Todo
Apuntes
Ejercicios
Exámenes
Otros
Prácticas
publication
chevron_left
chevron_right

ejercicios

-

parcial 2 boletines

He publicado nuevos ejercicios de 1º Física II: parcial 2 boletines

fisica-ii-2pacial-Boletin1.pdf
fisica-ii-2pacial-Boletin2.pdf
fisica-ii-2pacial-Boletin3.pdf

ejercicios

-

parcial 1 boletines

He publicado nuevos ejercicios de 1º Física II: parcial 1 boletines

fisica-ii-1parcial-Boletin1.pdf
fisica-ii-1parcial-Boletin2.pdf
fisica-ii-1parcial-Boletin3.pdf

apuntes

-

TEMAS RESUMIDOS 2024

He publicado nuevos apuntes de 1º Física II: TEMAS RESUMIDOS 2024

T1-CAMPO-ELECTRICO.pdf
T2-POTENCIAL-ELECTROESTATICO.pdf
T3-CAPACIDAD-ELECTRICA.pdf
T4-CORRIENTE-ELECTRICA.pdf
T5-CAMPO-MAGNETICO.pdf
T6-INDUCCION-ELECTROMAGNETICA.pdf

examenes

-

EXAMENES RESUELTOS

He publicado nuevos examenes de 1º Física II: EXAMENES RESUELTOS

1o-PARCIAL-2015.pdf
1o-PARCIAL-2017.pdf
1o-PARTE-JUNIO-2013.pdf
1o-PARTE-JUNIO-2014.pdf
2o-PARCIAL-2018.pdf
2o-PARCIAL-2019.pdf

He publicado nuevos apuntes de 1º Física II: formulario-primer-parcial-fisica-II.pdf

4 páginas

He publicado nuevos apuntes de 1º Física II: formulario-segundo-parcial-fisica-II.pdf

3 páginas

apuntes

-

Examenes y formularios

He publicado nuevos apuntes de 1º Física II: Examenes y formularios

formulario-y-parcial-2025.pdf
formulario-y-segundo-parcial-2025-FISICA-2.pdf
formularios-ambas-partes-FISICA-2.pdf
primeros-parciales-fisica-II.pdf
segundos-parciales-resueltos-FISICA-2.pdf
conv-2025-fisica-2.pdf

apuntes

-

Formulario + 2º parciales

He publicado nuevos apuntes de 1º Física II: Formulario + 2º parciales

2oParcial-Fisica-II-Formulario.pdf
22-23-21-22-20-21-18-19-Hecho.pdf
24-25-22-23-21-22-20-21-18-19-Hecho.pdf

He publicado nuevos apuntes de 1º Física II: Electrostática.pdf

6 páginas

He publicado nuevos apuntes de 1º Física II: Corriente continua.pdf

4 páginas

He publicado nuevos apuntes de 1º Física II: Inducción.pdf

4 páginas

He publicado nuevos apuntes de 1º Física II: Campos magnetostáticos.pdf

3 páginas

He publicado nuevos apuntes de 1º Física II: SEGUNDOS-PARCIALES-RESUELTOS.pdf

29 páginas

Todos los exámenes del primer parcial (hasta 2023) resueltos con ayuda de un profesor.

16 páginas

He publicado nuevos ejercicios de 1º Física II: Problemas-de-Fisica-II.pdf

47 páginas

He publicado nuevos ejercicios de 1º Física II: Ejercicios.pdf

68 páginas

He publicado nuevos ejercicios de 1º Física II: 2o-parcial-CAMPO-MAGNETICO-TERMODINAMICA.pdf

16 páginas

He publicado nuevos ejercicios de 1º Física II: 1er-parcial-CAMPO-ELECTRICO-ejercicios-desarrollados.pdf

14 páginas

He publicado nuevos examenes de 1º Física II: parciales-con-respuestas-tapadas.pdf

10 páginas

He publicado nuevos examenes de 1º Física II: Fisica-II-2o-parcial.pdf

16 páginas

He publicado nuevos examenes de 1º Física II: 2-parciales-resueltos.pdf

7 páginas

He publicado nuevos apuntes de 1º Física II: Fisica-2-apuntes-completos.pdf

39 páginas

He publicado nuevos apuntes de 1º Física II: Apuntes-de-Fisica-II.pdf

121 páginas

He publicado nuevos apuntes de 1º Física II: condensadores-y-dielectricos-EXPLICADOS.pdf

5 páginas

He publicado nuevos apuntes de 1º Física II: Dielectricos.pdf

3 páginas

He publicado nuevos apuntes de 1º Física II: Electrostatica-en-conductores.pdf

8 páginas

He publicado nuevos apuntes de 1º Física II: Introduccion-Electromagnetismo.pdf

8 páginas

apuntes

-

CONTENIDO 1ER PARCIAL COMPLETO

He publicado nuevos apuntes de 1º Física II: CONTENIDO 1ER PARCIAL COMPLETO

Formulas.pdf
Conductores.pdf
Condensadores.pdf
Fundamentos-Electrostatica.pdf
Anónimo

@Anónimo

He publicado nuevos apuntes de 1º Física II: practica-1.pdf

4 páginas
Anónimo

@Anónimo

He publicado nuevos apuntes de 1º Física II: Practica-6.pdf

5 páginas

He publicado nuevos practicas de 1º Física II: Practica-5.pdf

8 páginas

apuntes

-

Apuntes por temas Física II

He publicado nuevos apuntes de 1º Física II: Apuntes por temas Física II

condensadores.pdf
Campo-magnetico-.pdf
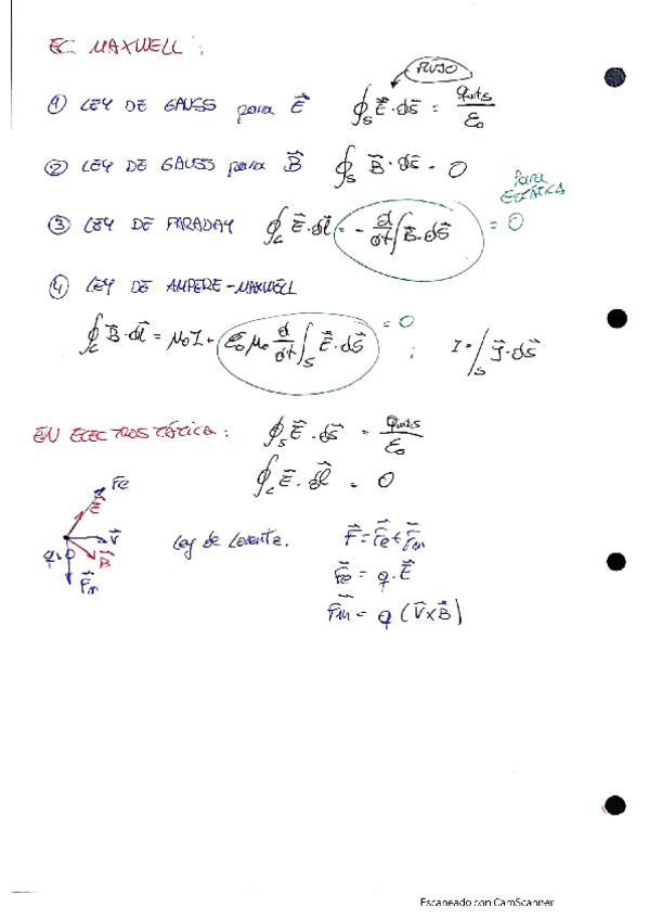
Ecuaciones-de-Maxwell-y-ondas-electromagneticas-.pdf
Fuerza-magnetica-.pdf
Induccion-electromagnetica-.pdf
Autoinduccion-.pdf
Anónimo

@Anónimo

apuntes

-

Apuntes clases online

He publicado nuevos apuntes de 1º Física II: Apuntes clases online

16-de-abril.pdf
7-de-mayo.pdf
14-abril.pdf
22-de-abril.pdf
6-de-mayo.pdf
15-de-abril.pdf

apuntes

-

FORMULARIO COMPLETO ASIGNATURA

He publicado nuevos apuntes de 1º Física II: FORMULARIO COMPLETO ASIGNATURA

FORMULARIO-1.pdf
FORMULARIO-2.pdf

He publicado nuevos practicas de 1º Física II: Practica-5-Fisica-II.pdf

8 páginas

He publicado nuevos apuntes de 1º Física II: Fisica-II.pdf

98 páginas

He publicado nuevos apuntes de 1º Física II: magneticoestaticainduccion.pdf

35 páginas

apuntes

-

Física II

He publicado nuevos apuntes de 1º Física II: Física II

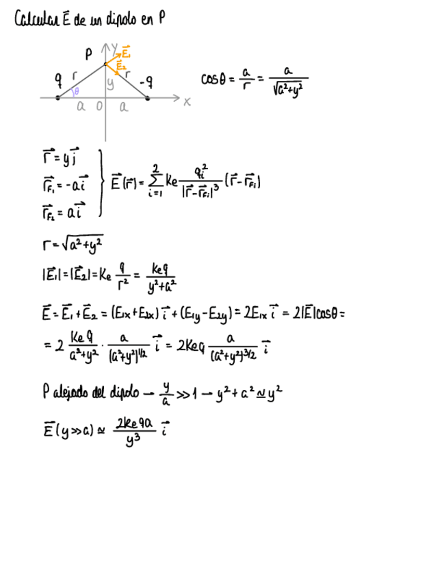
Tema 1. Fundamentos electrostatica.pdf
Tema 2. Electrostática conductores.pdf
Tema 3. Corriente eléctrica.pdf
Tema 5. Ondas e.m.pdf
Tema 4. Electromagnetismo (todo).pdf

apuntes

-

Temario completo segundo parcial

He publicado nuevos apuntes de 1º Física II: Temario completo segundo parcial

Campo-Magnetico-.pdf
INDUCCION-ELECTROMAGNETICA-.pdf

He publicado nuevos practicas de 1º Física II: practica-5-fisica-2.pdf

5 páginas

He publicado nuevos apuntes de 1º Física II: FORMULARIO.pdf

11 páginas

apuntes

-

TEMARIO COMPLETO PRIMER PARCIAL

He publicado nuevos apuntes de 1º Física II: TEMARIO COMPLETO PRIMER PARCIAL

2.pdf
Condensadores.pdf
Fundamentos-De-Electrostatica.pdf
Dielectricos-.pdf

Hola! Vendo el libro de Fisica II

Es muy útil de cara al examen. Están recopiladas y explicadas todas las preguntas de exámenes de años anteriores

He publicado nuevos apuntes de 1º Física II: Apuntes-completos-Fisica-II.pdf

92 páginas

apuntes

-

Apuntes Segundo Parcial

He publicado nuevos apuntes de 1º Física II: Apuntes Segundo Parcial

Ecuaciones-de-Maxwell-y-Ondas-Electromagneticas210526211828-1.pdf
Induccion-Magnetica-210520184208.pdf
Campo-Magnetico210512032645.pdf
Termodinamica210602195805.pdf

apuntes

-

Apuntes para el Primer Parcial

He publicado nuevos apuntes de 1º Física II: Apuntes para el Primer Parcial

Corriente-Electrica-210414202126-1.pdf
Dielectricos210326004131.pdf
Electrostatica-210319131131.pdf
Conductores210324020328.pdf

apuntes

-

Formulario Completo de Física II

He publicado nuevos apuntes de 1º Física II: Formulario Completo de Física II

Formulario-2Parcial210602232557.pdf
Formulario-y-Problemas-electrostatica210420141503.pdf

apuntes

-

FORMULARIO FISICA 2 PRIMERA PARTE

He publicado nuevos apuntes de 1º Física II: FORMULARIO FISICA 2 PRIMERA PARTE

FORMULARIO-FISICA-2-PRIMERA-PARTE-DEL-CUATRIMESTRE.pdf

apuntes

-

FORMULARIO CAMPO MAGNÉTICO

He publicado nuevos apuntes de 1º Física II: FORMULARIO CAMPO MAGNÉTICO

FORMULARIO-CAMPO-MAGNETICO.pdf

He publicado nuevos practicas de 1º Física II: FIIP9-GIERM-.pdf

4 páginas

apuntes

-

Asignatura Completa

He publicado nuevos apuntes de 1º Física II: Asignatura Completa

Tema3CondensadoresProblemas.pdf
ApuntesClaseFisica2.pdf
EsquemaPrimerBloque.pdf
ExamenesEsquemasFormularios.pdf
Tema1FuerzasElectricasProblemas.pdf
Tema2PotencialElectrico.pdf

He publicado nuevos apuntes de 1º Física II: Resumen-induccion-magnetica.pdf

1 página

He publicado nuevos apuntes de 1º Física II: Induccion-magnetica-tema.pdf

11 páginas

He publicado nuevos apuntes de 1º Física II: Resumen--Formulario-Completo.pdf

20 páginas

Aquí están todos los temas de Física 2 en limpio así como los ejercicios de clase

147 páginas

He publicado nuevos apuntes de 1º Física II: Formulario-Campo-Magnetico.pdf

3 páginas

apuntes

-

Termodinámica - Apuntes

He publicado nuevos apuntes de 1º Física II: Termodinámica - Apuntes

Termodinamica-Parte-2-Entropia.pdf
Termodinamica-Parte-1.pdf

He publicado nuevos apuntes de 1º Física II: Ecuaciones-de-Maxwell-y-Ondas.pdf

12 páginas

apuntes

-

Inducción - Apuntes

He publicado nuevos apuntes de 1º Física II: Inducción - Apuntes

Problemas-Resueltos-Boletin-Induccion.pdf
Induccion-Electromagnetica.pdf

apuntes

-

Campo Magnético - Apuntes

He publicado nuevos apuntes de 1º Física II: Campo Magnético - Apuntes

Campo-Magnetico-2.pdf
Campo-Magnetico.pdf
Problemas-Campo-Magnetico.pdf