Todo
Apuntes
Preguntas
Ejercicios
Exámenes
Otros
Prácticas
publication
chevron_left
chevron_right

apuntes

-

RESUMEN FISICA 2

He publicado nuevos apuntes de 1º Física II: RESUMEN FISICA 2

T1-CAMPO-ELECTRICO.pdf
T2-POTENCIAL-ELECTROSTATICO.pdf
T3-CAPACIDAD-ELECTRICA.pdf
T4-CORRIENTE-ELECTRICA.pdf
T5-CAMPO-MAGNETICO.pdf
T6-INDUCCION-ELECTROMAGNETICA.pdf

examenes

-

EXAMENES RESUELTOS

He publicado nuevos examenes de 1º Física II: EXAMENES RESUELTOS

1o-PARCIAL-2019-RESUELTO.pdf
JUNIO-2017-RESUELTO.pdf
JUNIO-2018-RESUELTO.pdf
JUNIO-2019-RESUELTO.pdf
SEPTIEMBRE-2017-RESUELTO.pdf

He publicado nuevos apuntes de 1º Física II: TANDA-1-PROBLEMAS.pdf

2 páginas

ejercicios

-

Tandas

Tanda 5 Física

2026-FISICA-II-TANDA-51.jpeg
2026-FISICA-II-TANDA-52.jpeg
2026-FISICA-II-TANDA-53.jpeg
2026-FISICA-II-TANDA-54.jpeg

He publicado nuevos ejercicios de 1º Física II: Tanda-5.pdf

8 páginas

He publicado nuevos apuntes de 1º Física II: Tanda-4.pdf

3 páginas

ejercicios

-

Tanda 4 - Física II

He publicado nuevos ejercicios de 1º Física II: Tanda 4 - Física II

WhatsApp-Image-2026-02-19-at-20.41.11-1.jpeg
WhatsApp-Image-2026-02-19-at-20.41.11.jpeg

He publicado nuevos ejercicios de 1º Física II: Tanda-3.pdf

1 página
Anónimo

@Anónimo

He publicado nuevos ejercicios de 1º Física II: Tanda-1.pdf

1 página

He publicado nuevos practicas de 1º Física II: Informe-de-Practica-1-Medidas-electricas.pdf

5 páginas

He publicado nuevos practicas de 1º Física II: Informe-Practica-2-Carga-y-descarga-condensador.pdf

6 páginas

apuntes

-

Prácticas

He publicado nuevos apuntes de 1º Física II: Prácticas

Practica-3.-Osciloscopio.pdf
Practica-1.-Medidas-electricas..pdf

He publicado nuevos apuntes de 1º Física II: TEMA-4-parte-2.pdf

8 páginas

He publicado nuevos apuntes de 1º Física II: TEMA-4-parte-1.pdf

8 páginas

He publicado nuevos practicas de 1º Física II: Practica-5Lentes-convergentes-y-divergentes.pdf

6 páginas

He publicado nuevos practicas de 1º Física II: Practica-4-Induccion-electromagnetica.pdf

4 páginas

He publicado nuevos practicas de 1º Física II: Practica-3-osciloscopio.pdf

2 páginas

He publicado nuevos practicas de 1º Física II: Practica-1-Medidas-Electricas.pdf

7 páginas

He publicado nuevos practicas de 1º Física II: practica-2-carga-y-descarga-de-un-condensador.pdf

9 páginas

He publicado nuevos examenes de 1º Física II: ejs-examenes-2ndo-parcial-saque-85.pdf

37 páginas

resumen de la página web de Cubero

10 páginas

He publicado nuevos apuntes de 1º Física II: Teoria-tema-5-CUBERO.pdf

4 páginas

He publicado nuevos apuntes de 1º Física II: Teoria-tema-4-CUBERO.pdf

12 páginas

examenes

-

Exámenes corregidos

Ejercicios explicados.

JUNIO-2021.pdf
SEPTIEMBRE-2021.pdf
JUNIO-2015.pdf
JUNIO-2025.pdf
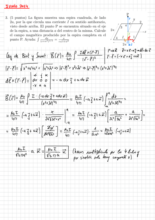
JUNIO-2024.pdf
JULIO-2023.pdf

He publicado nuevos examenes de 1º Física II: 1erparcial2014.pdf

5 páginas

resumen 1 parcial

3 páginas

He publicado nuevos apuntes de 1º Física II: formulario-tema-1-completo.pdf

1 página

He publicado nuevos examenes de 1º Física II: 1-PARCIAL-EXAMENES-RESUELTOS.pdf

20 páginas

He publicado nuevos apuntes de 1º Física II: formulario-tema-2-y-3-completo.pdf

1 página
Anónimo

@Anónimo

He publicado nuevos examenes de 1º Física II: 2-PARCIAL-EXAMENES-RESUELTOS.pdf

20 páginas

He publicado nuevos apuntes de 1º Física II: Formulario-2o-parcial-completo.pdf

1 página

He publicado nuevos examenes de 1º Física II: SEGUNDO-PARCIAL-2024-FISICA-II-enunciados-y-soluciones-paso-a-paso.pdf

4 páginas

He publicado nuevos examenes de 1º Física II: SEGUNDO-PARCIAL-FISICA-II-RESUELTO-enunciado-y-soluciones-paso-a-paso.pdf

4 páginas

He publicado nuevos apuntes de 1º Física II: PRIMER-PARCIAL-FISICA-II-2025-RESUELTO-enunciados-y-solucion-paso-a-paso.pdf

6 páginas

He publicado nuevos examenes de 1º Física II: PREGUNTAS-TEORICAS-EXAMENES-FISICA-II.pdf

1 página

He publicado nuevos examenes de 1º Física II: PREGUNTAS-TEORICAS-EXAMENES-FISICA-II.pdf

1 página

He publicado nuevos ejercicios de 1º Física II: FISICAII-TEMA3-BOLETIN.pdf

9 páginas

He publicado nuevos apuntes de 1º Física II: FISICAII-TEMA2-BOLETIN.pdf

24 páginas

He publicado nuevos ejercicios de 1º Física II: FISICAII-TEMA3-APUNTES.pdf

3 páginas

He publicado nuevos apuntes de 1º Física II: FISICAII-TEMA2-APUNTES.pdf

21 páginas

He publicado nuevos ejercicios de 1º Física II: FISICAII-TEMA1-BOLETIN.pdf

28 páginas

He publicado nuevos apuntes de 1º Física II: FISICAII-TEMA1-APUNTES.pdf

15 páginas

He publicado nuevos apuntes de 1º Física II: Tema-5-Completo.pdf

6 páginas

He publicado nuevos apuntes de 1º Física II: Ejercicios-Examenes-2do-Parcial.pdf

16 páginas

He publicado nuevos apuntes de 1º Física II: Tema-4-Completo-Fisica-II.pdf

20 páginas

He publicado nuevos apuntes de 1º Física II: Tema-3-Completo-Fisica-II.pdf

5 páginas

He publicado nuevos apuntes de 1º Física II: Tema-2-Completo-Fisica-II.pdf

30 páginas

He publicado nuevos apuntes de 1º Física II: Tema-1-Completo-Fisica-II.pdf

20 páginas

He publicado nuevos practicas de 1º Física II: informe-5-practicas-lab.pdf

7 páginas

He publicado nuevos ejercicios de 1º Física II: Boletin-MAGNETOSTATICA.pdf

11 páginas

He publicado nuevos apuntes de 1º Física II: T6-Fisica-II.pdf

12 páginas

Tema 4

9 páginas

He publicado nuevos practicas de 1º Física II: Practica-4-INDUCCION-ELECTROMAGNETICA-1.pdf

9 páginas

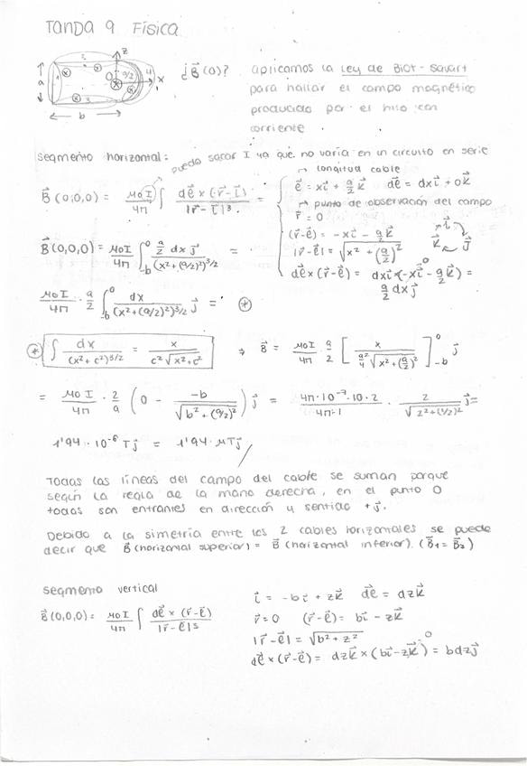
He publicado nuevos ejercicios de 1º Física II: 9a-Tanda.pdf

2 páginas

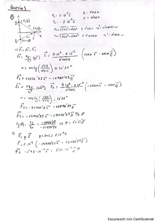
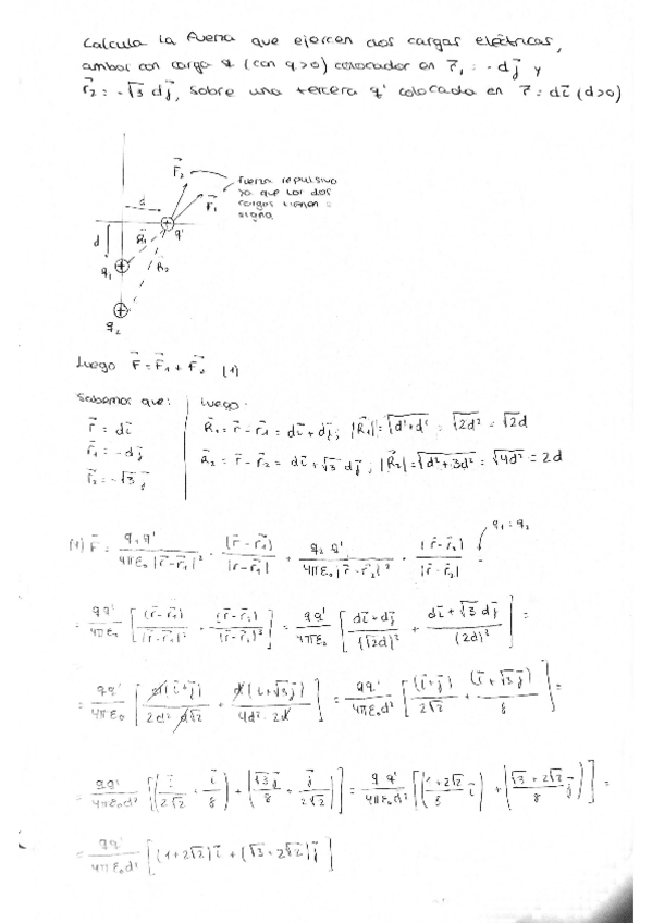
He publicado nuevos ejercicios de 1º Física II: Boletin-1-Resuelto.pdf

10 páginas

solo están resueltos los ejercicios de temas 1 y 2

3 páginas

He publicado nuevos examenes de 1º Física II: pparcial22resuelto.pdf

7 páginas

He publicado nuevos examenes de 1º Física II: pparcial22.pdf

2 páginas

He publicado nuevos examenes de 1º Física II: sparcial24resuelto.pdf

5 páginas

He publicado nuevos examenes de 1º Física II: sparcial24.pdf

2 páginas