIONES
He publicado nuevos apuntes de 1º Física II: OSCILACIONES
He publicado nuevos apuntes de 1º Física II: Ejercicios-Elasticidad-tema-1.pdf
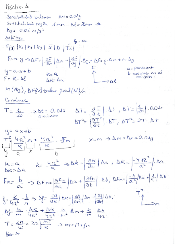
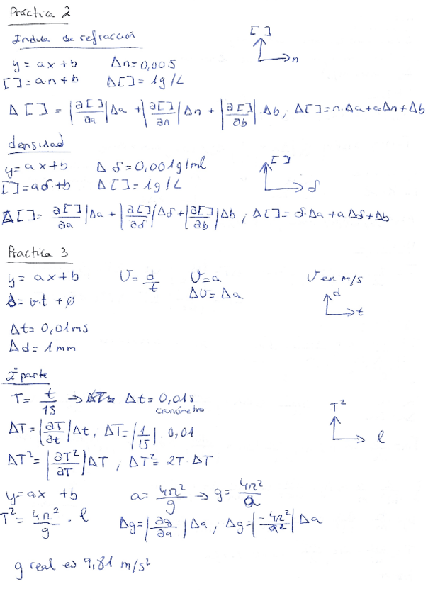
He publicado nuevos apuntes de 1º Física II: Derivadas-parciales-practicas.jpg
practicas
-
Practicas fisica II
He publicado nuevos practicas de 1º Física II: Practicas fisica II
He publicado nuevos examenes de 1º Física II: EJERCICIO-EXAMEN-FISICA-II-GRADO-EN-OPTICA.pdf
He publicado nuevos apuntes de 1º Física II: TEMA-6-ELECTROMAGNETISMO.pdf
He publicado nuevos apuntes de 1º Física II: TEMA-5-ONDAS.-FENOMENOS-DE-PROPAGACION.pdf